[拼音]:mohu guanxi
[外文]:fuzzy relations
论域(直积空间)X×Y={(x,y)│x∈X,y∈Y}中的模糊关系垾就是X×Y中的模糊集垾的隶属函数
在实轴闭区间[0,1]上取值,
的大小反映元素x与y之间的关联程度。一般,X=X1×X2×…×Xn中的n项模糊关系,是X1×X2×…×Xn中的模糊集垾,它的隶属函数用
表示,xi∈Xi,i=1,2,…,n。模糊关系是普通关系的拓广。普通关系描述事物之间是否有关联,而模糊关系则描述事物之间关联程度的多少。L.A.扎德将模糊关系应用于输入、输出和状态间有模糊关系的模糊系统中。模糊关系还应用于有限自动机、算法、语言学等方面。
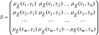
设X={ x1, x2,…, xm}和Y={ y1,y2,…, yn}是有限论域,则X,Y 的模糊关系垾可用n×m 矩阵R 表示:
矩阵R称为模糊关系垾的模糊矩阵。模糊矩阵还可以用相应的图来表示,称为模糊关系图(见图)。
模糊关系的性质
X×Y上的模糊关系有下述运算性质:两个模糊关系垾与捪,如果对任何的(x,y)∈X×Y都有
,则称捪是垾的补集。
两个模糊关系垾1与垾2的并垾1∪垾2,是指对任何的(x,y)∈X×Y都有
,其中“a∨b”表示在ɑ,b中取较大者。
两个模糊关系垾1与垾2的交 垾1∩垾2, 是指对任何的(x,y)∈X×Y 都有
,其中“a∧b”表示在ɑ,b中取较小者。
两个模糊关系垾与垾-1,如果对任何的(x,y)∈X×Y,都有
,则称 垾-1是垾的逆转关系,又称倒置关系。
模糊关系嫢称为恒等关系,是指当且仅当对任何的(x,y)∈X×Y,都有
模糊关系捊 称为零关系,是指当且仅当对任何的(x,y)∈X×Y 都有
。
模糊关系啇 称为全称关系,是指当且仅当对任何的(x,y)∈X×Y,都有
。
X×Y上的模糊关系垾与Y×Z上的模糊关系慒 的合成,记作垾⋅慒,是指对任何的(x,z)∈X×Z,都有
=
,式中,
,表示对所有y ∈Y求[ ]中的最大值,∧表示求其前后两项中的最小值。
X×X上的二元模糊关系 垾具有自反性、对称性、反对称性和传递性。
自反性是指对任何的x∈X,都有
。
对称性是指对任何的(x,y)∈X×X,都有
。
反对称性是指对任何的(x,y)∈X×X,
的充分必要条件是
。
传递性是指对任何的(x,y),(y,z),(x,z)∈X×X,都有
。
若X×X上的模糊关系 垾满足自反性与对称性,则称垾为X的一个模糊相似关系,又称模糊相容关系。
表示x与y对于模糊关系垾的相似程度。当X为有限集时,模糊相似关系可用一个主对角线元素为1的对称模糊矩阵来表示。若X×X上的模糊关系 垾满足自反性、对称性和传递性,则称垾为X的一个模糊等价关系。模糊相似关系和模糊等价关系是模糊聚类分析和模糊综合评判的基本数学工具。
在模式识别、综合评判等方面经常遇到模糊关系方程的问题。如果已知模糊关系捜和慒,要求解出满足捜⋅垾=慒的模糊关系垾,这时捜⋅垾=慒就是一个模糊关系方程。