¾§ÌåÂ˲¨Æ÷

Óþ§ÌåгÕñÆ÷×é³ÉµÄÂ˲¨Æ÷¡£¾§ÌåÂ˲¨Æ÷ÓëLCгÕñ»ØÂ·¹¹³ÉµÄÂ˲¨Æ÷Ïà±È£¬ÔÚÆµÂÊÑ¡ÔñÐÔ¡¢ÆµÂÊÎȶ¨ÐÔ¡¢¹ý¶É´ø¶¸¶ÈºÍ²åÈëËðºÄµÈ·½Ãæ¶¼ÓÅÔ½µÃ¶à£¬Òѹ㷺ÓÃÓÚͨÐÅ¡¢µ¼º½¡¢²âÁ¿µÈµç×ÓÉ豸¡£1921ÄêW.G.¿­µØ½«¾§ÌåгÕñÆ÷ÓÃÓÚ¸÷ÖÖµ÷гµç·£¬ÐγÉÁ˾§ÌåÂ˲¨Æ÷µÄ³ûÐΡ£1927ÄêL.°¬Ë¹±¾Ï£µÂ°Ñ¾§ÌåгÕñÆ÷ÓÃÓÚÕæÕýµÄÂ˲¨µç·¡£1931ÄêW.P.÷ɭÓÖ°ÑËüÓÃÓÚ¸ñÐÍÂ˲¨Æ÷¡£60Äê´úÖÐÆÚ£¬¼¯³Éʽ¾§ÌåÂ˲¨Æ÷ÑÐÖÆ³É¹¦£¬´Ó´Ë£¬¾§ÌåÂ˲¨Æ÷ÔÚСÐÍ»¯·½ÃæÓÐÁ˺ܴó·¢Õ¹¡£

ʯӢ¾§ÌåгÕñÆ÷ÊÇ×î³£Óõľ§ÌåгÕñÆ÷Ö®Ò»£¬ËüÔÚÂ˲¨Æ÷ÖÐÖ÷ÒªÓÃ×÷Õ­´øÍ¨Â˲¨Æ÷¡£îãËáï®»òîêËá﮾§ÌåгÕñÆ÷µÄñîºÏϵÊýºÍƵÂʳ£Êý½Ï´ó£¬ÊÊÓÚÖÆ×ö¸ßƵ¿í´øÍ¨Â˲¨Æ÷¡£ÆäËûѹµç²ÄÁÏÒòζÈÎȶ¨ÐԽϲºÜÉÙ²ÉÓᣣ¨¼ûѹµçÆ÷¼þ£©¡£

ͼ

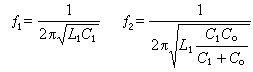
µ±×÷ÓÃÓÚ¾§ÌåгÕñÆ÷µÄµçÐÅºÅÆµÂʵÈÓÚ¾§ÌåµÄ¹ÌÓÐÆµÂÊʱ£¬µçÄÜͨ¹ý¾§ÌåµÄÄæÑ¹µçЧӦÔÚ¾§ÌåÖÐÒýÆð»úегÕñ²úÉú»úеÄÜ;ÔÚÊä³ö¶Ë£¬ÕýѹµçЧӦÓÖ½«ÕâÖÖ»úеÄÜת»»ÎªµçÐźš£¾§ÌåгÕñÆ÷¼°ÆäµÈЧµç·ºÍ×è¿¹ÌØÐÔÈçͼ1¡£ÆäÖУ¬L1¡¢C1ºÍR1·Ö±ð´ú±í¾§ÌåгÕñÆ÷µÄ¶¯Ì¬µç¸Ð¡¢¶¯Ì¬µçÈݺͶ¯Ì¬µç×裻C0Ϊ¾§ÌåÖ§¼ÜºÍµç¼«¼äµÄ¾²Ì¬µçÈÝ¡£R1ͨ³£ºÜС£¬¿ÉºöÂÔ²»¼Æ¡£ÕâÑù£¬Í¼1aµÄµÈЧµç·¿ÉÊÓΪ´¿µç¿¹¶þ¶ËÍøÂ硣гÕñÆ÷µÄ´®Áª¡¢²¢ÁªÐ³ÕñƵÂÊf1¡¢f2ÒÔ¼°±ÈÖµf2/f1·Ö±ðΪ

¹«Ê½ ·ûºÅ ¹«Ê½ ·ûºÅ

±ÈÖµ f2/f1Ëæ±ÈÖµC1/C0¶øÒì¡£Õâ¸öÌØÐÔ¿ÉÒÔÓÃÀ´µ÷½Ú¾§ÌåÂ˲¨Æ÷µÄͨƵ´ø¡£ÀýÈ磬гÕñÆ÷Íâ½ÓÒ»¸ö´®ÁªµçÈÝÆ÷£¬µÈЧÓÚC1¼õС¡¢f1Éý¸ß£»¶øÍâ½ÓÒ»¸ö²¢ÁªµçÈÝÆ÷£¬ÔòµÈЧÓÚC0Ôö´ó¡¢f2½µµÍ¡£Á½Õß¾ù¿ÉËõСf1Óëf2Ö®¼äµÄ¼ä¸ô£¬¼´ËõխͨƵ´ø¡£Èç¹û´®½Ó»ò²¢½Óµç¸ÐÆ÷£¬Ôò½«Ôö´óƵÂʼä¸ô£¬Õ¹¿íͨƵ´ø¡£

Òò¾§Æ¬²»ÄÜ×öµÃºÜ±¡£¬Ê¯Ó¢¾§ÌåгÕñÆ÷µÄ»ù²¨ÆµÂÊÖ»ÄÜ´ïµ½30¡«35Õ׺ա£¹¤×÷ƵÂʽϸߵÄгÕñÆ÷´ó¶à¹¤×÷ÓÚ·ºÒô£¨¸ßÓÚ»ùƵ½üÆæ´Î±¶µÄÕñ¶¯£©£¬µ«·ºÒô´ÎÊýÔ½¸ß£¬´®¡¢²¢ÁªÐ³ÕñƵÂʵļä¸ôԽС¡£

70Äê´ú·¢Õ¹ÆðÀ´µÄÀë×Ó¿ÌÊ´¼¼ÊõÄÜʹ¾§ÌåгÕñÆ÷µÄ»ù²¨ÆµÂʽӽü 500Õ׺ա£µ«ÓÉÓÚÍâ½ÓÔª¼þ£¬ÌرðÊÇÏßȦÎÊÌ⣬Æä·ºÒôƵÂÊÒ²Ö»ÄÜ×öµ½ 600Õ׺գ¬Ïà¶Ô´ø¿íԼΪ0.01£¥¡«1£¥¡£

ͼ

·ÖÁ¢Ê½¾§ÌåÂ˲¨Æ÷

ÓÉ·ÖÁ¢Ê½¾§ÌåгÕñÆ÷ºÍ·ÖÁ¢Ê½µç×ÓÔª¼þ¹¹³ÉµÄÂ˲¨Æ÷¡£Í¼2aµÄ²î½ÓÇÅÐ;§ÌåÂ˲¨Æ÷ÊÇÆäÒ»ÖÖ¡£ÔÚÂ˲¨ÐÔÄÜÉÏËüºÍ¸ñÐÍÂ˲¨Æ÷µÈЧ£¬µ«ËùÓõľ§ÌåгÕñÆ÷ÊýÄ¿¿É¼õÉÙÒ»°ë¡£Æä×è¿¹ÌØÐÔ¼°Ë¥¼õÌØÐÔÈçͼ2b ºÍc¡£ÔÚf1ÖÁf3Ö®¼ä£¬z1ºÍz2µÄ·ûºÅÏà·´£¬ÓÖÓÉÓÚ±äѹÆ÷´Î¼¶Á½¶ËµçѹµÄ¼«ÐÔÏà·´£¬Á½±ÛÖеĵçÁ÷ͬºÅÏà¼Ó£¬ËùÒÔf1ÖÁf3¼äΪÂ˲¨Æ÷µÄͨƵ´ø¡£Í¬Àí£¬µ±f£¼f1ºÍf£¾f3ʱ£¬z1ºÍz2ͬºÅ£¬Á½±ÛµçÁ÷ÒìºÅÏà¼õ;ËùÒÔf1¡«f3Á½²àÒÔÍâµÄÇøÓòΪ×è´ø¡£z1£½z2ʱ£¬Êä³öΪÁ㣬f¹«Ê½ ·ûºÅ¡¢f¹«Ê½ ·ûºÅΪÎÞÇî´óË¥¼õƵÂÊ¡£·ÖÁ¢Ê½¾§ÌåÂ˲¨Æ÷¿ÉʵÏÖµÄÖÐÐÄÆµÂÊΪ10ǧºÕµ½350Õ׺գ¬Ïà¶Ô´ø¿íΪ0.01£¥¡«10£¥¡£

¼¯³Éʽ¾§ÌåÂ˲¨Æ÷

²ÉÓü¯³Éµç·¹¤ÒÕÖÆ×÷µÄ¾§ÌåÂ˲¨Æ÷£¬Óе¥Æ¬µÄ¡¢´®Áªµ¥Æ¬µÄºÍ¶àƬµÄÈýÖÖÀàÐÍ¡£

ͼ

µ¥Æ¬¾§ÌåÂ˲¨Æ÷

ÓɶÆÔÚATÇУ¨¼ûʯӢ¾§Ì壩ʯӢƬÉÏÈô¸É¶Ôµç¼«ÐγɵÄñîºÏгÕñÆ÷×é³É¡£Í¼3ΪÆäÖÐ×î¼òµ¥µÄËĵ缫µ¥Æ¬¾§ÌåÂ˲¨Æ÷µç·½á¹¹¼°ÆäµÈЧµç·¡£ÊäÈëгÕñÆ÷ËæËù¼ÓÐźŵçѹ¶ø²úÉúºñ¶ÈÇбäÕñ¶¯£¬¾§Æ¬ÒòÊܵ缫ÖÊÁ¿¸ººÉµÄÓ°Ï죬µç¼«ÇøµÄгÕñƵÂÊ±È·Çµç¼«ÇøµÄµÍ£¬Ê¹µ¯ÐÔ²¨ÔÚÁ½Çø±ß½ç·¢Éú·´É䣬´Ó¶øÊ¹¾ø´ó²¿·ÖÄÜÁ¿ÏÝÂäÔÚµç¼«ÇøÄÚ£¬ÉÙÁ¿Ð¹Â©µÄÄÜÁ¿ÔòñîºÏµ½ÓëÖ®ÏàÁÚµÄгÕñÆ÷¡£ÕâÑùÒÀ´ÎÏà´«µ½Êä³öгÕñÆ÷£¬ÔÙ±äΪµçÐźš£Êʵ±µØÉè¼Æµç¼«³ß´ç¡¢Ð³ÕñÆ÷¼ä¾àºÍƵÂʶƻØÂÊ£¬¾Í¿ÉÒÔ¿ØÖƵ¯ÐÔ²¨ÔÚ¾§Æ¬ÖеĴ«²¥£¬´Ó¶øÊµÏÖÂ˲¨¹¦ÄÜ¡£

´®Áªµ¥Æ¬¾§ÌåÂ˲¨Æ÷

ÓÉÈô¸ÉÓõçÈÝñîºÏµÄµ¥Æ¬¾§ÌåÂ˲¨Æ÷×é³É£¨Í¼4£©¡£ÆäÓŵãÊÇÀûÓÚµ÷Õû¹¤×÷ƵÂʺÍÒÖÖÆ¼ÄÉúƵÂÊ¡£

ͼ

¶àƬ¾§ÌåÂ˲¨Æ÷

ÓÉ´®ÁªµÄñîºÏгÕñÆ÷¡¢²¢ÁªµÄµ¥Ð³ÕñÆ÷ºÍµçÈÝÆ÷×é³É£¨Í¼5£©¡£ÆäÌØµãÊÇÄÜÔÚ¿¿½üͨƵ´øµÄƵÂÊÉÏÐγÉÈô¸ÉË¥¼õ·å£¬ÓÐÀûÓÚÒÖÖÆ¸ÉÈź͸ÄÉÆÂ˲¨ÐÔÄÜ¡£

ͼ

¼¯³Éʽ¾§ÌåÂ˲¨Æ÷Ìå»ýС¡¢¿É¿¿ÐԸ߶øÇÒÔì¼ÛµÍ¡£µ«ÆäÖÐÐÄÆµÂÊÖ»ÓÐ4.5¡«350Õ׺գ¬Ïà¶Ô´ø¿íΪ0.01£¥¡«0.3£¥£¬ËùÒÔÔÚÒªÇóÖÐÐÄÆµÂʵ͡¢Í¨Æµ´ø¿íµÄ³¡ºÏÉв»ÄÜÈ¡´ú·ÖÁ¢Ê½¾§ÌåÂ˲¨Æ÷¡£

²Î¿¼ÊéÄ¿
  1. W. P. Mason£¬Electromechanical Transducers and Wave¡¡Filters£¬ 2nd¡¡ed.£¬¡¡D. Van¡¡ Nostrana¡¡Co.£¬ Princeton£¬ NewJersey£¬1948.
  2. D. S. Humpherya£¬ The¡¡ Analysis¡¡ Design¡¡and Synthesis¡¡of¡¡Electrical Filters£¬ Prentice Hall Inc.£¬ Englewood Cliffs£¬New Jersey£¬ 1970.