[拼音]:pifa jiage zhishu
[外文]:wholesale price index
反映批发市场成交价格变动趋势和程度的相对数指标。
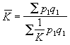
批发价格指数宜采用报告期权数的加权调和平均指数公式计算,即:
式中K为单项商品价格指数;∑p1q1为报告期出售的各类商品批发价格总额。
在∑p1q1资料不易取得的条件下,可以采用以基期权数加权的算术平均指数公式计算,即:
式中∑p0q0为基期出售的各类商品批发价格总额。
把p0q0作为基期固定权数进行历年对比时,p0q0的使用年限不宜过长,一般不超过5年。特别是在物价变动频繁的情况下,更应注意基期固定权数所反映现象真实性的程度。