[拼音]:Jianqiao fangchengshi
[外文]:Cambridge equation
提出的一种货币需求函数。又称现金余额方程式。
1917年,剑桥大学教授庇古在《经济学季刊》上发表《货币的价值》一文,提出M=kPy的货币需求函数,即剑桥方程式。式中y表示实际收入,P表示价格水平,Py表示名义收入,k表示人们持有的现金量占名义收入的比率,因而货币需求是名义收入和人们持有的现金量占名义收入比例的函数。
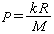
庇古提出这一货币需求函数,其理论根据是A.马歇尔的货币数量论。马歇尔认为,货币流通速度决定于人们的持币时间和持币量,而人们的持币时间和持币量又决定于人们的财产和收入中多大一部分以货币形态贮存起来。人们以货币形态贮存起来的财产和收入是“人们愿意保持的备用购买力”,这部分购买力的高低决定于以货币形态保持的实物价值。按马歇尔和庇古的假定,这个“实物价值”以一定数量的小麦表示,因而货币的购买力(即货币的价值)便表现为单位货币所能购买到的小麦量。设R为一定量小麦所代表的全部商品的总价值(即社会总收入和总财富),k为以货币形态持有的备用购买力占社会总收入和总财富的比例,M为货币量,P为以一定的小麦量表示的单位货币价值,则:
因而庇古的货币需求函数,也就是马歇尔货币数量论的数学化。
在M=kPy的货币需求函数中,y是一个常数且假定它是不变的,因为国民已经充分就业,经济产量已经达到最高水平时货币的需求取决于k和P 的变动。而k的变动取决于人们拥有的资财的选择:资财可投资于实物形态,借以从事生产,也可直接用于消费,还可保持在货币形态上。怎样选择,需要权衡利弊得失,若选择在货币形态上保存,必将增加现金余额,而现金余额的增加必然要使k增大。在y和M不变的条件下,k的增大必然使P 增加,因为P=ky/M。这表明货币的价值与ky成正比,与M成反比。剑桥方程式表达的经济意义被称为“现金余额说”,主要是强调人们保有的现金余额对币值从而对物价的影响。此外,庇古还认为货币的供给对币值从而对物价的影响,即P与M成反比。他曾假定k也是个常量,是不变的,因为在一定时期内交易方式(支付方式)是不变的。这样,P的高低便取决于M的多少。在这一点上,剑桥方程式要表达的是:货币的价值决定于货币的供求。