物价指数

浏览

报告期所销售(或收购)商品的实际平均价格水平与基期平均价格水平相比的相对数。它既反映物价平均变动的方向和幅度,也反映物价变动后实际经济效果的绝对值。编制各种物价指数是研究与价格因素变动有关的各个指标的重要工具。

在计算方法上,单项商品的物价指数,用报告期和基期的实际平均价格计算。多种商品的物价总(组)指数,一般是以报告期的商品销售(或收购)数量为同度量因素(见统计指数)来计算。物价总指数公式 符号的算式为:

公式 符号

式中公式 符号代表各种商品报告期的销售(或收购)数量;p1p0分别代表每种商品报告期和基期的平均价格,多数情况是选用各种商品中有代表性的价格。上式简称物价指数的综合公式。在实际工作中,还可根据资料情况采用一些简化的变通办法。

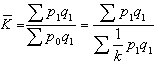
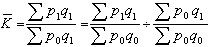
(1)用加权倒数(调和)平均公式计算物价总指数。在有各种商品的销售(或收购)额资料而无商品销售(或收购)量资料时采用,如农副产品收购价格总指数等。其算式为:

公式 符号

式中,k=p1÷p0为单项商品价格指数(或各地区物价指数)。

(2)用加权算术平均公式计算物价总指数。其算式为:

公式 符号

中国重点市县为保证及时提供国营商业零售牌价指数,实际上即采用了以上一年度的平均消费构成为权数的变通办法,按加权算术平均公式计算。

(3)在先编制商品销售(或收购)量指数的特殊条件下,物价总指数也可用从商品销售(或收购)额指数中扣除商品数量变动因素的办法求得。通常称之为指数体系法。其算式为:

公式 符号

中国工业品出厂价格指数即采用指数体系法计算。

参考文章