[拼音]:zhaiquan de xianzhi he zhongzhi
[外文]:present value and accumulated value of bond
债券的即期价值和到期价值。
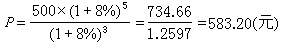
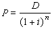
债券的现值债券最初发行时的发行价格;或债券到期前在市场上转让时,其发行价格与到期应偿付本利和(终值)之间的数值。就未到期的债券而言,债券的现值为债券转让价格的理论值或公平值。债券流通市场的实际成交价格围绕着债券的现值上下波动,是债券买卖双方相互竞争的结果。购买者尽量要以不高于债券现值的价格购买,而转让者则尽量要以不低于债券现值的价格出售。债券的现值通常按复利计算,故又称复利现值。其计算方法为,设P 代表现值,n代表未到期年,i代表年利率,D代表到期应收本息(即债券的终值),则有:
如有一张期限5年,年利率8%,面额500元的债券,在持有2年之后,其现值为:
债券的终值
债券到期日按复利计算所得的本利之和,又称将来价值。债券终值的计算方法有直接法和间接法两种。直接法根据债券票面额、票面年利率和偿还年限直接计算。援用上例,一张期限5年,年利率为8%,面额500元的债券,终值则为500×(1+8%)5=734.66元。间接法根据债券现值和未到期年限间接计算。如上述债券持有 2年后现值为583.20元,未到期年限为3年,终值则为583.20×(1+8%)3=734.66元。债券现值与终值的差额即为持有债券期间的投资收益,持有债券时间越长,差额越大,收益也就越多。