1 引言
氯苯类化合物作为农药及染料合成中间体、清洗溶剂及脱脂剂成分广泛使用.自然界微生物缺乏降解此类化合物的酶或酶系统,很难进行生物处理,微生物降解菌的筛选和降解性能研究是实现生物降解持久性有机污染物的关键.1,2,3,4-TeCB在GB 6944—2005中危险标记为14(有毒物品),是一种典型的氯苯类化合物,对人体的皮肤、上呼吸道和粘膜有刺激作用,可在人体内积累.目前四氯苯的研究主要围绕其物理特性和毒性.四氯苯的晶体结构和混合晶体结构,在水和空气之间的传质作用,沉积物和悬浮物对1,2,3,4-TeCB的吸附作用,1,2,3,4-TeCB对孕鼠肝和生殖率影响等均有广泛研究.对于低分子氯苯类化合物及首先被限制使用的六氯苯微生物降解已有一些报道.但关于TeCBs的微生物降解研究却鲜有报道.研究发现,五氯苯、六氯苯在降解过程中往往存在1,2,3,4-TeCB中间产物,这表明1,2,3,4-TeCB的降解是高氯苯化合物降解的关键步骤.本文从某氯苯试剂厂的土壤中取样,筛选出一株以1,2,3,4-TeCB作为唯一碳源的降解菌,并研究了该菌株对1,2,3,4-TeCB降解效果及降解途径,为微生物降解氯苯类物质提供实验依据.
2 材料和方法
2.1 原料与试剂
所用土样取自广东某化学试剂厂长期受四氯苯污染的土壤作为菌株分离源.
化学试剂:1,2,3,4-TeCB、丙酮、正己烷等试剂均为优级纯.培养基:常规牛肉膏蛋白胨;无机盐培养基(组分不含Cl-)均为常规配方(试剂均为分析纯)
2.2 主要实验仪器
生化培养箱;恒温水浴振荡器;超净工作台;高速离心机;COD消解仪;离子色谱仪;高效液相色谱;气相色谱-质谱联用仪.
2.3 菌种富集和分离纯化
取1 g土壤于100 mL蒸馏水 中,摇床振荡15 min,样品稀释后直接涂布在100 mg · L-1 1,2,3,4-TeCB的无机盐培养基.待长出菌落后,挑取单菌落在高浓度(250 mg · L-1)1,2,3,4-TeCB的液体培养基驯化.经过5~7 d驯化后(定期更换培养液),取1~2 mL菌液涂布于1,2,3,4-TeCB为唯一碳源的无机盐平板,30 ℃恒温培养,挑选生长较快的单菌落接种到100 mg · L-1 1,2,3,4-TeCB液体无机盐培养基中振荡培养;多次平板划线分离,获得单菌落.
2.4 菌株形态观察、生长曲线及16S rDNA序列分析
将纯化后的菌株在固体培养基上进行划线培养,待长出单个菌落后进行形态观察;对菌株进行革兰氏染色观察;用OD600处测定生长曲线.PCR产物经凝胶电泳分析检测后将PCR产物送至广州工业微生物检测中心回收并测序.
2.5 菌株对1,2,3,4-四氯苯降解效果的研究
实验所用废水为25 mg · L-1 1,2,3,4-TeCB模拟废水,pH 7.
取200 mL无机盐培养基置于500 mL锥形瓶中,经高温灭菌后,配置成25 mg · L-1的模拟废水,分别加入2%、3%、5%的菌悬液.30 ℃,110 r · min-1.接种后每天定时取样.分别测定模拟培养液中COD、Cl-浓度、1,2,3,4-TeCB浓度的影响,连续测定7 d.每组3个平行.
1)COD测定:快速消解分光光度法.
2)氯离子浓度测定:样品测定前,样品经过0.22 μm 微孔过滤膜,用离子色谱仪测定氯离子浓度.
3)1,2,3,4-TeCB浓度测定:用高效液相测定.前处理:废水经0.22 μm微孔过滤膜过滤,测定过滤液中1,2,3,4-TeCB.测定条件:TH 1015型C18酸性柱;流动相为甲醇与水按85:15体积比混合;柱温25 ℃;进样体积10 μL;双波长检测:波长为214 nm、216 nm.
2.6 降解特性分析
不同处理时间的废水经0.22 μm 微孔过滤膜过滤,吹扫捕集后,利用气相质谱联用仪(GC-MS)测定氯苯降解情况及产物分析.吹扫捕集条件:吹脱时间:11 min;吹脱温度:350 ℃;解析温度:225 ℃;解析时间:6 min;烘烤温度:235 ℃;烘烤时间:5 min.注入样品5 mL.色谱条件:检测器温度:300 ℃;进样口温度:260 ℃;柱箱温度:起始60 ℃,保持2分钟,以5 ℃ · min-1的速度升温至160 ℃,保持2 min.分流比:10 ∶ 1.
3 结果与分析
3.1 菌株生理生化特性、16S rDNA序列分析及生长曲线
以1,2,3,4-TeCB为唯一碳源富集、分离、驯化微生物,筛选出一株在固体培养基上能快速生长的菌株,命名为L-1号菌.菌落表面圆滑,不透明,呈白色或微黄色.菌株为短杆状,无鞭毛,能运动,能产生中生芽孢.菌株革兰氏染色结果为阳性菌(G+),如图 1所示.在此基础上,对L-1号菌的16SrDNA基因系列运用Basics BLAST软件分析,和Genbank比对,L-1菌ITS序列与Bacillus subtilis AF0907(枯草芽孢杆菌)和Bacillus carboniphilus JCM9731具有最高的同源性,均达到98.5%以上.结合生理生化特性,初步鉴定该菌株为枯草芽孢杆菌.为了解菌株生长特点,对L-1号菌进行生长曲线的测定,见图 2.
图1 菌株 L-1 的菌落形态和革兰氏染色
从图 2中可见该菌株在0~3 h生长较慢,5 h后迅速进入生长期,表明该菌株潜伏期较短能够快速适应生长环境,进入对数生长期.12~34 h该菌株生长减慢,进入稳定期,直到30 h后该菌株一直处于稳定期,表明该菌株生长代谢稳定期长,降解潜能较大,利于工业应用.在菌株培养了15 h后,菌的浓度能达到约108 cfu.为实验用菌提供保证.
3.2 不同接种量对反应液COD的影响
将菌株制成菌悬液(108 cfu),测定不同接种量对25 mg · L-1模拟废水COD降解效果,初步反映菌液中有机污染物的量,结果见图 3.
图3 接种量对废水COD累积降解率的影响
从图 3可见,随着时间增长,反应液COD累积降解率逐渐增大,接种浓度越大降解率越高.7 d后降解率分别达到:32.61%;53.79%;62.71%.在第1~2 d时,菌株生长处于对数期,降解效果好,反应液COD降解较快.在第3 d后水中COD累积降解率稳步增加,菌株生长趋于稳定.3~7 d COD累积降解率斜率基本一致,表明单位时间菌体的降解效率稳定.与图 2中菌株生长曲线相对应.说明L-1菌株生长代谢稳定强,能充分利用废水中的有机物.说明该菌株并不能迅速的将1,2,3,4-TeCB完全矿化.在5 d后COD降解率逐渐减缓,但能保持一定的降解效果.
3.3 不同接种量对氯离子释放量的影响
在配制模拟废水时,无机盐培养基中不含Cl-,反应液中的氯离子含量多少反映了降解过程中对1,2,3,4-TeCB的降解脱氯过程,结果见图 4.
图4 接种量对氯离子释放浓度的影响
从图 4可以看出氯离子释放浓度趋势与COD降解呈一定的相关性.在1~4 d,氯离子随菌浓度增大,氯离子释放量浓度增大.这表明菌株在1,2,3,4-TeCB降解的过程中确实有Cl-产生.且接种量越大,氯离子的释放越多.但在5 d后氯离子释放量,再次呈现快速增长,表明该菌有可能使1,2,3,4-TeCB释放多个氯离子,可能使三氯或者二氯化合物脱氯.因此氯离子浓度的变换呈现二次增长趋势.不同接种量反应液中的氯离子浓度在7 d时的含量分别为:1.852 mg · L-1,2.742 mg · L-1,4.980 mg · L-1.
3.4 不同接种量对1,2,3,4-TeCB的降解量
从图 5中可以看出,1,2,3,4-TeCB的降解量随着时间的增加而增大,呈现一定的时间-效应关系,且菌株接种量大降解率高.2%、3%、5%接种量7 d后降解量可达13.74 mg · L-1,14.91 mg · L-1,20.47 mg · L-1.第1~4 d,尽管微生物量增多,但是菌株降解速率较慢,这可能与菌株尚没有合成降解1,2,3,4-TeCB相应的酶有关.第4~6 d,1,2,3,4-TeCB的降解量逐渐加大.表明菌株逐渐适应新的胁迫环境.到7 d降解量变化不大,表明菌株生长所需有机物逐渐减少,降解效果也随着下降.该结果与COD量变化不同,菌株COD在第7 d时最高只降解62%,这表明该菌株能利用1,2,3,4-TeCB,但对1,2,3,4-TeCB的完全矿化需要一个过程,该结果正好与氯离子的二次释放相吻合.
图5 不同接种量对1,2,3,4-TeCB降解量
3.5 加标回收率与RSD和GC-MS产物分析
进一步分析L-1菌株对1,2,3,4-TeCB的降解产物的特性,样品的加标回收率见表 2.
表2 样品的加标回收率与RSD
通过对反应液GC-MS测定和分析,发现1,2,3,4-TeCB降解过程中存在:2,3,4,5-四氯-2,4-己二烯二酸(A物质)和2,3,5-三氯-2,4-二烯-1,4-内酯-己酸(B物质).图 6(a、b)分别是A、B物质的质谱图.
图6 A、B物质的相对丰度
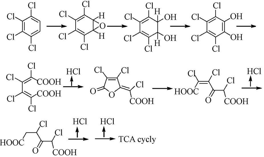
通过对废水pH的测定,反应液从pH 7降低到pH 5.3,说明最终产物中生成了酸性物质.通过对产物的分析,推测1,2,3,4-TeCB降解途径是先通过开环后脱氯的途径.通过对其降解途径分析如图 7所示.
图7 菌株L-1对1,2,3,4-TeCB的降解途径
1,2,3,4-TeCB在加氢氧化酶的作用下产生环双氧化,生成环氯代二醇,然后在脱氢酶的作用下脱去两个氢原子生成3,4,5,6-四氯邻苯二酚;再经过氧化开环生成2,3,4,5-四氯-2,4-己二烯二酸,并在相关酶的作用下发生内酯化脱去氯离子生成2,3,5-三氯-2,4-二烯-1,4-内酯-己酸,之后通过水解酶生成2,3,5-二氯-4-氧代-2-烯己二酸,这种化合物能在NADH作用下打开双键同时脱氯,形成饱和脂肪酸,最后生成琥珀酸和乙酸,最终进入TCA循环.该中间化合物大部分在反应液中检测出来,证实了该降解途径的可行性及该菌种研究的潜在价值.关于菌株L-1的其他生理生化特性及菌种鉴定值得进一步深入研究.
4 结论
1)从广东某化学试剂厂周边土壤筛选出一株能降解1,2,3,4-TeCB的菌株L-1,该菌株为短杆状,能产生芽胞的革兰氏阳性菌,经16S rDNA鉴定该菌株为枯草芽孢杆菌.
2)菌株L-1不同接种量对模拟废水(25 mg · L-1)的最佳处理效果:COD降解率达62.71%,氯离子浓度达4.980 mg · L-1;1,2,3,4-TeCB降解量高达20.47 mg · L-1.
3)废水的COD降解率随接种量增大和接种时间延长逐渐升高;1,2,3,4-TeCB降解过程中有Cl-产生,且呈现二次增长的现象;反应液中1,2,3,4-TeCB浓度随着接种时间逐渐降低,在第7 d 5%接种量处理组的降解量最大,高达20.47 mg · L-1,证实该L-1菌株能够降解1,2,3,4-TeCB,但其完全矿化过程比较复杂.
4)通过GC-MS等分析发现1,2,3,4-TeCB的降解过程中存在2,3,4,5-四氯-2,4-己二烯二酸和2,3,5-三氯-2,4-二烯-1,4-内酯-己酸两种关键物质.推测其降解过程是先开环后脱氯.














