[拼音]:duichen fenliang
[外文]:symmetrical component
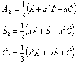
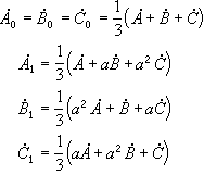
由不对称三相相量分解而得的对称三相相量。一组不对称三相相量凔、妋、凗,当三者之和不为零(即凔+妋+凗≠0)时,可以分解成三组对称三相相量,它们分别是:零序分量,记为凔0,妋0,凗0;正序分量,记为凔1,妋1,凗1;负序分量,记为凔2,妋2,凗2。由于三相电力系统中有三相交流电机、三相输电线等三相电路元件,它们的电路参数在对称的运行条件下较便于确定,因而将非对称三相相量分解为三组对称分量便可分别考虑在每一相序的电压、电流作用下三相电路的工作情况,然后根据叠加定理得到三相电路的工作情况。
零序分量如图1所示,其特征是3个相量大小相等且同相。
妋0=凔0
凗0=凔0
正序分量如图2所示,其特征是3个相量大小相等但不同相。三者按妋1滞后凔1,凗1滞后妋1,凔1又滞后凗1的顺序互差120°,即
妋1=a2凔1
凗1=a凔1
式中
负序分量如图3所示,
其特征类似正序分量,也是3个相量大小相等但不同相。不过,此时3个相量是按凗2滞后凔2,妋2滞后凗2,凔2又滞后妋2的顺序互差120°,即
妋2=a凔2
凗2=a2凔2
三组对称分量与原不对称三相相量的关系如下:
不对称三相相最可以是三相电压相量,也可以是三相电流相量。在三相不对称电路中,有的不对称电压相量和不对称电流相量只有两组对称分量。例如,不对称线电压相量,因必须满足KVL,即妭AB+妭BC+凗CA=0,故只含有正序对称分量和负序对称分量。