钟表走时误差

钟表由于它振动系统的振动周期发生变化而在运行(走时)时产生的快慢变化。通常以日差值(见钟表日差)表示。钟表振动系统的振动周期受各种外部和内部因素的影响而变化,不同影响因素导致不同的走时误差。各种走时误差的综合就构成了钟表走时误差。钟表走时误差的构成,对于机械式钟表,主要有等时性误差、位置误差和温度误差;对于石英电子钟表,主要有温度误差、因电池电压下降和石英振荡器老化所引起的走时误差。石英电子钟表的走时误差通常比机械式的至少小一个数量级,即小10倍以上。

等时性误差

严格地说,任何钟表振动系统的振动周期都与振幅的大小有关,故振幅变化时将引起振动周期的变化。这种由于振幅变化所引起的走时误差,在计时学中称为振动系统的等时性误差。钟表走时过程中,发条力矩轮系传动以及擒纵机构效率的稳定性决定振幅变化的程度和振动系统的等时性误差,进而决定钟表的等时性误差。钟表的等时性误差通常通过测量瞬时日差来求取。在同一放置姿态下,钟表在满条(上满发条)时的瞬时日差与到达指定运行时间时的瞬时日差的差值,即为钟表的等时性误差。根据计时学的理论,产生振动系统等时性误差的根源主要在于振动系统工作时受非线性力矩(与振动系统位移不成正比的力矩)的干扰。而引起这种干扰力矩的因素通常有以下9项。

(1)摆轮组件的不平衡:摆轮游丝调速组件是机械式钟表最常用的振动系统。由于受加工精度的限制,其中的摆轮组件很难获得绝对平衡,因此其重心多不同程度地偏离摆轮的轴心线。当摆轴处于非铅垂位置时,摆轮组件重心即产生相对于摆轴轴心的非线性干扰力矩。该力矩随着摆轮游丝调速组件的振动与摆轮角位移成正弦关系变化,并引起等时性误差。在钟表生产中,通常都有专门的工序对摆轮组件进行平衡,以减少这种影响。对手表而言,摆轮组件的不平衡所产生的力矩一般都控制在7µg·cm以内。

(2)游丝重心:游丝是摆轮游丝调速组件的主要组成部分。它的外形通常为阿基米德螺旋线状。随着调速组件的振动,游丝各圈不断地扩展与收缩,这时除因游丝本身弹性所产生的力矩(称为恢复力矩)外,游丝重心也会产生一个相对于摆轴轴心的力矩。在游丝扩展与收缩的过程中,游丝重心将沿着一根形状复杂的曲线运动。只要摆轴不是处于铅垂位置,重心所产生的力矩对系统的振动必然发生干扰。由于重心的运动轨迹是一根复杂的曲线,因而它所产生的干扰力矩将是非线性的,这样就引起了等时性误差。

(3)快慢针:用于调节钟表快慢的一种装置。游丝靠近外端部分从快慢针的内夹和外夹之间穿过。游丝自内端起至快慢针的内夹和外夹之间的长度称为游丝的计算长度。在振动过程中,游丝大部分时间将以计算长度参加工作。当拨动快慢针时,内夹和外夹沿着游丝长度方向移动,使游丝的计算长度发生变化,由此即可调节钟表的走时快慢。为避免拨动快慢针时内夹和外夹卡住游丝,将游丝外端约120°的一段弯制成与摆轴同心的圆弧形。此外,游丝与内夹和外夹之间还保留有一定的间隙。由于间隙的存在,游丝在工作(扩展与收缩)中时而接触内夹或外夹,时而离开它们而处于间隙之间。当游丝处于前一状态时,其参加工作的有效长度(参与振动的长度)为计算长度;当游丝处于后一状态时,其参加工作的有效长度为游丝的全部长度。由于游丝在工作中的有效长度随着扩展与收缩不断地变换,因而其恢复力矩与摆轮角位移之间不能保持线性的关系。这样就引起了等时性误差。

(4)固定端弹性效应:在钟表机构中,游丝的外端点是固定不动的。当游丝工作时,由于它的扩展与收缩,在外端点固定处会产生一个反作用力,其大小和方向是不断改变的。这就使得游丝在其长度上的各个元段产生不均匀的变形,从而使游丝的恢复力矩不能与摆轮的角位移保持线性关系,引起了等时性误差。当摆轮轴心连接游丝外、内端的两根径向线彼此垂直时,对等时性无影响;当两根径向线处在同一直线上时,对等时性影响最大。

(5)游丝安装误差:游丝在安装过程中容易产生两种误差,一种是偏心,即游丝的几何中心与摆轴轴心不重合;另一种是在外桩方向的径向安装误差,即固定游丝外端的外桩至摆轴轴心的距离不等于外桩孔至摆轴孔中心的距离。当存在以上任何一种误差时,游丝在工作中都会在其长度上的各个元段产生不均匀的变形,破坏游丝恢复力矩与摆轮角位移之间的线性关系,从而引起等时性误差。

(6)游丝转动惯量:在摆轮游丝调速组件中,游丝本身的转动惯量比摆轮的小很多,但也是整个振动系统转动惯量的组成部分。游丝工作时,由于存在扩展与收缩现象,其转动惯量将随着摆轮的角位移而变化。由于振动周期与转动惯量的平方根成正比,故当振幅变化引起游丝转动惯量变化时,振动周期也发生变化,引起等时性误差。游丝转动惯量对等时性误差的影响不属于通常的非线性力矩干扰,而是因振幅变化直接产生的。

(7)游丝材料:游丝的恢复力矩与其弹性模数成正比,而游丝材料的弹性模数是与所受到的应力有关的。随着摆轮振幅的变化,游丝由于扩展与收缩变形所产生的应力也发生了变化,这就导致恢复力矩的变化,使恢复力矩与摆轮角位移之间不能保持线性关系,从而引起等时性误差。

弹性模数与应力之间的关系复杂,难以用公式准确地表达。从定性上说,当应力逐渐增加时,弹性模数先是减小,到一定程度后又回升,然后渐趋平缓。通常,由于应力引起的弹性模数的相对变化值约在10-4数量级。

(8)擒纵机构:在钟表机构中,为了维持摆轮游丝调速组件的振动不衰减,并记下振动次数以表达时间,采用了擒纵机构(见机械钟表机构)。在每一个振动周期中,擒纵机构定期地向摆轮游丝调速系统传递一次或两次冲量,借以补充振动过程中所消耗的能量。在传递冲量过程中还伴随着碰撞。摆轮游丝调速系统在每次获得能量补充之前,先行释放擒纵机构,使之开始工作。在进行释放时,擒纵机构消耗了摆轮游丝调速系统一部分能量,也即对调速系统作用以负的冲量。擒纵机构所作用的所有冲量(正的和负的),实质上都是一些非线性干扰力矩。根据艾里定理,这些冲量必然会对振动周期产生影响,且其影响随着振幅变化而异。如果擒纵机构在一个周期中传递两次冲量(大多数钟表都是如此),则由此而引起的等时性误差是振幅减小时钟表趋于走慢。如果擒纵机构在一个周期中传递一次冲量,则其等时性误差的变化趋势,视冲量在振动系统平衡位置前后分布的情况而定。航海天文钟就是利用这个特点,调整冲量的分布以获得最小的等时性误差。

(9)圆弧误差:摆钟独有的一种等时性误差,当钟摆振动时,如果它的重心运动轨迹是一条摆线的话,那么周期就与振幅无关,即不具有等时性误差;如果重心运动轨迹是一段圆弧,那么由重力所产生的恢复力矩则随摆的角位移按正弦规律变化。由摆的这种非线性恢复力矩所引起的等时性误差就称为圆弧误差。当振幅减小时,由圆弧误差引起的等时性误差是使摆的周期减短,即摆钟有走快的趋势。在实际中,即使采用特殊的摆钟悬挂装置,也很难保证摆的重心运动轨迹是一条摆线,因此所有摆钟都程度不同地存在圆弧误差。

位置误差

由于重力的影响,钟表在改变位置姿态时引起的走时误差。钟在正常使用时的放置姿态是固定的,所以走时不受位置误差的影响。表则不然,它在使用时位置经常改变,因此位置误差会对走时产生影响。位置误差通常只用于衡量表的走时精度。位置误差的大小以不同位置之间日差值的变化来衡量。测量时的不同位置,是根据有关标准按表的类别(如手表、怀表等)和精度等级来选取的。就表机构本身而言,产生位置误差的因素有以下3个。

(1)摆轮组件的不平衡:摆轮组件不平衡,其重心就会对摆轮轴心线产生一个力矩。对于摆轮游丝振动系统而言,该力矩是一个非线性的干扰力矩。当表位置变化时,重心所产生的非线性干扰力矩也发生变化。不同位置之间受干扰的程度不同,产生的走时误差各异,因而造成了位置误差。根据计时学的理论,当摆轮的振幅保持在219°32′27″时,摆轮组件的不平衡不会引起位置误差。

(2)游丝重心:它产生位置误差的原因与摆轮组件不平衡很相似。当表位置改变时,游丝重心的位置也改变,其对摆轮轴所产生的非线性干扰力矩随之发生变化,因而对走时的影响程度也发生变化,从而造成位置误差。根据计时学的理论,当摆轮的振幅保持在163°26′25″或330°32′30″时,游丝的重心对位置误差将无影响。在其他振幅下,如果摆轴处于水平位置,当游丝的内半圈(最里半圈)在摆轴水平线的上方时,游丝重心的影响是使表走快;反之,游丝的内半圈在摆轴水平线的下方时,表走慢;又当游丝的内半圈在摆轴铅垂线的左方或右方时,对走时无影响。这种游丝位置对走时发生影响的现象,称为格罗斯曼效应。在表的设计中,常利用这种效应来安排游丝的位置,以减小常用位置(如手表的上条柄朝下、朝左等)的走时误差。

(3)振幅的变化:表处于不同位置时,其摆轴所受到的轴承摩擦力矩有所不同。摆轴处于铅垂位置时与水平位置时的摩擦力矩差别最大。当摆轴处于铅垂位置时,摆轮的振幅要比水平位置时的高。因为任何一个摆轮游丝振动系统都不免有等时性误差存在,所以振幅变化的结果,必然引起走时误差。

温度误差

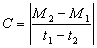
温度变化所引起的走时误差。当温度变化时,石英振子、摆轮、游丝或摆的几何尺寸,以及石英振子和游丝材料的弹性模数都要发生变化,从而影响走时快慢。对于机械式钟表,温度的变化还会改变钟表机构内的润滑油粘度和润滑情况,引起振幅的变化,并通过振动系统的等时性误差间接地对走时产生影响。对于石英电子钟表,温度变化对电路器件(如调走时快慢的微调电容)的参数以及电池的电压都有所影响,因而也能引起走时误差。为了定量地综合评估钟表受温度影响的敏感程度,一般将温度每变化1℃所引起的日差变化(称钟表的温度系数)作为衡量指标。设测试的温度分别为t1和t2,其相应的日差值为M1M2,那么温度系数C即可据下列公式求出:

公式 符号 电池电压下降和石英振荡器老化引起的走时误差

电池电压下降时石英振子的振幅变小,由于石英振子工作时作非线性振动,故振幅变小必然引起其频率的改变,因而产生走时误差。为了评估石英钟表本身受电压变化影响的敏感程度,一般以电压每变化1伏所引起的日差变化(称为电压系数)作为衡量指标。此外,石英振荡器中的石英振子和电路会在工作中不断老化,使石英振荡器的频率发生漂移,从而也引起走时误差。通常老化的速度是不均匀的,开始时快,以后慢,最终趋于稳定。

参考书目
  1. 天津大学精仪系计时教研室编:《机械计时仪器》,天津科学技术出版社,天津,1980。