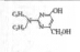
农药生产废水水质复杂、有机物浓度高、难降解有机物多,对环境造成严重威胁。甲基嘧啶磷是一种新型有机磷农药〔1〕,其氮杂环结构非常难降解〔2〕,目前关于甲基嘧啶磷生产废水处理的研究尚未见报道。电催化氧化是一种处理难降解有机废水的高级氧化技术〔3〕,其原理是在电极和催化材料作用下产生活性基团氧化水中有机物,使其分解为CO2 和H2O 等而安全排放,是一种绿色环保的处理方法。
笔者以铅合金板作为阳极,不锈钢板为阴极,采用电催化氧化法对甲基嘧啶磷生产废水及其降解机理进行研究,探讨处理过程中各工艺参数对降解效率的影响及甲基嘧啶磷的电催化氧化降解过程,以期得到一种能耗最低、效率最高的废水处理方法。
1 实验部分
1.1 实验原料
药品:甲基嘧啶磷、七水合硫酸亚铁、无水硫酸钠、硫酸亚铁铵、硫酸汞、硫酸银、硫酸、重铬酸钾、氢氧化钠、邻菲罗啉,均为分析纯。
仪器:自制电催化氧化装置;TPR1530D 型直流稳压稳流电源,香港龙威仪表有限公司;pHBJ-260 型pH 计,上海仪电科学仪器股份有限公司;WL- 600 型蠕动泵,常州普瑞流体技术有限公司;WMX- Ⅲ-A 型微波闭式消解仪,韶关广智科技设备有限公司;1100 Series LC/MSD 型高效液相色谱-质谱仪,美国Agilent 公司。
实验所用工业废水取自某农药厂,呈棕红色,有刺激性气味,pH 为6.0,COD 为98 700 mg/L。
实验所用模拟废水采用分析纯甲基嘧啶磷配制,甲基嘧啶磷为0.5 mL/L,中性,支持电解质浓度(Na2SO4)为0.1 mol/L。
1.2 实验方法
(1) 甲基嘧啶磷废水的电催化氧化降解。以铅合金板为阳极,不锈钢板为阴极,阴阳极板面积均为10 cm×10 cm,以极板间距1 cm 放置于自制聚丙烯电解槽内,接好电源和蠕动泵,组成自制电催化氧化装置。取初始COD 约98 700 mg/L 的甲基嘧啶磷废水1 700 mL,加入电催化氧化装置中进行降解。反应一定时间取样,以COD 为考察指标。
(2)甲基嘧啶磷的电催化氧化降解机理实验。以铅合金板为阳极,不锈钢板为阴极,阴阳极板面积均为6 cm×9 cm,以极板间距1 cm 放置于250 mL 烧杯内,置于磁力搅拌器上,组成自制电催化氧化装置。取200 mL 模拟废水加入到电催化氧化装置中,设定电流密度0.020 A/cm2,磁力搅拌速度200 r/min。反应一定时间取样,进行液质联用分析。
1.3 分析方法
COD 采用微波密封快速消解,硫酸亚铁铵滴定法进行测定。甲基嘧啶磷降解中间产物的检测采用液质联用法,液相色谱柱型号为Zorbax Eclipse XDB-C8,4.6 mm×150 mm,3.5 μm。流动相为V(甲醇)∶V(水)=70∶30,流速1.0 mL/min,进样量20 μL,紫外检测波长250 nm,柱温35 ℃。大气压化学电离源APCI,正离子模式,干燥器温度350 ℃,干燥气流速5 mL/min,雾化压力0.413 7 MPa。
2 结果与讨论
2.1 初始pH 对甲基嘧啶磷废水降解效果的影响
取1 700 mL 甲基嘧啶磷工业废水,固定极板间距为1 cm,电流密度为0.020 A/cm2,蠕动泵循环流量1 800 mL/min,调整初始pH 分别为3、5、7、9,在反应1 h 和3 h 时分别取样。初始pH 对甲基嘧啶磷废水中COD 去除率的影响如图 1 所示。
图 1 初始pH 对废水COD 去除率的影响
由图 1 可以看出,随着pH 的升高,COD 去除率迅速增加,但当pH 达到9 时,去除率反而下降。这可能是因为一方面铅合金阳极在pH 适中的情况下催化活性高,另一方面pH 的变化可使有机污染物在溶液中的存在形态发生变化,但当pH 过高时大量OH-会被直接氧化为O2,发生析氧副反应〔4〕,导致电流效率的降低,故pH=7 是最适宜选择。
取1 700 mL 甲基嘧啶磷工业废水,固定初始 pH 为7,极板间距为1 cm,蠕动泵循环流量1 800 mL/min,电流密度分别选择0.012、0.016、0.020、 0.024 A/cm2,在反应1、3 h 时分别取样。电流密度对甲基嘧啶磷废水COD 去除率的影响见图 2。
图 2 电流密度对废水COD 去除率的影响
由图 2可知,随着电流密度的增加,COD 去除率逐步增大,电流密度为0.024 A/cm2 时电解3 h,COD 去除率可达60.0%。这主要是因为电流密度的增加使得电极的催化活性增大,加快了电化学反应速度。当电流密度由0.020 A/cm2 增大到0.024 A/cm2 时, COD 去除率增加幅度已不明显,这可能是因为随着电流密度的增加析氧副反应加剧,热量损失增加,导致电解效率降低〔5〕。从降解效果及经济方面考虑 0.020 A/cm2 为较适宜的电流密度。
2.3 反应时间对甲基嘧啶磷废水降解效果的影响
取1 700 mL 甲基嘧啶磷工业废水,固定初始 pH 为7,极板间距为1 cm,蠕动泵循环流量1 800 mL/min,电流密度0.020 A/cm2,反应4 h,每隔1 h 取样。反应时间对甲基嘧啶磷废水COD 去除率的影响如表 1 所示。
由表 1 可知,反应1 h 时COD 去除率就已达到51.42%,这可能是由于废水中存在一些易降解物质在电催化条件下被迅速矿化。但反应1~3 h 时COD 去除率增长非常缓慢,3~4 h 时去除率又有所增加,可能是反应1 h 后废水中残留一些难降解物质,反应3 h 后才开始逐渐降解。且1 h 后的废水仍呈棕红色,随时间延长颜色逐渐变淡,反应终止后水样近无色。因此确定难降解物质的组成,对于突破反应1~3 h 时的瓶颈,提高含嘧啶环类有机磷农药的电催化氧化处理效率具有至关重要的意义。
2.4 电催化氧化下甲基嘧啶磷的降解机理
2.4.1 电催化氧化下甲基嘧啶磷的中间产物
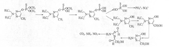
按1.2(2)方法,采用HPLC-MS 检测甲基嘧啶磷降解的中间产物,中间产物的结构式见表 2。
|
时间 /min |
0 |
30 |
150 | |||||||||||||||||||||||||||||||||||||||||||||||||||||||||||
|
结构式 |
|
|
|
|
|
|
|
|
|
|
| |||||||||||||||||||||||||||||||||||||||||||||||||||
|
相对分子质量 |
305 |
305 |
291 |
277 |
181 |
197 |
141 |
305 |
277 |
197 |
157 |
|||||||||||||||||||||||||||||||||||||||||||||||||||
2.4.2 降解机理分析
根据HPLC-MS 检测到的中间产物,笔者对甲基嘧啶磷的电催化氧化降解机理作出以下的推断:
甲基嘧啶磷的先期降解都是围绕着嘧啶环的支链进行,开环产物在150 min 的样品中被检测到,开环后到矿化中间产物未检出,有理由认为嘧啶环非常稳定。嘧啶环的稳定性及开环产物的难矿化,有可能就是电催化氧化处理甲基嘧啶磷废水时存在一个降解缓慢期的重要原因。这与以往的文献报道基本一致〔2〕。另有文献认为甲基嘧啶磷的N-乙基基团最容易氧化〔6〕,而笔者发现O,O-二甲基硫代磷酰基在电催化过程中先于N-乙基反应,因此含氮杂环化合物的电催化氧化降解机理值得进一步研究。。
3 结论
以铅合金板为阳极,不锈钢板为阴极,对甲基嘧啶磷废水进行电催化氧化降解。初始pH 为7、电流密度为0.020 A/cm2、反应时间4 h 时,COD 去除率近 70%。同时提出了甲基嘧啶磷电催化氧化降解的完整途径。














