管流

液体充满管道内部的流动。设计管道或管系时必须进行管流的水力计算。管流的主要问题是确定流量和水头,计算沿管线各断面的压强。

管流按液体速度的恒定性可分为:速度随时间变化的非恒定管流和速度不随时间变化的恒定管流;按管道局部损失能否忽略分为:沿程损失占绝对优势、局部损失可以忽略不计的长管和局部损失占相当数量不能忽略不计的短管;按管道布置分为管径及管道类型均不变化又无分支的简单管道,以及由两根以上管道组合成的复杂管道,如串联、并联管道、枝状或环状管网。水力计算,均以恒定流为基础。

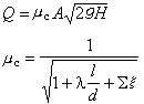
短管

短管的流量计算公式为

公式 符号

式中Q为流量;g为重力加速度d为管道直径;l为管道长度;μc为管系流量系数;A为管道断面面积;λ为沿程阻力系数;Σξ为局部阻力系数之和;H为作用水头,当自由出流时,H采用管道出口断面中心到上游水面的铅直距离,淹没出流时,H采用上下游水位差。

虹吸管和水泵吸水管均属于短管。一部分管段高出进水口水面的管道为虹吸管,水泵吸水管一般也高出进水口水面。它们具有相同的水力特征,即部分管段中存在真空。在启动时必须先排出管内空气以造成真空;在运行过程中要防止空气流入破坏真空而中断流动。在设计时要校核管内最大真空值,使其不超过在常温下使水汽化或造成水泵气蚀的容许真空值(一般应使管道顶部真空值低于7~8米水柱高度)。

长管

长管的水头可认为全部消耗于沿程损失,在高雷诺数条件下用谢才系数C计算流量时,作用水头或水头损失(H)及流量(Q)的计算公式为

公式 符号 公式 符号

式中hf为水头损失;公式 符号称为比阻抗;公式 符号称为流量模数。

并联管道

两条以上管道在同一处分流,又在另一处合流的管道系统,称为并联管道。并联管道的水头等于各段损失,流量等于各段流量之和。

公式 符号 公式 符号

式中n为管段的总和;i为管段号数;S0i管段的比阻抗;lii管段长度;Qii管段流量。

串联管道

两条以上不同直径管道首尾连接而成的管系称为串联管道。串联管道的水头等于各段水头损失之和,流量等于各段流量。

公式 符号 公式 符号

式中hfii管段的水头损失。

枝状管网

干管与若干支管组成树枝形状的管系称为枝状管网。枝状管网的设计任务在于确定各管段直径d及所需水头H值。管径d由设计流量和经济流速确定,所需水头H的计算公式为

公式 符号

式中水头损失应沿最不利管线计算,hl为端点压强水头全量(即自由水头)。

环状管网

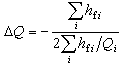
各支管末端互相联结,整个管道系统构成若干闭合环的管道系统,称为环状管网或闭合管网。环状管网的设计任务在于确定各管段的流量、管径和相应的各段水头损失。根据下列两方程组求解:

(1)任一结点处流入结点的流量应等于流出结点的流量,即在结点处流量保持平衡公式 符号

(2)对于任一闭合环,若顺时方向流动损失为正,逆时针方向流动损失为负,则任一闭合环中水头损失之代数和等于零,即公式 符号。采用逐逼近法,先根据各结点供水情况,初步假定管网中各管的流动方向,对各管段流量进行第一次分配,使满足结点流量平衡的要求,然后按经济流速计算并选定管径。计算各环水头损失,看是否满足环路水头平衡要求,如不满足,对流量分配进行修正。各环修正流量ΔQ按下式计算:

公式 符号

式中公式 符号为整个环路的水头损失之和(注意各段损失正负号)。将算得的ΔQ加上每一管段原分配流量,便得第一次校正后的流量。在两环路的共同管段上,相邻环路的ΔQ 符号应反号后再加上去。 如此反复进行,直至满足公式 符号为止。

参考文章