价格弹性

浏览

产品或劳务的需求量、供给量对价格变动的相对反应程度。

需求价格弹性

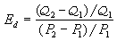
衡量在影响需求的其他因素不变的条件下,产品或劳务需求量对其价格变动反应程度的指标。其计算公式为:

公式 符号

式中Ed代表需求价格弹性;Q1P1代表原来的需求量和价格;Q2P2代表新的需求量和价格。

如果需求量变化和价格变化方向相反,则Ed为负数;反之,则Ed为正数。一般可以直接用绝对值表示。

需求价格弹性一般分三类:

(1)需求弹性不足,0<Ed<1,需求量变动百分数小于价格变动百分数;

(2)需求弹性为1,Ed=1,需求量变动百分数等于价格变动百分数;

(3)需求弹性充足,Ed>1,需求量变动百分数大于价格变动百分数。另外有两种特殊类型:

(1)需求完全无弹性,Ed=0,价格变动对需求量没有影响;

(2)需求弹性无限大,Ed=∞,价格变动会引起购买数量无穷大的变动。

影响需求价格弹性的因素主要有:

(1)产品的替代品数目和相似程度。替代品越多,弹性越大,反之越小。

(2)产品在购买者支出中所占比例。比例大则弹性大,比例小则弹性小。

(3)产品用途多少。用途多的弹性大,用途少的弹性小。

(4)产品性质。生活必需品缺乏弹性,高级耐用消费品或奢侈品弹性大。判断一种商品的需求价格弹性时,必须将以上4个因素结合起来分析,它们可能互相促进,也可能起相反作用。另外,时间因素与需求价格弹性也有很大关系。一般说,时间越长,弹性越大,因为消费者越容易找到替代品。

需求交叉价格弹性

衡量一种产品需求量对另一产品价格变动的反应程度的指标。计算公式为:

公式 符号

式中EC代表需求的交叉价格弹性;QA1QA2代表A产品原来的需求量和新需求量;PB1PB2代表B产品原来的价格和新价格。EC为负值,说明B产品价格变化与A产品需求量变化方向相反,反映两种产品在消费或用途方面是互补品;EC为正值,说明B产品价格变化与A产品需求量变化方向一致,反映两种产品在用途上是替代品;EC等于零,说明B产品价格变化对A产品需求量没有影响,反映两种产品互不相关。

供给价格弹性

衡量在影响供给的其他因素不变条件下,产品或劳务供给量对其价格变动反应程度的指标。计算公式为:

公式 符号

式中ES代表供给的价格弹性;Q1P1代表原来的供给量和价格;Q2P2代表新供给量和价格。

供给的价格弹性一般为正值,即供给量与价格变化方向一致。

供给价格弹性一般分三类:

(1)供给弹性不足,0<ES<1,供给量变动百分数小于价格变动百分数;

(2)供给弹性为1,ES=1,供给量变动百分数等于价格变动百分数;

(3)供给弹性充足,ES>1,供给量变动百分数大于价格变动百分数。

另外有两种特殊类型:

(1)供给完全无弹性,ES=0,价格变动对供给量没有影响;

(2)供给弹性无限大,ES=∞,价格的微小降低,会使供给量变为零;价格的微小提高,会造成供给量的无限增加。

供给价格弹性大小决定于调整供给的难易程度及所需时间。一般来说,增加供给难的产品或劳务价格弹性小,反之则大。一定程度的价格变动,对短期供给数量产生的影响,小于对长期供给数量的影响。调整供给量需要时间越长,长期供给价格弹性就越大于短期供给价格弹性。

供给交叉价格弹性

衡量一种产品供给量对另一种产品价格变动的反应程度的指标。计算公式为:

公式 符号

式中EC代表供给的交叉价格弹性;QA1QA2代表A产品原来的供给量和新的供给量;PB1PB2代表B产品原来的价格和新价格。

EC为负值,反映两种产品是替代品;EC为正值,反映两种产品为互补品;EC等于零,反映两种产品互不相关。

参考书目
  1. P.A.萨缪尔森著,高鸿业译:《经济学》,商务印书馆,北京,1981。(P.A.Samuelson,Economics,10 ed.,Mc Graw-Hill Book Co.,New York,1976.)
  2. 孙春芳编著:《市场经济中的企业定价》,中国物价出版社,北京,1991。

参考文章