地压观测

在现场调查和量测地压及其显现参数的工作,是一种研究地压的方法。目的是:研究顶板来压和采动影响规律,以改进顶板管理工作,为设计、研制与改进支架提供参数;选择合理的巷道布置方式和支护方式;改进采矿方法;检验实验室与数学、力学的研究成果。

实地调查

收集地质和生产技术基础资料(包括数据与图表)的工作。除用仪器观测外,也要用肉眼观测、描绘、记录地压显现的现象。顶板统计观测法就是这类工作法的典型。它要求将工作面顶板的各种破坏状态加以观测。同时要详尽记录各种地质与技术因素,以便在积累大量数据的基础上,统计分析出顶板破坏状态和各种影响因素的关系。

岩体力学性质的测定

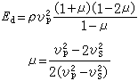
人为地向岩体某一块段加载,记录岩体受载块段发生破坏时的载荷和相应变形,通过计算求出抗压、抗剪等强度。岩体的弹性常数,例如动弹性模量Ed泊松μ ,可利用测定弹性波速度的方法根据下列公式求出:

式中纵波速度vp与横波速度vs可利用超声波法、脉冲法和地震法等测定。岩体的密度ρ可用γ射线法测定。

岩体移动参数的测定

顶底板与两帮的相对位移可用有刻度的伸缩杆即测杆来量测。岩体深部位移的观测可利用固定在钻孔不同深部的基点,将联络基点的细钢丝引出至钻孔外,分别挂上小型重锤,量测重锤位移即可测知深部岩体各点的移动规律。

岩体应力测定

有多种方法:

(1)利用变形传感器。例如用应变计测定应变,随后用力学计算方法确定其作用应力,有电阻、电感、光弹及钢弦等各种应变计。此外,还有光弹、液压、电感及钨弦等应力计。它与应变计不同处在于其刚度较被测岩体大时,测得的数值将直接反映岩体应力的相对变化,毋需测定岩体弹性模量并通过变形值来换算。但严格说来,也是一种变形传感器。

(2)地球物理法。即用人为方法在所测的岩体范围内造成某种物理场参数,这些参数将随岩体作用应力的变化而异。例如超声波法,在岩体中激发弹性波,随着地压的增长,其纵向弹性波的速度显著增大,且增长发生在载荷增长的同一方向。类似方法还有电测法、磁法及声发射法等。

通常在钻孔放入上述量测元件中,可测得岩体应力的相对变化。岩体应力绝对值的测定则要采用卸载法。即利用大直径钻孔的钻机钻成与放置量测元件的小钻孔同心的环形槽,使局部岩芯脱离岩体,造成应力卸载。量测出的卸载应力即为绝对应力。当前主要发展趋向是用单钻孔套孔卸载,求算岩体的三维应力状态。使用的量测元件为电阻片式三轴应变计。大深度(例如石油钻井)量测相对水平应力变化,可使用水力压裂法(见油气井增产工艺)。此外,还有应力扰动法。在原钻孔周围再钻若干钻孔,使原钻孔周围的应力场发生变化,引起量测元件的读值改变,然后通过计算,求得原岩应力。但只能得到二维应力的量测结果。

支架载荷测定

采场单体支柱和巷道装配式支架的压力测定可采用 ADJ型机械式测力计。利用弹簧钢板受力变形而测出压力。巷道整体式支架压力用液压枕测定。它是薄片式容器,其中灌满液体,量测液体压力的变化而测出支架压力。钢弦测压仪量测灵敏度高,它由压力盒及频率仪组成。利用钢弦受力时应力改变,其自振频率也相应改变的原理,测出支架载荷。综采工作面自移支架支柱阻力采用 YJL-160圆盘形压力自记仪测定。它由计时机构和液体压力表组成。掩护式或支撑掩护式自移支架的外载可利用测力销测定。它是利用电阻丝应变片贴在联接销上组成的测力传感器,能测算支架外载的合力大小和方向。支架分布载荷可用类似液压枕式传感器直接测出。

破碎带的测定

井巷周边围岩形成松动圈即破碎带,可利用破碎带中弹性波的传播较慢,而在完整岩体中较快的特点,来测定其范围。或用流量测定法,测定岩体的渗透性,因松动圈内的岩体渗透性比完整区大好几倍。

参考书目
  1. 煤炭科学院编:《缓倾斜煤层矿山压力现场观测研究方法》,煤炭工业出版社,北京,1965。