[拼音]:xingudianzhuyi de hongguan jiage moxing
[外文]:neo-classical model of macro price
新古典主义经济学家提出的一种强调供给的宏观价格模型。新古典主义由货币主义、合理预期学派和供给学派三个经济学派组成,它是在20世纪70年代发展起来的,其大部分观点针对凯恩斯主义的缺陷而提出。
新古典主义建立的强调供给的宏观价格模型以新古典学派微观经济学中的厂商理论为基础,并加入所谓的信息问题。
根据新古典学派的微观经济学原理,厂商为实现利润最大化,总会把生产提高到价格等于边际成本的均衡点上。当厂商的产品价格相对于其他产品价格(包括他的投入要素价格)上升时(下面简称厂商产品的相对价格),意味着有超额利润存在,厂商就会增加生产;当所有其他产品的价格都以和该厂商产品的价格相同的幅度上升,即厂商产品的相对价格不变时,厂商便不会增加生产。
新古典主义基本同意这一理论,但认为还存在某些不足。因为在现实生活中,厂商了解自己产品的价格变动情况容易,得到其他商品价格变动的信息则要困难得多。因此,价格总水平便成为向厂商反映其他商品价格变化的指示器。这样,只要厂商的产品价格高于价格总水平,他便会增加生产。用公式表示单个厂商的供给曲线如下:
式中Yi是厂商的实际产量;Pi是厂商的产品价格;P是价格总水平;墠是厂商的潜在生产水平;h是系数。单个厂商供给曲线的含义是:厂商的实际产量比其潜在产量高于h乘以厂商价格与价格总水平的差额。由于厂商不了解其他产品的价格变动情况,因此他对反映其他商品价格变化的价格总水平也不可能准确及时地了解,只能凭估计或预期。所以,在上述单个厂商的供给曲线中,价格总水平实际是预期的价格水平,若用Pe表示,那么厂商的供给曲线就是:
这样,对单个厂商的供给曲线的进一步分析,便集中于厂商对价格总水平的预期。新古典主义认为,厂商在对价格总水平预期的过程中,会根据所掌握的经济信息,对最初的估计不断进行修正,以便与实际价格总水平接近。厂商的这种最优预期行为可以从“最优估计线”中反映出来:
式中坧表示最初的价格估计;b是0~1之间的系数。这一曲线的含义是:厂商对价格总水平的预期以最初的估计为基础,并根据(Pi-坧)项进行修正调整。把最优估计线代入单个厂商的供给曲线,便得到一条精确的单个厂商的供给曲线:
在新古典主义看来,整个社会的供给曲线就是单个厂商的供给曲线的加总。在整个社会中,有n个厂商,那么社会总供给曲线为:
在产量—价格总坐标系中,该曲线是一条向右上方延伸的曲线。这条供给曲线是R.E.卢卡斯提出的,称为卢卡斯供给曲线。
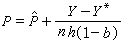
如果变化一下卢卡斯供给曲线的形式,即可得到一个价格调整方程:
该方程式表明,现期价格是由现期国民收入缺口(Y-Y*)决定的,这就是说价格调整是迅速的。
如果把卢卡斯供给曲线同需求曲线结合到一起,就是新古典的宏观价格模型,如下图所示。
最初,经济处于总供给曲线 S1和总需求曲线D1的交点A上,实际GNP等于潜在GNP。当宏观政策使总需求曲线从 D1移到D2时,假定厂商对价格的预期(P)不变,那么总供给曲线不变。从S1与 D2的交点B可以看出,产量(GNP)和价格都较A点有所提高。但是,根据合理预期的假定,在价格水平上升时,人们对它的预期也会以相同的比例提高,这样, 总供给曲线也会从S1移至S 2。从S 2与D 2的交点C看,它与A点相比,价格上升了,而产量没有变化。
从该模型可以看出,总需求政策调整对产量的效应必须具备两个特点:
(1)如果需求调整政策没有被预期到,总供给曲线就不会移动,需求政策对产量的效应就能保持住;
(2)如果价格上升是缓慢的,供给曲线就会发生移动。但供给曲线从S 1移至S 2有一个过程,在这个过程中,需求政策对产量的效应虽然是递减的,却是始终存在的。因此,新古典主义认为,被人们预期到的政策变化是中性的,而只有被预期到的政策变化才对国民收入的增加有效应。
这个宏观价格模型还有另外一个重要的政策含义。政府在同通货膨胀作斗争的过程中,通常是运用紧缩货币供给的手段。如果货币当局事先向公众宣布货币供给量将要降低,那么公众就能立即调整他们对货币供给的预期值,这样,价格总水平(P)同人们预期的价格总水平(坧)就会以相同的比例下降,即(P-坧)变化甚微或没有变化。那么根据卢卡斯供给曲线,(Y-Y*)值也就不会发生变化。因此,通货膨胀便能在没有国民收入的波动的情况下得到控制。