[拼音]:zaibo baohu
[外文]:carrier protection
为了在远距离输电线上实现差动保护,必须将线路一端的电气量传送到另一端,广泛采用的方法之一是利用高压输电线本身作通道,以50~300kHz的高频电流相互传送两侧电气量,这就是载波保护。又称高频保护。载波保护应在被保护线路两端配置收、发信机。当收信机收到的信息是保护装置发出跳闸命令的必要条件时,则称为允许跳闸式(简称允许式);当收信机收到信息就不允许发出跳闸命令时称为闭锁跳闸式(简称闭锁式)。
控制发信的元件除应有方向性外,其正向保护范围小于被保护线路全长者称为欠范围式;反之若正向保护范围大于被保护线路全长者则称为超范围式。
按照保护所取用的判别量,载波保护又可分为方向比较、相位比较和电流差动3种保护方式。
方向比较式载波保护比较被保护线路两端各自看到的故障方向,以综合判断是区内或区外故障。以阶段式距离保护及零序电流保护为基础构成的方向比较式载波保护简单方便,运行性能较好,如有与通信部门共用通道的有利条件时,宜广泛采用。中国普遍用电力线载波通道,宜用闭锁跳闸式。这种方式的载波保护在区外故障时,若通道出毛病,保护将误动,因此提高通道运行的可靠性和经常监视其完好性的问题十分重要。由于各种方向比较式载波保护在非全相运行时均可能误动,因此非全相运行的短路故障必须由其他保护装置切除。
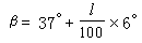
相位比较式载波保护比较被保护线路两端电流的相位以判断是区内或区外故障。这种保护简单、可靠,系统振荡时不会误动作,十分适宜于中、短线路上使用。对于电力线载波通道,宜采用单频制收发信机构成的半波比相式。为了避免区外故障转换时引起的误动作,应连续正确比相两次才发跳闸命令。为保证三相短路时可靠跳闸,对于中、长线路,起动元件宜采用相电流突变量元件。当被保护线路采用单相重合闸时,应考虑在发生同名相断线接地故障或者负荷较重的中、长线路在非全相运行期间发生单相接地故障时,保护可能拒动的问题。对于长线路的相位比较式载波保护,比相元件闭锁角整定为
式中 l为线长公里数。而电动势领先一侧的收信机收到的两侧高频信号相位差可达
从而造成该保护的相继动作区。对于330kV及以上的长线路,这种保护方式往往不得不增设电容电流补偿回路,使保护装置复杂化。
电流差动式载波保护以被保护线路两端电流矢量(大小和相位)的关系作为保护动作的判据。当用二次电缆直接联系两侧电流时就是导引线保护(见差动保护)。