[拼音]:pingjunshu
[外文]:average
综合反映现象总体内各单位某一数量标志的一般水平的数值。是表明总体特征的一个重要指标。对大量现象某一数量标志的平均化过程,可以抵消个别的、偶然的因素所发生的影响,而呈现出共同的、基本的因素作用的一般趋势。
计算平均数的前提条件是总体的同质性。科学的平均数是建立在分组法的基础上,通过分组法划分社会经济现象的不同类型,并按同质总体计算和运用平均数。
平均数在社会经济研究中可用以比较不同单位或地区同类现象的水平或质量,研究现象发展变化的过程和趋势,分析现象之间的依存关系,以及推算其他有关指标等。统计平均数主要有算术平均数、调和平均数、几何平均数、众数、中位数等。
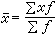
算术平均数总体标志总量与总体单位总数之比,是计算平均数最常用的方法。依计算条件不同,可分为:
(1)简单算术平均数。根据未分组资料计算,其算式为:
简单算术平均数
式中x表示各单位标志值,n表示单位个数,Σ为总和记号。
(2)加权算术平均数。根据变量数列计算,是总体单位标志值乘以相应的权数之和,再除以权数和。所谓权数就是变量数列中的次数或频数,它对于标志值具有权衡轻重的作用。以f表示权数,则:
加权算术平均数
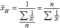
总体单位标志值倒数的算术平均数的倒数,也称倒数平均数,用塣H表示。简单调和平均数的算式为:
加权调和平均数算式为:
式中m为权数。
在中国及其他一些社会主义国家的经济统计中,调和平均数主要作为算术平均数的变形来看待,即当标志的值作为已知权数时,可用调和平均数求平均指标,其结果与算术平均数同。
几何平均数n个单位标志值或变量的连乘积的n次方根,用塣G表示。通常用以求平均发展速度。
简单几何平均数算式为:
式中∏为连乘符号,x为逐年发展速度。
加权几何平均数算式为:
式中f表示权数。
众数总体中出现次数最多的标志值。如某农产品在集市上成交量最多的价格,班上学生人数最多的同龄人的年龄等。
根据组距分组数列计算众数,首先要确定次数最多的一组为众数组,然后按下列公式计算众数的近似数值:
式中MO代表众数,L代表众数组的下限,墹1代表众数组次数和下一组次数之差,墹2代表众数组次数和上一组次数之差,d代表众数组的组距。
众数只在总体单位数比较多,而且有明显的集中趋势的条件下才适用。
中位数将总体各单位标志值按大小顺序排列而居于中间位置的标志值。当总体单位数 n为奇数时,按顺序排列后的第
项的标志值即为中位数。当总体单位数n为偶数时,按顺序排列后的第
和
项的两项标志值的算术平均数为中位数。中位数和众数都不受极端数值的影响。
根据组距分组数列计算中位数,首先要按累计次数之半确定中位数所在组,然后按下列公式计算出中位数(Me)的近似数值:
式中L代表中位数组的下限,Σf代表累计总次数,f m代表中位数组的次数,S m-1代表中位数组以下的累计次数,d代表中位数组的组距。
用统计平均数分析问题时,要注意结合分组法计算组平均数来补充总平均数,测定各组结构变动对总平均数水平的影响;注意把平均分析和具体的数列以及典型事例分析结合起来,使认识更加全面深刻。