标志变动度

浏览

综合反映总体各单位标志值变异程度的指标。简称变异指标。它显示总体中变量数值分布的离散趋势,是说明总体特征的另一个重要指标,与平均数的作用相辅相成。

标志变动度可用来反映平均数代表现象一般水平的代表性程度,标志变动度愈小,则平均数的代表性愈大。它可以说明现象的稳定性和均衡性。它和平均指标结合应用还可以比较不同总体标志值的相对差异程度。常用标志变动度指标有全距、四分位差、平均差、标准差等。

全距

总体各单位标志值中最大值和最小值的差距。它最简明地说明标志值的变动范围。

四分位差

总体数量标志值数列中各四分位数离差的平均数。将数列分成四等分,中间形成三个分割点,居于第一分割点的标志值Q1称为第一四分位数,居于第二分割点的标志值Q2即中位数,称为第二四分位数,居于第三分割点的标志值Q3称为第三四分位数。四分位差的算式为:

公式 符号

四分位差能够避免次数分配数列中两端极端数值的影响,中间部分数列分配愈集中,标志值的差异愈小,四分位差也愈小。

平均差

总体各单位标志值与平均数离差绝对值的平均数。它表示总体各标志值与平均数的平均差异程度。求平均差所以用离差的绝对值,是因为任何数列各标志值与算术平均数的正负离差之和都等于0,而取绝对值可以不考虑离差的正负号,只考虑离差数大小。以A D表示平均差,其算式为:

公式 符号

式中x代表标志值,塣代表平均数,n代表总体单位数。

平均差受总体各单位所有标志值的影响,所以更能综合反映总体标志的变异程度,平均差愈小表示标志变异愈小,分布愈集中。

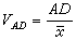
不同总体的平均差计量不同,单位不同,不能直接对比。为了显示平均离差的相对程度,便于不同总体的比较,可以计算平均差系数VAD,它是将平均差除以平均数求得。其计算公式为:

公式 符号 标准差

总体各单位标志值与平均数离差平方的平均数的平方根,又称均方差。它反映标志值与平均数离差的平均水平,是测定标志变动度最常用的指标。求标准差所以将离差加以平方,是因为可以消除离差的正负号,并将离差程度强化,最后把所得结果开方是为了恢复原来的计量单位。以σ 表示标准差,其计算公式如下:

公式 符号

为便于不同总体的对比,可以计算标准差系数Vσ,以测定标志值的相对变异程度。其计算公式是:Vσ=σ/塣。