1 引言
分子印迹技术是指制备对某一特定目标分子具有特异选择性的聚合物的过程,其内部的印迹空穴在形状和化学结构上与模板分子互补,在去除模板之后这些空穴具备了与天然抗体相似的亲和性与选择性,因而对特定的化合物具备特异性吸附能力.分子印迹技术卓越的分子识别性能和潜在的应用价值十分引人关注,在药物分离、传感器、选择性催化等领域具有广阔的应用和研究前景.目前,将分子印迹用于污水处理的研究已有很多,如有研究学者将制备的多壁碳纳米管表面共价偶联分子印迹聚合物用于含BPA污水的处理,发现其对水中BPA有很好的去除效果,也有学者利用分子印迹技术合成水容性表面印迹复合微球处理含有胸腺五肽,研究发现其对水中胸腺五肽有很好的选择性去除效果,此外,Xu等制备了双模板分子印迹搅拌棒并将其应用于水处理中雌激素的分析.本文将制备分子印迹聚合物,并用来处理含AOII的污水。
分子印迹聚合物分为3种类型,即有机分子印记聚合物、无机分子印记聚合物及有机-无机杂化分子印迹聚合物.有机分子印记聚合物对不同单体具有可用性,应用广泛,但这种材料与不同的流动相接触时,容易产生坍塌和膨胀,从而降低吸附性能;与有机聚合物相比,全无机型分子印迹聚合物具有理想的机械强度、比表面积大以及更好的光化学稳定性等特点;杂化分子印迹兼具了无机与有机印迹材料的优点,展现出更好的应用前景,但是由于杂化分子印迹在杂化方式、材料选择、合成方法等方面仍然存在很多问题,因此目前杂化分子印迹材料的合成及应用仍处于摸索阶段.本文将研制一种无机型分子印迹聚合物.凝胶溶胶法具有以下优点:
①反应温度低,反应过程易于控制;②制品均匀度、纯度高;③化学计量准确,易于改性;④工艺简单,不需要昂贵的设备,因此目前国内外多采用溶胶-凝胶法用于纳米材料的制备.
因此,本文以Fe/Si凝胶作为基底,考虑到Al3+作为Lewis酸能特异性识别Lewis碱,如将Al3+引入SiO2晶格中作为Lewis酸识别槲皮黄酮;合成了Al3+掺杂TiO2/SiO2壳核纳米粒子,发现Al3+以氧原子为桥梁与SiO2结合,且Al3+可作为Lewis酸识别模板分子邻苯二甲酸二乙酯.所以同时将Al3+引入Fe/Si溶胶凝胶中,以具有Lewis碱性质的染料AOII(Acid Orange II)为模板分子,制备全无机型Fe/Si/Al分子印迹型吸附剂.目前以Fe/Si/Al印迹型吸附剂吸附难降解染料的文献还鲜有报道.此外,利用SEM、XRD等现代物理化学手段对材料的结构特征进行表征,选择与AOII结构类似的干扰物BPA(Bisphenol A),将全无机型分子印迹材料(MIPs)与空白印迹材料(NIPs)分别对AOII、BPA及混合液进行吸附对比研究,验证MIPs对目标分子AOII的选择性吸附能力.
2 材料和方法
2.1 试剂和仪器
无水乙醇,购自天津市光复科技发展有限公司;正硅酸乙酯,由天津博迪化工股份有限公司生产;四丙基氢氧化铵,由天津市光复精细化工研究所生产;三氯化铁,由天津市大茂化学试剂厂提供;结晶氯化铝,来自西陇化工股份有限公司;硫酸铝,购自广东光华化学厂有限公司;氢氧化钠,由天津市福晨化学试剂厂提供;氨水,来自广东光华化学厂有限公司;硫酸,由西陇化工股份有限公司生产;以上药品均为分析纯.AOII,生物染色剂,购自上海金穗生物科技有限公司.双酚A,化学纯试剂,购自国药集团化学试剂有限公司.
通过扫描电子显微镜(SEM,S-3400N,美国)用于观测材料的表面形态,操作电压为20.0 kV;D/max2200VPC粉末X射线衍射仪(日本RIGAKU公司)用于了解材料的物相组成,Cu Kα 射线,λ=0.154056 nm,电压40 kV,电流40 mA,扫描速度10° · s-1,扫描范围20°~80°;智能比表面测试仪(SSA-3600,北京彼奥德电子有限责任公司)用于测定材料的比表面积;L2型可见分光光度计(上海仪电分析仪器有限公司);Nicolet iS50傅里叶变换红外光谱仪(美国).
2.2 吸附剂的制备
2.2.1 Fe/Si的制备
Fe/Si的制备采用sol-gel法,称取0.04 mol FeCl3·6H2O于1 L烧杯中,加入198 mL去离子水及49.5 mL无水乙醇(ETOH),搅拌10 min至完全溶解.加入5 mL四丙基氢氧化铵(TPAOH)搅拌均匀,最后加入46 mL正硅酸乙酯(TEOS)剧烈搅拌30 min至完全水解.
对上述所得溶液,边搅拌边迅速加入1.25%稀氨水,至pH为7后再剧烈搅拌0.5 min,得到溶胶.将所得溶胶静置20 min后即得块状凝胶.然后加入去离子水搅拌,并真空抽滤清洗3次后,于70 ℃下烘24 h即得玻璃状干凝胶.将凝胶置于300 ℃焙烧3 h后粉碎即得Fe/Si粉末.
2.2.2 Fe/Si/Al的制备
将4.5 g Fe/Si粉末加入到200 mL蒸馏水中,同时在水中加入0.01 mol AlCl3·6H2O,保持溶液的pH在6.5不变,控制溶液温度在80 ℃,陈化3 h后,采用稀HCl(pH=4)洗涤纳米粒子,以去除纳米粒子表面剩余的Al(OH)3.最后,依次水洗、室温干燥即得Fe/Si/Al粒子。
2.2.3 Fe/Si/Al印迹型材料(MIPs)的制备
由于掺杂的Al3+可以作为Lewis酸,与溶液中的模板分子(Lewis碱)作用,并形成一种稳定的复合物,因此采用水浴加热的方式使得模板分子直接进入SiO2壳层,进而在这种Lewis酸碱之间作用力的驱动下使得模板分子在SiO2壳层形成印迹空穴.具体过程如下:将5 g Fe/Si/Al加入到100 mL蒸馏水中,调节pH为4,同时将200 mL含有10 g模板分子(AOII)的水溶液加入上述溶液中.然后将反应体系的pH控制为4、温度控制在80 ℃,保持一周,最后依次用乙醇、稀盐酸和蒸馏水洗涤,自然光照条件下干燥5 d.制备的全无机型分子印迹吸附剂记为MIPs,作为参照吸附剂,合成过程中不加入模板分子制备的吸附剂记为NIPs。
2.3 吸附实验
考虑到吸附过程中AOII与BPA不会发生降解,本实验首先通过测量吸光度,经标准曲线法建立AOII吸光度和浓度之间的关系,见式(1).通过测量COD,经标准曲线法分别建立AOII浓度、BPA浓度和COD之间的关系,见式(2)及式(3).

式中,A为吸光度值,C1为AOII的浓度(mg · L-1),Y1、Y2为COD值(mg · L-1),C2为BPA的浓度(mg · L-1).
2.3.1 单一因素吸附实验
对AOII的吸附:取100 mg的MIPs(或NIPs)加入200 mL初始浓度为20 mg · L-1的AOII溶液中,于30 ℃下恒温水浴振荡,不同时间后取样,透过0.45 μm微孔滤膜后,测量其在484 nm波长下的吸光度,吸附容量根据方程(6)计算,并考察材料对AOII的吸附动力学;改变AOII溶液的初始浓度,振荡180 min,考察材料的吸附等温线;通过加入0.5 mol · L-1的H2SO4或1 mol · L-1 NaOH溶液调控pH为3~10,考察pH值对吸附过程的影响.
对BPA的吸附:向200 mL浓度为100 mg · L-1的BPA溶液中加入100 mg MIPs(或NIPs),于30 ℃下恒温水浴振荡,一定时间后取样,透过0.45 μm微孔滤膜后,测量其COD,通过式(3)计算出溶液中BPA浓度,吸附容量根据方程(6)计算.
2.3.2 选择性吸附实验
配制AOII浓度为20 mg · L-1、BPA浓度为100 mg · L-1的混合液200 mL,加入100 mg MIPs(或NIPs),于30 ℃下恒温水浴振荡,每隔一段时间取样,测定其吸光度A及总COD值Y,由于经测定BPA浓度对混合液吸光度没有影响,因此,利用AOII的吸光度及COD关系,算出其在总COD值中的贡献值Y1,再由式(4)计算出BPA的COD值Y2,由式(5)~(6)计算对AOII及BPA的吸附率,通过对比,考察材料的特异性吸附能力.

式中,Y为总COD值(mg · L-1),D为吸附率,C0与Ct分别为反应初始时与t时刻的吸附质浓度(mg · L-1),V为溶液体积(L),W为吸附剂的量(g),Qt为t时刻的吸附量(mg · g-1).
3 结果与讨论
3.1 吸附剂的表征 3.1.1 BET
吸附剂的比表面积对其活性影响较大,由智能比表面积测试仪进行测试后得到,MIPs和NIPs的比表面积分别为292.01 m2 · g-1和255.59 m2 · g-1,两者比表面积大;且与NIPs相比,MIPs的比表面积提高了14%.
3.1.2 SEM
扫描电镜能够直观形象地显示物质表面的微观特征,图像立体感强,分辨率高,为此我们将NIPs和MIPs分别做了扫描电镜分析,以观察颗粒的形貌大小.图 1为NIPs和MIPs分别放大40000倍的扫描电镜照片,可以看出NIPs和MIPs颗粒形貌差别较大,空白印迹材料NIPs(图 1a)表面较为光滑,主要为片状和层状结构;而印迹后的MIPs(图 1b)表面较粗糙,颗粒状结构明显,且能观察到类似于孔状的结构,这可能是因为印迹时模板分子AOII进入了Fe/Si/Al粒子内部形成印迹空穴.

图1 NIPs(a)和MIPs(b)扫描电镜图
3.1.3 FT-IR
利用傅里叶红外光谱仪(FT-IR)定性分析,结果如图 2a所示.从图中可以看出,MIPs和NIPs在3418 cm-1处的吸收峰对应于SiO2表面O—H基团的伸缩振动,1034 cm-1处的吸收峰归属于Si—O—Si键非对称伸缩振动的特征吸收;1640 cm-1处的吸收峰归属于Al离子掺杂后对应于Al—O—Si的振动,表明存在可通过氧原子为桥梁与SiO2结合的Al离子.

图2 吸附剂的FT-IR(a)和XRD图(b)
3.1.4 XRD
为了了解MIPs和NIPs的物相组成,我们对其进行了XRD表征,如图 2b所示.从图中可以看出,实验所制备的吸附剂,在印迹前后物相组成未发生明显改变,在2θ为26.2°、35.9°、49.4°和54.0°处出现与标准JCPDS卡中47-1144号SiO2相吻合的较强的特征峰,在2θ为24.2°、33.2°、35.7°和40.9°处出现与标准JCPDS卡中33-0664号α-Fe2O3相吻合的较强的特征峰,在2θ为21.7°、26.3°和33.7°处出现与标准JCPDS卡中31-0615号Fe2Al4Si5O18特征吻合的峰,说明实验制备的吸附剂主要含有SiO2、α-Fe2O3和Fe2Al4Si5O18.
3.2 吸附性能研究
3.2.1 pH值对吸附性能的影响
图 3为pH值对MIPs吸附AOII的影响.可见,在AOII溶液pH为3~10之间时,MIPs对AOII的吸附性能基本不变,表明目标物与结合位点之间的亲和性是吸附过程的主要驱动力.在后续实验中,统一选择pH为4的条件下进行.

图3 初始pH对MIPs吸附AOII的影响
3.2.2 MIPs和NIPs的单一因素吸附性能比较
为了验证所制备的印迹型材料的吸附效果,我们将印迹与非印迹材料对AOII的吸附进行了对比分析.图 4a为MIPs和NIPs对AOII吸附效果的比较.从图中可以看出,MIPs与NIPs对AOII的吸附量均随着时间的延长而呈现先增大后平稳的趋势.但相同时间下,MIPs的吸附量均明显高于NIPs,且20 min时MIPs对AOII的吸附量约为8.5 mg · g-1,此时已达到平衡,而NIPs对AOII的吸附在30 min才达到平衡,其饱和吸附量为4.3 mg · g-1,与NIPs相比,MIPs对AOII的饱和吸附量明显高于NIPs,约为NIPs吸附量的2倍,而且吸附更为迅速,这是因为定向的模板空穴有利于吸附更加快速地达到平衡,初步证明印迹过程有助于AOII的吸附,这与文献报道相符.本研究制备的MIPs可能具有与模板分子形态及大小相匹配的印迹空穴,而该空穴中又含有与模板分子互补的基团,即MIPs对AOII属于特异性吸附;而制备NIPs时,没有模板分子,所以其不含有与模板分子相匹配的印迹空穴,属于非特异性吸附,因此使得MIPs对AOII的吸附量远大于NIPs.
图 4b为MIPs和NIPs对BPA溶液吸附效果的比较.从图中可以看出,MIPs与NIPs对BPA的吸附量均随着时间的延长而呈现先增大后平稳的趋势,90 min时二者对BPA的吸附量分别为40.1和48.5 mg · g-1,且此时的吸附均达到平衡;此外,相同时间下,NIPs的吸附量均高于MIPs,说明印迹过程使MIPs上具有特殊的结合位点,使其不容易与模板分子以外的物质结合,相应地对BPA的吸附量则减少,这与文献报道相符.

图4 MIPs和NIPs吸附性能的比较
3.2.3 MIPs和NIPs在混合液中的选择性吸附研究
图 5为MIPs和NIPs对AOII和BPA混合液的吸附实验图.从图中可以看出,MIPs和NIPs对AOII和BPA的吸附都呈现先增大后平稳的趋势,在20 min时,吸附均达到最大.MIPs对AOII的吸附率大于对BPA的吸附率,这与上述MIPs吸附纯AOII溶液的实验结果一致,即分子印迹聚合物优先识别模板分子,且MIPs对AOII的吸附率大于NIPs,进一步说明MIPs对AOII有特殊的结合位点,对AOII具有选择性.MIPs能有效吸附AOII的主要原因在于:一是AOII模板分子具有特殊的空穴,二是MIPs上具有对AOII模板分子有较强亲和力的结合基团.而NIPs对BPA的吸附率大于AOII,且远远大于MIPs的吸附率,这是因为溶液中BPA浓度较大,所以NIPs在没有选择吸附性的情况下,则优先吸附浓度较高的BPA,但经过印迹之后的吸附剂对于BPA吸附率的减少间接印证了MIPs的选择吸附性.

图5 MIPs和NIPs对AOII和BPA的选择性吸附
3.2.4 AOII的吸附等温线和吸附动力学研究
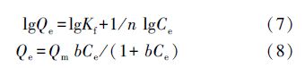
通过吸附等温线的研究,可以探明吸附剂的吸附机理.用Freundlich等温方程(7)、Langmuir等温方程(8)对吸附数据进行拟合.图 6a为不同初始浓度下对吸附AOII的研究,可以看出MIPs和NIPs对AOII的吸附量均随初始浓度的升高而显著增大,初始浓度为120 mg · L-1时,二者的吸附均达到饱和.通过对不同初始浓度下的平衡浓度的拟合,结果如图 6b和表 1所示,从实验结果(R2>0.98)可以得出MIPs和NIPs对AOII的吸附符合Langmuir吸附模型,证明所制备的吸附材料对AOII为单分子层吸附,在没有任何其他结合力的作用下,使AOII均匀地吸附在MIPs和NIPs的表面上.

式中,Qe和Ce分别为平衡态下的吸附量(mg · g-1)和质量浓度(mg · L-1),Qm和b为Langmuir常数,Kf、n为Freundlich常数.

图6 MIPs和NIPs对AOII的吸附等温线

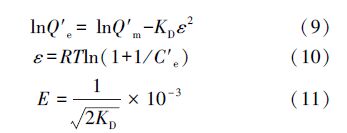
另外,Dubinin-Radushkevich(式(9)~(11))等温模型可以判别吸附过程是物理吸附还是化学吸附,由式(9)、(10)、(11)计算出MIPs和NIPs对AOII的吸附自由能分别为15.81 kJ · mol-1和11.18 kJ · mol-1,说明吸附过程以化学吸附为主.

式中,Q′e和Q′m分别是平衡态下的吸附量(mol · g-1)和D-R模型吸附容量(mol · g-1);KD是与吸附能有关的常数(mol · J-2);ε为Polanyi势能;R是摩尔气体常数,值为8.314 J · mol-1 · K-1;Ce′是吸附平衡时的溶质浓度(mol · L-1); E为吸附平均自由能(kJ · mol-1),若E<8 kJ · mol-1,则该吸附过程是物理吸附,若8 kJ · mol-1
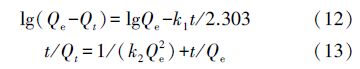
MIPs和NIPs对AOII的吸附通过拟一级动力学方程(12)和拟二级动力学方程(13)拟合.图 7和表 2为MIPs和NIPs对AOII的吸附动力学拟合参数,MIPs和NIPs对AOII的吸附更符合拟二级动力学方程(R2>0.999).拟二级吸附动力学方程是建立在整个吸附平衡时间范围内,往往能更好地揭示吸附机理.此外,对比反应速率k值(0.997>0.074)可知,MIPs对AOII的吸附反应速率远远大于NIPs.

式中,Qe为吸附剂平衡吸附量(mg · g-1),Qt为t时刻吸附剂的吸附量(mg · g-1),t为吸附时间(min),k1为一级动力学吸附速率(min-1),k2为二级动力学的吸附速率(g · mg-1 · min-1).

图7 MIPs和NIPs对AOII的吸附动力学

4 结论
以Fe/Si凝胶作为基底,引入Al3+作为Lewis酸,并以AOII(Acid Orange II)为模板分子,制备了全无机型Fe/Si/Al分子印迹型材料(MIPs).
1)由SEM图可以大致看出印迹形成的空穴,BET法测得MIPs和NIPs的比表面积分别为292.01 m2 · g-1和255.59 m2 · g-1,XRD分析得吸附剂主要含有SiO2、α-Fe2O3和Fe2Al4Si5O18,FT-IR可看到能与AOII之间有Lewis酸碱作用的Al离子.
2)对AOII进行单一因素吸附时,NIPs与MIPs平衡吸附量分别为4.3 mg · g-1、8.5 mg · g-1,MIPs对AOII的饱和吸附量约为NIPs的2倍,且吸附平衡时间短.对BPA进行单一因素吸附时,相同时间下,NIPs的吸附量均高于MIPs.
3)以MIPs与NIPs对AOII和BPA混合液进行选择性吸附时,MIPs对AOII的吸附率大于BPA,且大于NIPs对AOII的吸附率,说明MIPs对AOII的吸附有选择性.而NIPs对BPA的吸附率大于MIPs,间接证明了MIPs的选择吸附性.
4)MIPs对AOII的吸附行为符合Langmuir吸附等温线和拟二级吸附动力学方程,通过Dubinin-Radushkevich拟合证明MIPs对AOII主要为化学吸附.
