单因素模型中有两个基本假设:
1、证券的风险分为系统风险和非系统风险,因素对非系统风险不产生影响;
2、一个证券的非系统风险对其他证券的非系统风险不产生影响,两种证券的回报率仅仅通过因素的共同反应而相关联。
上述两个假设意味着Cov(Rm,εi)=0;Cov(εi,εj)=0;这就在很大程度上简化了计算。
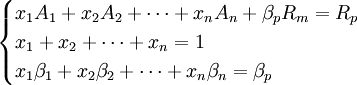
当投资者进行组合投资时,可以建立类似与马可维茨均值-方差模型计算有效投资比例xi。该模型为:
目标函数:

且:

其中xi为第i个证券的投资比例,Rp为组合收益率,βp为组合投资的风险系数。
以上是在允许卖空条件下计算的有效投资比例。在不允许卖空的条件下计算方法为:
1、计算Di
Di=/βi
rf为无风险收益。将计算结果按照由大到小的顺序重新确定序号排列,即D1最大、D2次之,并依次类推。
2、寻找分界值C*
C*值是一Ci。按照Di值从大到小的顺序,逐步比较Di与Ci的大小,如发现某一Ci值,使1~i个Di值都大于Ci值,而第i+1个(包括第i+1个)以后的Di都小于Ci时,则该C_i值就是C*。据此可确定1~i个(i个)股票被选入投资组合内
Ci(此时的i是重新排序的序号)的计算公式为:

3、计算Qi

4、计算投资比例Xi















