电磁场的本征函数

在一定的边界条件下,分布形式不因激励方式而定的电磁场模式,是这种边界条件下的本征模式。本征函数和本征值数学物理方法的基本概念之一,是表达本征模式的数学工具,在电磁场模式分析中十分重要,而模式分析则是解给定源的场的有效方法之一。近代数学已把本征函数和本征值的研究推进到了新的深度和广度。

对于线性算子 L,如果其定义域为某类函数(例如在边界上为零或边界上法向导数为零,而在场区域内二阶导数连续且平方可积的函数),则此类中的函数u和常数λ,如能满足方程Luλu,就分别称为算子L在这函数类中的本征函数和本征值。在静态场和简谐场中常遇到的算子是公式 符号。例如在ɑ×b矩形域中,二维算子公式 符号满足在边界上为零条件的本征函数是 公式 符号mn都是正整数),而满足在边界上法向导数为零条件的本征函数则公式 符号mn都是正整数,有一个可以为零),二者相应的本征值都是公式 符号。二维算子 公式 符号的这些本征函数可以表达静态场或简谐场在矩形柱区域中横向分布的本征模式。

例如,在均匀填充介质的波导中,简谐电磁场除可能有横电磁(TEM)模式外,还有E模(纵向磁场为零)和H 模(纵向电场为零)两类模式(见电磁波模式)。取管轴为z坐标轴,这两类模式的一般表达式为

公式 符号

式中足标ν为模式的标号,常为二元有序整数组;公式 符号公式 符号为任意常数;公式 符号为二维算子公式 符号满足在边界上为零条件的本征函数;公式 符号为满足在边界上法向导数为零条件的本征函数;公式 符号公式 符号则是相应的本征值,恒为正实数,分别构成无穷序列;常数公式 符号它们可能为实数(能传播的情形)或虚数(消失衰减的情形)。

在波导管内介质有纵向间断面的情形中,除 公式 符号公式 符号在间断面横截线上保持常数的模式外,E模与H模必然混合存在。这时应从上述两类函数中各取一个构成本征函数对,而且在不同的地区应取不同的函数对。它们除分别满足管壁上的边界条件外,还应保证公式 符号公式 符号以及EνHν的切向分量在介质界面上都是连续的。相应地,在同一介质区公式 符号公式 符号,而在不同介质区则取不同的值,以保证公式 符号对每一模式为定值。

在已知的各种正交柱坐标系中,只在直线、圆柱、椭圆柱、抛物柱坐标系中,能用分离变量法求公式 符号公式 符号。但只在一些管壁和介质间断面形状简单的情形可以列出本征值满足的函数方程。一般需应用适当的方法求近似解。

在场区横向延至无限远的情形(如介质柱内外或导体柱以外)中,除某些特殊情形,如介质柱有相当粗(或导体柱面上敷有相当厚的介质层),可能存在有限个本征函数(表达表面波的横向分布)外,一般不存在本征函数。尽管在这些情况中可能找到既满足方程公式 符号,又满足边界条件的函数,可是它们非平方可积(相当于能流为无穷大),所以它们不能表达本征模式。

在均匀填充介质的柱形谐振腔内,场需同时满足侧壁和端面上的边界条件。其中Z分量的边界条件为(en指向侧壁法向)

公式 符号

这时,本征模的EZHZ应为三维算子公式 符号在满足上述边界条件的函数类中的本征函数,波数平方k2则应等于相应的本征值。公式 符号就是腔的自由振荡频率。例如在ɑ×b×c 矩形腔内,本征值的通式为

公式 符号

mnl都是正整数,可能有一个为零。

在其他形式的导体腔内,需研究矢量方程

公式 符号

在相应边界条件下的解。在圆球形腔中,可以依照

Hr=0(E模)和 Er=0(H模)

而分为两种模式,分别用标量公式 符号公式 符号(称为德拜势)来表示

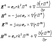
公式 符号

其中公式 符号公式 符号应满足亥姆霍兹方程公式 符号

在球形导体表面,德拜势应满足边界条件公式 符号和Πm=0。因此,在球形腔内,Πe和Πm应取公式 符号算子在满足上列边界条件且二阶导数连续并平方可积函数类中的本征函数,而k2则为相应的本征值。

参考书目
  1. 林为干:《微波理论与技术》,科学出版社,北京,1979。
  2. M.博恩和E.沃尔夫著,杨葭荪等译《光学原理》,科学出版社,北京,1978。(M.Born and  E.Wolf,Principles of OPtics,Pergamon Press,Oxford,1975.)
  3. D.S. Jones,Methods in Electromagnetic Wave Propagation,Clarendon Press,Oxford,1979.