小公司效应实际上是二十世纪70年代后期对CAPM的非常规性研究之一,非常规性从某种意义上说是公司特征。按照Sharpe—Linter的CAPM模型:
E(R1) R1=βim,β完全刻画了截面层上的预期超额收益的波动。小公司效应本质上是小公司所获得的超额收益不能用CAMP中的β系数解释的部分。
(一)统计数据偏差
Roll(1981)认为与等权计算的股票指数(E)相较,以市值为权数加权平均计算的标准普尔500指数(S)更偏重于大公司,换言之,前者的某些特征更接近小公司组合的收益率,因而他认为比较两种指数有助于研究产生规模效应的真实原因。在比较1962~1977年不同时间跨度的E和S后发现,在所有的持有期下E更高,比S平均每年高出12%,且方差更大。虽然日收益率下两种指数的Beta和方差几乎相同,但随着持有期的延长——由日、周等渐变为半年收益率数据——E的最小二乘β和方差急剧增大。这表明短期数据会低估小公司的风险而夸大其收益状况。Roll认为小公司股票交易不频繁。使得日收益率存在较长的滞后影响,由此带来了数据的自相关性,导致Beta估计偏低。同时,Roll还使用Dimson(1979)提出的aggregatedcoefficients方法估计β值,结果规模效应有所减弱。
但是Reingnum(1982)则认为这不足以解释全部的小公司超额收益。Reingnaum发现,用Dimson提出的方法估计β值,得到小公司和大公司β值之差约为0.7,而他们的平均收益率相差36,而市场期望收益将比无风险(0 β)收益高50%(36%/0.7),显然这是不可能的。因而Reingnaum认为用小公司风险被低估来解释小公司效应理由并不充分。
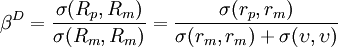
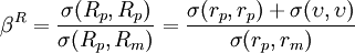
此外,Roll在另一篇文章(partI1980/partⅡ1981)中提到市场基准组合选择若不是事前均方差有效(exantemean—varianceefficient)也会导致β估计偏低。后来Bocth和Smith(1985)用Frisch(1934)提出的直接和倒置回归法(directandreversere—gression)来检验由基准和不同时交易对β估计的影响。Frisch用βD(直接回归下计算的β)和(倒置回归下计算的β)作为估计真实β的上下界,来解决变量误差问题。

;

其中,Rp=rp+υ;Rm=rm+υ。分别代表组合与市场的估计收益率,并由各自的真实收益率加上残差得到。σ表示协方差。
通过公式:Rp Rf=α+β(Rm Rf)RI)可得到αD和αR,两者共同确定真实α的估计区间。截距项α代表风险调整后的超额收益,因而若不存在规模效应,真实α为0。Booth和Smith发现基准率和不同时交易的存在虽然放松了估计区间(即σ(rm,υ)和σ(rp,υ)不为O),但两个α均为正。也就是说基准率和不同时交易所产生的有偏估计并不能解释这种异常收益。
如果规模效应不是,至少不完全是统计数据偏差造成的,那么金融市场上很可能存在某些因素。这些因素要么使β估计偏低,要么是CAPM所不能反映的风险,从而使CAPM失效。以下从广义交易成本和风险溢价两个角度阐述一些学者对规模效应的解释。
(二)交易成本
这里的交易成本指的是做市商在交易时所发生的成本。按照Kim和Ismail(1990)的定义,广义交易成本分为直接和间接两类。直接成本包括做市商提供交易服务所产生的经纪费和出价与要价的差额(bid—askspread)。间接成本包括与交易活动相关的信息搜寻和投资组合管理所产生的费用。
出价与要价的差额是做市商弥补市场的买卖双方在交易上不同步而要求的费用。要价(askprice)包含了交易者为了能够立即买入而支付的溢价,出价包含立即买出的溢价。因而Amihud和Mendelson(1986)认为出要价差额可以看作是,由于提供流动性和立即交易的可能,做市商所要求的费用。更进一步,他们把出要差价看作反映市场稀薄(marketthinness即成交量较少)程度的指标,与成交量、股票持有人数、做市商数目以及股价变动的连续性等市场流动性指标负相关。而且,不论是总收益还是扣除交易成本后的净收益都是出要差价的递增且凹的函数。他们用三个模型检验β、出要差价和收益率之间的关系。(1)CAPM模垄I检验验证了β和收益间显著相关。(β系数t值为4.99)(2)在CAPM中加入一个流动性变量:出要差价的对数。结果出要差价解释力更强(系数t值为3.23,而系数t值为0.4)。(3)收益率仅对出要差价的对数回归,结果显著性(t)达到6.16,甚至高于CAPM中相应的t值。所以他们认为出要差价和收益率间显著的正相关关系可以解释小公司效应,因为小公司由于成交量少,其流动性更差。
Stoll和Whaley(1983)的发现也支持该结果,他们考察了NYSE的股票。在控制出价与要价的差额和佣金变量影响后,规模效应只出现在三个月,一年持有期下组合的超额收益不显著。关于流动性效应解释,Amihud(2002)后来认为这种流动性溢价不仅来自小公司股票本身的特征,还可能反映小公司股票的流动性对市场不流动性的敏感度。Aminud考察1964~1997年的NYSE股票,认为市场流动性会影响股票预期收益。具体而言,预期的市场不流动性将提高股票的预期超额收益;未被预期到的市场不流动性将降低当时的股票收益率。并且,这种不流动性效应对于小公司股票更强。
(三)风险溢价
许多学者.认为金融市场存在着影响投资者预期收益率的非系统风险,从而产生风险溢价。规模效应就是这种风险溢价的反映。风险溢价的解释主要包括忽略效应、最小股价变动效应和公司基本面风险。
1、忽略效应。小公司容易被股票市场的操纵力量即机构投资者所忽略。机构投资者通常只关注大公司,而较少研究小公司,所以市场参与者对于小公司的生产、管理及市场销售等情况存在信息不完全性。了解其信息越少,风险也就越大。
Arbel,Carvell和Strebel(1983)认为机构投资者受到内外两方面的约束:一方面实行谨慎的投资策略,另一方面要满足证监会在信息披露(持有5%以上股份的投资人须上报)和流动性等方面的要求,因而较少投资于小市值公司股票,这使得市场上对小公司股票的研究稀少,相关信息缺乏,这种信息缺乏使投资小公司股票的风险更大,因而需要更高的收益率来补偿。他们以机构持有度为标准,把公司分为高度持有、适度持有和忽视三种类型。再按规模大小分为三个层次。从而得到9个股票组合。分别研究这些组合的收益率、风险大小(市场风险和由收益率方差表示的总风险)、超额收益和基金业绩指数(Sharpe和Treynor指数)随机构持有度和规模变化的变动情况。发现即使控制规模变量,低机构持有度意味着更高的期望收益率。而规模效应在控制了机构持有度后消失了。认为规模效应实际上是一种忽略效应的反映。
Barry和Brown(1984)认为小公司的信息较少,增加了小公司股票价格参数估计的风险,从而产生风险溢价。他们将公司的挂牌上市交易时间作为信息可得性的测算指标。分析了β、公司规模和上市时间因素,以及这些因素间的相互关系,发现1926~1980年间的NYSE的股票存在上市时间效应。与小公司效应不同,上市时间效应没有一月季节性。他们还发现公司规模与上市时间的相关关系要强于规模效应本身。
2、最小股价变动效应。不同于Barry和Brown,Kross(1985)提出另一种股票价格参数估计风险。就收益率分别与公司市场价值(MV,代表规模变量)和股利收益率(E/P)高度相关的现象,Kross认为股价效应才是主要原因。
3、基本面风险。
二十世纪9O年代后很多学者将注意力转向公司基本面(fundamentals)分析,即其本身的经营特点来解释规模效应。尤其是当Dimson和Marsh(1999)发现反小公司效应后,经营风险的解释显得更有说服力。
Chan和Chen(1991)研究了不同规模公司结构特征上的差异,认为这是导致不同规模公司在同一经济情况下收益率差异的原因。发现小公司投资组合中有相当部分为边际企业(marginalfirm),而边际企业生产效率低和杠杆比率高、经营不佳,因而对经济情况变动极为敏感,风险也更大。所以小公司的超额收益实质是对边际企业更高投资风险的补偿。
他们构造了两个1956~1985年边际企业收益时间序列指数:DIV和IEV。由于DIV和IEV都剔除了表现良好的小公司的因素,因而较好地反映了边际企业收益状况。
DIV=减少股利分配(t-2到t-1年减少幅度≥5O)公司证券组合的收益率-未减少股利分配(t-2到t-1年内)新上市(最近五年内在NYSE上市)的小公司证券组合的收益率
LEV-高杠杆比率(前2O%)公司证券组合的收益率-低杠杆比率(后2O%)的小公司证券组合的收益率
这两个时间序列指数具有许多规模效应的特点:(1)显著的一月效应(2)QDIFF指数(最小公司组合的收益率一最大公司组合的收益率)与DIV和IEV显著相关。
他们按照两步法,先用时间序列回归估计出无条件βDIV、βLEV和市场指数的β值。第二步,用截面回归分析检验这些风险因素(即β)和公司规模对按规模大小分组的证券组合收益率的解释程度。结果表明,经营状况所产生的风险因素对收益率具有同样的解释力。
Fama和French(1992)从β对收益的解释能力的角度证明小公司的超额收益是风险溢价。他们考察了1982~1989年NYSE、AMEX和NASDAQ的股票,先按规模大小构造证券组合,发现组合的值与收益正相关,又与规模高度相关。再按事前值的排序进一步细分这些组合,即剔除规模因素的影响,发现收益率与规模显著相关,而与β无关。因此他们认为β并不能解释截面股票收益表现,而公司规模和账面市值比(BE/ME)相结合可以解释样本期内杠杆率和E/P率对收益率的影响,因而在资本市场理性定价的前提假设下,公司规模和账面市值比可以反映股票的全部风险。在分析规模对收益率具有解释力的原因时,Fama同意Chan和Chen的观点,认为公司规模和账面市值比实质上体现了收益与基本面风险之间的关系。低价股票的未来收益对经济情况变动更为敏感,收益前景不佳,因而投资者要求更高的回报以补偿风险。
Dimson和Marsh(1999)认为市场异象顺应墨菲法则,即凡有可能出差错的事终将出差错,也就是说,小公司的超额收益终将走向反向。他们考察了1955~1997年英国小公司收益表现(指数HGSC),并与同期美国市场作了比较。发现英国的小公司在1955-1986年间收益超过大公司达6倍,而1989~1997年间以几乎相同的幅度逊于大公司。而1987~1988年伴随着市场对小公司效应的关注,一大批以投资小公司为投资策略的基金公司成立。这段所谓成立时期(1aunchtime)恰是小公司超额收益的转折期。同时,他们还发现1988年也恰是小公司股利增长率开始低于大公司并趋于负增长的时期。
他们认为小公司收益的逆转也是一种小公司效应,其原因并非市场投资情绪,或是风险溢价,而是公司基本面因素依然:小公司的行业结构和以相对股利增长为衡量指标的公司业绩表现。由于规模经济等因素,小公司集中于某些领域,而在过去十年中这些领域不景气。同时,技术因素和市场力量也都有利于大公司的发展,从而产生了大公司溢价。所以,大公司的表现超出投资者预期导致小公司的超额收益消失并发生逆转,而小公司效应仍然存在,只是以负的超额收益形式表现出来。
Kim和Burnie(2002)用Alpha,残差和回归检验方法检验了1976~1995年Compustat的股票数据,证明小公司效应在经济扩张期显著,而在收缩期消失。因为,相对大公司,小公司的资产收益率更低而杠杆比率更高,所以小公司更易受经济负面变化的影响,在经济景气时表现较好,而在经济萧条时表现较差。同时还发现小公司效应主要在一月,且在经济扩张和收缩期都存在,然而风险也更高。














