[拼音]:diancuihua
[外文]:electrocatalysis
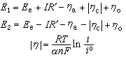
选用合适的电极材料,以加速电极反应的作用。所选用的电极材料在通电过程中具有催化剂的作用,从而改变电极反应速率或反应方向,而其本身并不发生质的变化。电极上施加的过电位也能影响反应速率,因此衡量电催化作用的大小,必需用平衡电位Ee时的电极反应速率,常称为交换电流密度i0。电解池和原电池的电位分别为E1和E2:
式中ηa和ηc分别为阳极和阴极的电活化过电位;I为电流;R′为电阻;n为电极反应的电子转移数;R为气体常数;T为热力学温度;F为法拉第常数;α为阴极反应的传递系数;ηc为其他过电位。显然,交换电流密度愈大,则电活化过电位愈小,有利于反应的进行。
不同的金属电极对释氢反应的过电位有非常明显的差异,在1Μ硫酸介质中,从钯(i0=10安/米2)到汞(i0=10-8.3安/米2),这么大数量级的变动,就足以反映出电极材料对反应速率的影响。
电催化作用覆盖着电极反应和催化作用两个方面,因此电催化剂必需同时具有这两种功能:
(1)能导电和比较自由地传递电子;
(2)能对底物进行有效的催化活化作用。能导电的材料并不都具有对底物的活化作用,反之亦然。因此,设计电催化剂的可行办法是修饰电极。将活性组分以某种共价键或化学吸附的形式结合在能导电的基底电极上,可达到既能传递电子,又能活化底物的双重目的。当然,除了考虑电极的宏观传质因素外,还有一个修饰分子和基底电极的相互作用问题,这种相互作用有待进一步研究。
目前对能源利用、燃料电池和某些化学反应(如丙烯腈二聚、分子氧还原)的电催化作用研究得较深入,今后在开拓精细有机合成方面可能会得到较大的进展,特别是对那些与电子得失有关的氧化还原反应。