[拼音]:jingji xiaoyi tongji
[外文]:statistics of economic benefit
运用一系列统计指标从数量上反映宏观经济和微观经济的经济效益水平,并在定性分析的基础上,进行定最分析,研究经济效益变动规律的统计。一般讲,在再生产过程中,经济效益是投入和产出两方面总量指标之比,即物化劳动与活劳动的占用量和消耗量同符合社会需要的劳动生产成果之间的比较,通常以相对数或平均数形式表现。如用产出比投入,说明单位劳动消耗生产出的社会产品,其值越大说明经济效益越高,是正指标;反之,如用投入比产出,说明生产单位社会产品所消耗的劳动量,其值越小说明经济效益越高,是逆指标。
在中国,宏观经济方面的经济效益指标主要有:
(1)综合劳动生产率。反映单位活劳动消耗所取得的成果,其算式是:
(2)综合生产消耗系数。反映一定数量的国民收入所消耗的物化劳动,其算式是:
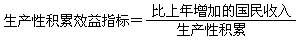
(3)每百元生产性积累提供的国民收入。表明国家和集体用于扩大再生产上的生产性积累所取得的效益,其算式是:
国家投资效益指标用下式:
(4)能源利用效率。即每吨标准能源消费量所提供的国民收入,其算式是:
在微观经济中,各部门基层企业有本部门的指标体系。如工业企业有劳动生产率,单位产品原财料、燃料、动力消耗量,资金利税率及产品销售率等。在评价企业经济效益时,可分项评价,也可用逐项打分的办法,算出一个综合性的总指标,据以对企业的经济效益作出总的评价。