¡¡¡¡1 ÒýÑÔ
¡¡¡¡¸õÊÇ»·¾³ÎÛȾµÄÖ÷ÒªÓж¾½ðÊôÖ®Ò»(¹ÈÔÂϼµÈ£¬2009).΢Á¿µÄCr3+ÊÇÈËÌåËù±ØÐèµÄ£¬µ«¹ýÁ¿ÉãÈë¼´»á¶ÔÈËÌå²úÉúΣº¦£¬²¢ÓÐÖ°©×÷ÓÃ(ÄôÄþµÈ£¬2013; ÍõÁÖ£¬2011;ÕÅÓ¢µÈ£¬2012).¶øÈç½ñÒ±½ð¡¢»¯¹¤¡¢µç¶ÆµÈ¶à¸öÐÐҵÿÌì¶¼ÅÅ·Å×Å´óÁ¿µÄº¬¸õ·ÏË®£¬ÕâÖÖÖØ½ðÊô·ÏË®ºÜÄѱ»Î¢ÉúÎï½µ½â(ÕÅ»ÝÁéµÈ£¬2006).Ŀǰº¬¸õ·ÏË®µÄ´¦Àí·½·¨³£²ÉÓû¹ÔÖк͡¢Àë×Ó½»»»·¨¡¢¸õËá±µ³ÁµíÒÔ¼°»îÐÔÌ¿Îü¸½µÈ·½·¨(ÕÅ»ÀìõµÈ£¬2013)£¬½üÄêÀ´¶ÔÓÚÁù¼Û¸õµÄ´¦ÀíÑо¿½Ï¶à(Ñî»Û·ÒµÈ£¬2010)£¬¶ø¶ÔÓÚÈ¥³ýÈý¼Û¸õµÄÑо¿½ÏÉÙ.Èý¼Û¸õµÄ¶¾ÐÔËäÈ»±ÈÁù¼Û¸õС£¬µ«ÊÇÆäÔÚ×ÔÈ»½çÖпÉÏòÁù¼Û¸õת»¯(ËåÑÞÃ÷µÈ£¬2009)£¬¶øÇÒ»·¾³ÖеĽºÌå¶ÔÈý¼Û¸õÓÐÇ¿ÁÒµÄÎü¸½×÷Óã¬Òò¶ø¸õ¿ÉÒÔ´ÓË®ÖнøÈëÍÁÈÀ(ÁõÈÙÏ㣬2012; лÏþ·ïºÍÍõ¾©¸Õ£¬2002).·ÀÖ¹·ÏË®Öеĸõ½øÒ»²½¶ÔÍÁÈÀ²úÉúÎÛȾ£¬Í¬Ê±Áù¼Û¸õÒ×±»»¹Ô³ÉÈý¼Û¸õ(Ö£ÀñʤµÈ£¬1997)£¬Ñо¿Èý¼Û¸õµÄÈ¥³ýÒâÒåÖØ´ó.
¡¡¡¡·Ûú»ÒÊÇ»ðÁ¦·¢µçµÄ¹ÌÌå·ÏÆúÎͨ³£Ã¿ÏûºÄ4 tú£¬¾Í»á²úÉú1 t·Ûú»Ò.·Ûú»Ò²úÁ¿ÔÚÖðÄêÔö¼Ó£¬2011Ä꣬Öйú·Ûú»Ò²úÁ¿Îª4.98ÒÚt£¬ 2013£¬Öйú·Ûú»Ò²úÁ¿¼´´ïµ½ÁË5.32ÒÚt.´óÁ¿µÄ·Ûú»Ò²»¼Ó´¦Àí£¬¾Í»á²úÉúÑï³¾£¬ÎÛȾ´óÆø£¬ÈôÅÅÈëˮϵ»áÔì³ÉºÓÁ÷ÓÙÈû(Moutsatsou et al., 2006; Lee et al., 2001)£¬¶øÆäÖеÄÓж¾»¯Ñ§ÎïÖÊ»¹»á¶ÔÈËÌåºÍÉúÎïÔì³ÉΣº¦(Musyoka et al., 2012; Izidoro et al., 2013; Abdel Rahman et al., 2009).Òò´Ë£¬·Ûú»Ò×ÊÔ´»¯ÀûÓÃÔ½À´Ô½ÒýÆðÈËÃǵÄÖØÊÓ.ÆäÖзÛú»ÒºÏ³É·ÐʯÊÇÒ»¸ö·Ç³£ºÃµÄ;¾¶£¬½üÄêÀ´¹úÄÚÍâÐí¶àÑо¿ÕßÕ¹¿ªÁËÓ÷Ûú»ÒºÏ³É·Ðʯ´¦Àí·ÏË®µÄÑо¿£¬Ñо¿·¢ÏֺϳɵķÐʯÖ÷Òª½á¹¹Îª¹èÂÁËÄÃæÌå(ÎâµÂÒâµÈ£¬2005;¶ÅÀèÃ÷£¬2006)£¬¾ßÓÐÈýÎ¬Íø¼Ü½á¹¹¡¢¶þάͨµÀ£¬Óкܶà¿É½»»»µÄK+£¬Na+£¬Ca2+ºÍMg2+£¬¾ßÓкÜÇ¿µÄÀë×Ó½»»»ÄÜÁ¦£¬Òò´ËÔÚË®´¦ÀíÖоßÓй㷺µÄÓ¦ÓÃ(¹ùÓÀÁúµÈ£¬2003; ÍõÑæÐµȣ¬2003).
¡¡¡¡·Ûú»ÒºÏ³É·ÐʯµÄºÏ³É·½·¨Ò²ÊǹúÄÚÍâÑо¿µÄÖØÒªÄÚÈÝ£¬¸ù¾Ý¹úÄÚÍâÎÄÏ×±¨µÀ£¬ÀûÓ÷Ûú»ÒºÏ³É·Ðʯ·½·¨¿É¹éÄÉΪÈçϼ¸ÖÖ£ºÔλˮÈÈ·´Ó¦·¨(Wang et al., 2008)¡¢¼îÈÚ-Ë®ÈÈ·´Ó¦·¨(Shigemato et al., 1993)¡¢Á½²½·´Ó¦·¨(Tanaka et al., 2004)¡¢Î¢²¨¸¨Öú·¨(Tanaka et al., 2008).ÔλˮÈÈ·¨ÊÇÀûÓ÷Ûú»Ò(FA)Ö±½ÓÓë¼îÈÜÒº·´Ó¦ºÏ³É·Ðʯ;¼îÈÛ-Ë®ÈÈ·´Ó¦·¨ÊÇÏȽ«·Ûú»ÒÓë¼î»îÐÔ¼Á(ÈçNaOHµÈ)ÔÚ550¡«900 ¡æÎ¶ÈÏ·´Ó¦1hºó£¬µÃ¼îÈÚ·Ûú»ÒÊìÁÏ£¬È»ºóÔÙÀûÓÃË®ÈÈ·¨ºÏ³É·Ðʯ;Á½²½·´Ó¦·¨ÊÇÏȽ«·Ûú»ÒÓë¼îÈÜÒºÔÚÒ»¶¨Î¶ÈÏ·´Ó¦Èܽâ³öÆäÖеĹèÈÜÒººó£¬ÔÙÓÃËùµÃ¹èÈÜÒº×÷ΪºÏ³É·ÐʯµÄ¹èÔ´ºÏ³É·Ðʯ;΢²¨¸¨Öú·¨ÊÇÔÚ·Ûú»ÒÓë¼îÒº·´Ó¦Ê±£¬²ÉÓÃ΢²¨¸¨Öú·½·¨¼ÓËÙ·´Ó¦¹ý³Ì.×ۺϺϳɷÐʯµÄ·±Ëö³Ì¶ÈºÍºÏ³É·ÐʯÐÔÄÜ£¬±¾ÎIJÉÓüîÈÛ-Ë®ÈÈ·¨ºÏ³É·Ðʯ£¬²¢Ñо¿Á˺ϳɷÐʯ¶ÔÈý¼Û¸õµÄÎü¸½¹ý³Ì¼°Ó°ÏìÒòËØ.
¡¡¡¡2 ²ÄÁÏÓë·½·¨
¡¡¡¡2.1 ²ÄÁÏÖÆ±¸
¡¡¡¡2.1.1 ·Ûú»Ò¼°·ÐÊ¯ÖÆ±¸
¡¡¡¡±¾ÎIJÉÓõķÛú»ÒÈ¡×ÔºÓ±±Ä³Ò»µç³§.·Ûú»ÒºÏ³É·ÐʯµÄÖÆ±¸·½·¨²ÉÓüîÈÛ-Ë®ÈÈ·¨£¬¾ßÌåÈçÏ£º·Ûú»ÒºÍNaOHµÄ±ÈÀýΪ1 ¡Ã 1.2£¬³ÆÈ¡18 g·Ûú»Ò£¬21.6 g NaOH·ÅÈëÛáÛöÖлìºÏ¾ùÔÈ£¬Ö®ºó·ÅÈëÂí¸¥Â¯ÖУ¬600 ¡æÏÂÈÛÈÚ3 h£¬È¡³öºó·ÛËéÓëË®»ìºÏ£¬±ÈÀýΪ17.25%£¬»ìºÏºóÖÃÓÚÈý¿ÚÉÕÆ¿ÖÐÔÙ·ÅÈëºãÎÂˮԡ¹øÓÚ80 ¡æÏ½Á°è2 h£¬È¡³öºó·ÅÈë·´Ó¦¸ªÖУ¬·ÅÈëºæÏäÖнᾧ9 h£¬È¡³öÇåÏ´ÖÁpH 7¡«9×óÓÒ£¬È»ºóÖÃÓÚ±íÃæÃóÄÚ·ÅÈëºæÏäÄÚÖ±ÖÁ¸ÉÔïΪֹ£¬ºæ¸ÉºóÓÃÑв§Ä¥Ëé¹ý100Ŀɸ±¸ÓÃ.
¡¡¡¡2.1.2 ·Ûú»Ò¼°ÆäºÏ³É·ÐʯµÄ±íÕ÷
¡¡¡¡¶Ô·Ûú»Ò¼°ÆäºÏ³É·Ðʯ½øÐÐÁËXRD¡¢SEM¡¢±È±íÃæ»ý¼°Æä³É·Ö·ÖÎö£¬·ÖÎö·½·¨¾ßÌåÈçÏÂ.
¡¡¡¡1)XÉäÏßÑÜÉä(XRD)·ÖÎö£ºXRD·ÖÎöµÄÕû¸ö¹ý³ÌÊÇ»ñÈ¡´ý²âÎïÖʵķÛÄ©ÉäÏßͼ£¬²â¶¨ÑÜÉäÏßËù¶ÔÓ¦µÄ¾§Ãæ¼ä¾àdºÍÏà¶ÔÇ¿¶ÈI/I0£¬È»ºó²éË÷Òý£¬ºË¶Ô¿¨Æ¬.±¾ÊµÑé²ÉÓÃXRD£¬¼¼Êõ²ÎÊýΪCu°ÐK¦ÁÑÜÉ䣬ɨÃèËÙÂÊ0.02%£¬Á¬ÐøÉ¨Ã跽ʽ.Óë±ê×¼Æ×ͼ¶ÔÕÕ£¬È·¶¨¸÷¾§Ïà×é³É¼°¿óÎﶨÐԳɷÖ.ËùÓÃÒÇÆ÷ΪÈÕ±¾µÄRikaku D/max-RB(Rikaku).
¡¡¡¡2)SEM·ÖÎö£º·Ûú»Ò¼°ÆäºÏ³É·ÐʯµÄ±íÃæÐÎ̬ÓÉɨÃèµç×ÓÏÔ΢¾µ(SEM)²â¶¨£¬ÑùÆ·ÔÚ1000¡«10000±¶Ï¹۲â.ÒÇÆ÷ÐͺÅΪÈÕ±¾µÄS-3000N(Hitachi).
¡¡¡¡3)³É·Ö·ÖÎö£º·Ûú»Ò¼°ºÏ³É·ÐʯµÄ»¯Ñ§³É·Ö²ÉÓ÷ÉÀûÆÖPW2404 XÉäÏßÓ«¹â¹âÆ×ÒDzⶨ£¬¸ù¾ÝGB/T14506.28-93¹èËáÑÎÑÒʯ»¯Ñ§·ÖÎö·½·¨XÉäÏßÓ«¹â¹âÆ×·¨²â¶¨Ö÷¡¢´ÎÔªËØÁ¿.
¡¡¡¡4)±È±íÃæ»ý(SSA)£º²ÉÓñȱíÃæ·ÖÎöÒÇÔÚ77 KÏÂͨ¹ýµªÎü¸½ÊµÑé²â¶¨£¬ÔÚÎü¸½ÊµÑéǰ£¬Ô¼3 g µÄ·Ûú»ÒºÍ0.1 g µÄºÏ³É·ÐʯÔÚ200 ¡æÕæ¿Õ״̬ÏÂÍÑÆø2 h.Îü¸½ÊµÑé½á¹ûͨ¹ýBET¹«Ê½¼ÆËãµÃµ½±È±íÃæ»ý.ËùÓÃÒÇÆ÷ÐͺÅΪÃÀ¹ú¿µËþ¹«Ë¾µÄQuadraSorb SI.
¡¡¡¡2.2 Îü¸½ÊµÑé
¡¡¡¡ËùÓÐʵÑé¶¼ÔÚ200 mL×¶ÐÎÆ¿¡¢ºãÎÂÕñµ´ÅàÑøÏä180 r ¡¤ min-1ϽøÐУ¬·´Ó¦ÈÜÒºÌå»ýΪ100 mL.
¡¡¡¡2.2.1 Cr3+ÈÜÒºÖÆ±¸
¡¡¡¡È¡Ò»¶¨Á¿µÄ·ÖÎö´¿CrCl3 ¡¤ 6H2O(¹úÒ©¼¯ÍÅ»¯Ñ§ÊÔ¼ÁÓÐÏÞ¹«Ë¾)£¬ÓÃÕôÁóË®ÖÆ±¸Cr3+´¢±¸Òº£¬Å¨¶ÈΪ1000 mg ¡¤ L-1£¬ÔÙÓô¢±¸ÈÜÒºÅäÖÆ²»Í¬Å¨¶ÈµÄCr3+ÈÜÒº.
¡¡¡¡2.2.2 ºÏ³É·ÐʯÎü¸½Cr3+ÐÔÄÜÑо¿
¡¡¡¡1)½Ó´¥Ê±¼äµÄÓ°Ï죺Cr3+Ũ¶ÈΪ800 mg ¡¤ L-1£¬Î¶ÈΪ25 ¡æ£¬Îü¸½¼ÁͶ¼ÓÁ¿Îª5 g ¡¤ L-1£¬Õñµ´Ê±¼ä¹²¼Æ360 min£¬²»Í¬Ê±¼ä¶Î·Ö±ðÈ¡ÑùÀëÐÄÈ¥³ý¹ÌÌåÎü¸½¼Á.
¡¡¡¡2)pHÖµµÄÓ°Ï죺Cr3+Ũ¶ÈΪ800 mg ¡¤ L-1£¬Î¶ÈΪ25 ¡æ£¬Îü¸½¼ÁͶ¼ÓÁ¿Îª5 g ¡¤ L-1£¬½Á°èʱ¼ä¸ù¾ÝÉÏÃæÊÔÑé½á¹ûÈ·¶¨Îª100 min£¬³õʼÈÜÒºpHֵΪ£º2.0¡«12.0£¬¼´ÔÚCr3+ÈÜÒºÓëºÏ³É·Ðʯ»ìºÏ֮ǰ£¬µ÷½ÚCr3+ÈÜÒºµÄpH£¬ÓÃ1 mol ¡¤ L-1µÄHCl»òNaOH½«·´Ó¦ÈÜÒºµ÷µ½É趨µÄpHÖµ£¬pHÖµ²ÉÓÃpH¼Æ(E-201-C-9)²â¶¨£¬µ÷½ÚºÃpHºóÔÙ½«Cr3+ÈÜÒºÓë·Ûú»ÒºÏ³É·Ðʯ»ìºÏÕñµ´.
¡¡¡¡3)·Ûú»ÒºÏ³É·ÐʯͶ¼ÓÁ¿µÄÓ°Ï죺Cr3+Ũ¶ÈΪ800 mg ¡¤ L-1£¬Î¶ÈΪ25 ¡æ£¬pHÖµ¸ù¾ÝÉÏÃæÊÔÑé½á¹ûÈ·¶¨Îª6.5£¬½Á°èʱ¼äΪ100 min£¬Îü¸½¼ÁͶ¼ÓÁ¿Îª1¡«20 g ¡¤ L-1.
¡¡¡¡4)Cr3+³õʼŨ¶ÈµÄÓ°Ï죺ζÈΪ25 ¡æ£¬pHֵΪ6.5£¬½Á°èʱ¼äΪ100 min£¬Îü¸½¼ÁͶ¼ÓÁ¿¸ù¾ÝÉÏÃæÊµÑé½á¹ûÈ·¶¨Îª5 g ¡¤ L-1£¬Cr3+Ũ¶È10¡«1000 mg ¡¤ L-1.
¡¡¡¡5)Îü¸½µÈÎÂÏߣºÎü¸½µÈÎÂÏßÔÚ25 ¡æ¡¢35 ¡æ¡¢45 ¡æÏ½øÐÐÑо¿£¬Cr3+ÈÜҺŨ¶ÈΪ10¡«1000 mg ¡¤ L-1.pHΪ6.5£¬½Á°èʱ¼äΪ100 min£¬Îü¸½¼ÁͶ¼ÓÁ¿¸ù¾ÝÉÏÃæÊÔÑé½á¹ûÈ·¶¨Îª5 g ¡¤ L-1.
¡¡¡¡6)·ÐʯÔÙÉúʵÑ飺½«Îü¸½±¥ºÍµÄ·ÐʯÔÚ60 ¡æÏºæ¸É.ÖÆ±¸1 mol ¡¤ L-1µÄNaClÈÜÒº£¬È¡25 mLµÄNaClÈÜÒº£¬Óë2 gºæ¸É¹ÌÌå»ìºÏ£¬»ìºÏÕðµ´100 min£¬ÀëÐÄÊÕ¼¯ÉÏÇåÒº£¬ÔÙ½«25 mLµÄNaClÈÜÒºÓë¹ÌÌå»ìºÏ£¬Õñµ´¡¢ÀëÐÄ¡¢ÊÕ¼¯ÉÏÇåÒº£¬Öظ´3´Î.½«¹ÌÌåÔÚ60 ¡æÏºæ¸É.
¡¡¡¡ÔÙÓÃÔÙÉú·Ðʯȥ³ýCr3+£¬Cr3+Ũ¶ÈΪ800 mg ¡¤ L-1£¬ÔÙÉú·ÐʯͶ¼ÓÁ¿·Ö±ðΪ1¡¢2¡¢3¡¢4¡¢5¡¢10¡¢20 g ¡¤ L-1.pHֵΪ6.5£¬½Á°èʱ¼äΪ100 min.
¡¡¡¡7)ÑùÆ··ÖÎö£ºÉÏÊöÎü¸½ÊµÑéÎü¸½Æ½ºâºóÈ¡Ñù¿ìËÙÀëÐĺóÈ¥³ý¹ÌÌåÎü¸½¼Á£¬ÀûÓÃ0.45 ¦Ìm´×ËáÏËάĤ¹ýÂËË®Ñù£¬¹ýÂËÒºÖÐCr3+Ũ¶È´ý²â.Cr3+Ũ¶È²ÉÓõç¸ÐñîºÏµÈÀë×ÓÌåÖÊÆ×ÒÇ(ICP-OES£¬Plasma Quad 3£¬Ó¢¹úVG¹«Ë¾)²â¶¨.È»ºó°´ÏÂÁй«Ê½¼ÆËãÈ¥³ýÂʺÍÎü¸½Á¿£º
¡¡¡¡
¡¡¡¡Ê½ÖУ¬C0ºÍCe·Ö±ð±íʾCr3+³õʼŨ¶ÈºÍÎü¸½Æ½ºâŨ¶È(mg ¡¤ L-1)£¬WΪÎü¸½¼ÁͶ¼ÓÁ¿(mg ¡¤ g-1).
¡¡¡¡3 ½á¹ûÓë·ÖÎö
¡¡¡¡3.1 ºÏ³É·ÐʯµÄ±íÕ÷
¡¡¡¡·Ûú»Ò¼°ÆäºÏ³É·Ðʯ»¯Ñ§×é³ÉÈç±í 1Ëùʾ.±í 1½á¹û±íÃ÷£¬²Î¿¼ÃÀ¹ú¡¶·Ûú»Ò¡¢ÉÕ½á»òÌìÈ»µÄ»ðɽ»Ò×÷Ϊ»ìÄýÍÁ¿óÎï²ôºÏÁϵıê×¼¡·ASTM C618£¬±¾ÎIJÉÓõķÛú»ÒµÄSiO2+Al2O3+Fe2O3<70%£¬ÊôClass C¼¶.Óë·Ûú»ÒÏà±È£¬ºÏ³É·ÐʯÖи÷»¯Ñ§³É·Öº¬Á¿ÂÔÓнµµÍ£¬µ«Na2OµÄº¬Á¿´ó·ùÔö¼Ó£¬Õâ¿ÉÄÜÊÇÓÉÓںϳɷÐʯ¹ý³ÌÖмî»îÐÔ¼Á²ÉÓõÄÊÇNaOH£¬Na+×÷Ϊ¿É½»»»Àë×ÓÁôÔÚÁ˺ϳɷÐʯÖÐ.
±í1 ·Ûú»Ò¼°ÆäºÏ³É·Ðʯ»¯Ñ§×é³É(wt)
¡¡¡¡Èçͼ 1Ëùʾ£¬·Ûú»ÒµÄÖ÷Òª³É·ÖΪʯӢ¡¢CaO¡¢³àÌú¿óºÍʯ¸à.ºÏ³É·ÐʯµÄÖ÷Òª³É·ÖΪÎÞÃû·Ðʯ£¬·Ö×ÓʽΪNa6[AlSiO4]6 ¡¤ 4H2O£¬Æä´ÎΪ̼ËáÄÆ.
ͼ1 ·Ûú»Ò¼°ÆäºÏ³É·ÐʯµÄXRDͼÆ×
¡¡¡¡·Ûú»Ò¼°ÆäºÏ³É·ÐʯµÄ±íÃæÐÎòÀûÓÃɨÃèµç×ÓÏÔ΢¾µ½øÐзÖÎö£¬½á¹ûÈçͼ 2Ëùʾ.ͼÖнá¹û±íÃ÷·Ûú»Ò±íÃæ¹â»¬£¬ÓÉÔ²ÇòÐεÄС¿ÅÁ£×é³É(ͼ 2a)£¬¶ø×ª±ä³É·Ðʯºó£¬±íÃæ±äµÃ´Ö²Ú£¬²¢°éÓÐÒ»¶¨µÄ½á¾§Ìå½á¹¹²ú³ö(ͼ 2b).
ͼ2 ·Ûú»Ò¼°ÆäºÏ³É·ÐʯɨÃèµç¾µ
¡¡¡¡¾·ÖÎö£¬·Ûú»ÒµÄ±È±íÃæ»ýΪ0.0677 m2 ¡¤ g-1£¬¶ø·Ûú»ÒºÏ³É·ÐʯµÄ±È±íÃæ»ýÔö¼Óµ½8.360 m2 ¡¤ g-1£¬Õâ±íÃ÷·Ûú»ÒºÏ³É·Ðʯºó£¬±È±íÃæ»ý´ó´óÔö¼Ó.
¡¡¡¡3.2 pHÖµµÄÓ°Ïì
¡¡¡¡pHÖµÊÇÓ°ÏìÎü¸½ÊÔÑéµÄÖØÒªÒòËØ.ºÏ³É·Ðʯȥ³ýCr3+ËæpHÖµµÄ±ä»¯Èçͼ 3Ëùʾ.ÓÉͼ 3¿ÉÖª£¬pHֵΪ2.0ʱ£¬È¥³ýÂÊ´ï63.14%£¬Ëæ×ÅpHÖµµÄÉý¸ß£¬È¥³ýÂÊÒ²ËæÖ®Ôö´ó£¬µ±pHֵΪ6.0ʱ£¬È¥³ýÂÊ´ïµ½66.30%£¬´ËºóÔö³¤½ÏΪ»ºÂý£¬µ±pHÖµ´ïµ½12.0ʱ£¬È¥³ýÂÊΪ66.5%.ÕâÊÇÓÉÓÚµ±pHÖµ½ÏµÍʱ£¬ÈÜÒºÖдæÔÚ´óÁ¿µÄH+£¬ÓëCr3+ÐγɾºÕùÐÔÎü¸½£¬´Ó¶øÊ¹ºÏ³É·Ðʯ¶ÔCr3+È¥³ýÂʽµµÍ.µ«pH 2.0ʱµÄCr3+È¥³ýÂÊÖ»±ÈpH ֵΪ6.0ʱµÄÈ¥³ýÂʵÍÁË3.16%£¬Õâ±íÃ÷H+ÓëCr3+¾ºÕùÎü¸½µÄÄÜÁ¦½ÏÈõ.µ±pHÖµÉý¸ß£¬ÈÜÒº´ïµ½¼îÐÔ»·¾³Ê±£¬ÈÜÒºÖеÄOH-ÓÖÒ×ÓëCr3+½áºÏÐγÉCr(OH)3³Áµí£¬´Ëʱ£¬²»½öÓкϳɷÐʯ¶ÔCr3+µÄÎü¸½£¬»¹ÓÐÇâÑõ»¯ÎïµÄ³Áµí×÷Ó㬶øÇÒ·ÐʯµÄ³Á½µÐÔ¼ÓËÙÁËÕâÖÖ³Áµí£¬Òò´Ë£¬ÔÚpHÖµ½Ï¸ßʱ£¬Cr3+µÄÈ¥³ýÂʽϴó.µ«ÊÇ´ÓʵÑéµÄʵ¼ÊÇé¿ö¹Û²ì£¬ÔÚpHÖµ´Ó2.0Éýµ½12.0µÄ¹ý³ÌÖУ¬È¥³ýÂÊÔö¼Ó²»´ó£¬ËµÃ÷pHÖµ¶Ô·Ûú»ÒºÏ³É·Ðʯȥ³ýCr3+µÄÓ°Ïì²»´ó.¶øÇÒ£¬Ëæ×ÅpHÖµµÄÔö´ó£¬ºÏ³É·ÐʯµÄ³Á½µÐÔ±ä²î.×ۺϿ¼ÂÇÈ¥³ýÂʺͳÁ½µÐ§¹û£¬ÔË®µÄpHÖµÔÚ2.0¡«12.0¶¼¿ÉÖ±½Ó½øÐд¦Àí£¬²»ÐèÒªµ÷½ÚpHÖµ£¬¼´²»¿¼ÂÇpHÖµ¶ÔºÏ³É·Ðʯ³ý¸õЧ¹ûµÄÓ°Ïì.
ͼ3 pHÖµ¶Ô·Ûú»ÒºÏ³É·Ðʯ³ýCr3+Ч¹ûµÄÓ°Ïì(Cr3+³õʼŨ¶ÈΪ800 mg ¡¤ L-1; ·ÐʯͶ¼ÓÁ¿Îª5 g ¡¤ L-1; Îü¸½Ê±¼äΪ100 min£¬Î¶ÈΪ25 ¡æ)
¡¡¡¡3.3 ·ÐʯͶ¼ÓÁ¿µÄÓ°Ïì
¡¡¡¡Cr3+È¥³ýÂʺÍÎü¸½Á¿Ëæ·ÐʯͶ¼ÓÁ¿µÄ±ä»¯Èçͼ 4Ëùʾ.ÓÉͼ 4¿ÉÒÔ¿´³ö£¬Ëæ×ÅͶ¼ÓÁ¿µÄÔö¼Ó£¬È¥³ýÂÊҲѸËÙÉý¸ß£¬¶øÎü¸½Á¿ËæÖ®¼õС.µ±Í¶¼ÓÁ¿´ïµ½5 g ¡¤ L-1ʱ£¬È¥³ýÂÊ´ïµ½65.18%£¬´ËºóCr3+È¥³ýÂÊËæ·ÐʯͶ¼ÓÁ¿µÄÔö¼Ó¶ø»ºÂýÔö¼Ó£¬Cr3+Îü¸½Á¿Ëæ·ÐʯͶ¼ÓÁ¿µÄÔö¼Ó¶ø»ºÂý½µµÍ£¬×îºóµ±Í¶¼ÓÁ¿Ôö¼Óµ½20 g ¡¤ L-1ʱ£¬È¥³ýÂÊÎȶ¨ÔÚ68.19%£¬Cr3+Îü¸½Á¿½µµÍµ½27.37 mg ¡¤ g-1.»ùÓÚ¿¼ÂǽÚÔ¼·ÐʯÓÃÁ¿£¬Í¬Ê±ÓÖ±£Ö¤Cr3+µÄÈ¥³ýЧ¹û£¬±¾ÎĺóÃæµÄʵÑé²ÉÓõÄͶ¼ÓÁ¿Îª5 g ¡¤ L-1.
ͼ4 Ͷ¼ÓÁ¿¶Ô·Ûú»ÒºÏ³É·Ðʯȥ³ýCr3+Ч¹ûµÄÓ°Ïì(Cr3+³õʼŨ¶ÈΪ800 mg ¡¤ L-1; pHΪ6.5; Îü¸½Ê±¼äΪ100min£¬Î¶ÈΪ25 ¡æ)
¡¡¡¡3.4 ³õʼŨ¶ÈµÄÓ°Ïì
¡¡¡¡Cr3+ÈÜÒºµÄ³õʼŨ¶È¶ÔºÏ³É·Ðʯȥ³ýCr3+µÄÓ°ÏìÈçͼ 5Ëùʾ.ÈçͼËùʾ£¬Ëæ×ÅCr3+Ũ¶ÈµÄÔö¼Ó£¬È¥³ýÂʽµµÍ£¬Cr3+Ũ¶È´Ó0Ôö¼Óµ½200 mg ¡¤ L-1֮ǰʱ£¬È¥³ýÂʽµµÍ±È½Ï»ºÂý£¬È¥³ýÂʾùÔÚ95%ÒÔÉÏ£¬ÔÚŨ¶ÈÔö¼Óµ½200 mg ¡¤ L-1ʱ¼±¾çϽµÖÁ90.66%.´ËºóµÄϽµÓÖÖð½¥Ç÷»º£¬Å¨¶ÈΪ600 mg ¡¤ L-1ʱ£¬È¥³ýÂÊϽµÖÁ78.47%£¬´ËºóµÄ½µµÍËٶȼӿ죬ֱÖÁCr3+Ũ¶È´ïµ½1000 mg ¡¤ L-1ʱ£¬È¥³ýÂʽµÖÁ50.52%.È»¶ø£¬µ¥Î»·ÐʯµÄCr3+Îü¸½Á¿ËæCr3+Ũ¶ÈµÄÔö¼Ó¶øÔö¼Ó£¬Õâ˵Ã÷Cr3+Ũ¶ÈÔ½¸ß·ÐʯÉÏÎü¸½Î»µÄÀûÓÃÂÊÔ½´ó£¬ÔÚ800 mg ¡¤ L-1ʱµ¥Î»Îü¸½Á¿´ïµ½×î´óΪ107.5 mg ¡¤ g-1.
ͼ5 ³õʼŨ¶È¶Ô³ýCr3+Ч¹ûµÄÓ°Ïì(Ͷ¼ÓÁ¿Îª5 g ¡¤ L-1; pHΪ6.5; Îü¸½Ê±¼äΪ100 min£¬Î¶ÈΪ25 ¡æ)
¡¡¡¡3.5 ½Ó´¥Ê±¼äºÍÎü¸½¶¯Á¦Ñ§
¡¡¡¡ºÏ³É·Ðʯȥ³ýCr3+Ëæ½Ó´¥Ê±¼äµÄ±ä»¯Èçͼ 6Ëùʾ.ͼ 6½á¹ûÏÔʾ£¬ºÏ³É·Ðʯ¶ÔCr3+µÄÎü¸½ÄÜÁ¦½ÏΪѸËÙ£¬ËæÕñµ´Ê±¼äÔö³¤£¬Cr3+µÄÈ¥³ýÂÊÉý¸ß£¬½Ó´¥Ê±¼äΪ60 minʱ£¬È¥³ýÂÊ´ïµ½66.15%£¬´ËºóËæ×Åʱ¼äµÄÔö¼Ó£¬Cr3+È¥³ýÂʵÄÔö¼Ó¿ªÊ¼±äµÃ»ºÂý£¬µ±Õñµ´Ê±¼ä´ïµ½100 minʱ£¬È¥³ýÂÊÎȶ¨ÔÚ66.39%.±¾ÎĺóÃæµÄʵÑéʱ¼ä½Ó´¥È·¶¨Îª100 min.
ͼ6 ½Ó´¥Ê±¼ä¶Ô·Ûú»ÒºÏ³É·Ðʯȥ³ýCr3+Ч¹ûµÄÓ°Ïì(Cr3+³õʼŨ¶ÈΪ800 mg ¡¤ L-1; Ͷ¼ÓÁ¿Îª5 g ¡¤ L-1; pHΪ6.5£»Î¶ÈΪ25 ¡æ)
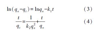
¡¡¡¡ÁíÒ»·½Ã棬ΪÁË·ÖÎöCr3+ÔÚ·Ûú»ÒºÏ³É·ÐʯÉϵÄÎü¸½¹ý³Ì£¬±¾ÎIJÉÓÃÒ»¼¶·´Ó¦¶¯Á¦Ñ§£¬¶þ¼¶·´Ó¦¶¯Á¦Ñ§Ä£ÐÍ·ÖÎöÒÔÉÏÒÔ½Ó´¥Ê±¼äΪ¿ØÖƱäÁ¿µÄʵÑéÊý¾Ý.Ò»¼¶·´Ó¦¶¯Á¦Ñ§ºÍ¶þ¼¶·´Ó¦¶¯Á¦Ñ§Ä£Ð͹«Ê½ÈçÏ£º
¡¡¡¡
¡¡¡¡ÆäÖУ¬qeºÍqt·Ö±ðΪÎü¸½Æ½ºâʱºÍÎü¸½tʱºóµÄÎü¸½Á¿.k1(min-1)ºÍk2(g ¡¤ mg-1 ¡¤ min-1)·Ö±ðΪһ¼¶ºÍ¶þ¼¶¶¯Á¦Ñ§Ä£Ð͵ÄËÙÂÊϵÊý.
¡¡¡¡ÀûÓÃÒ»¼¶·´Ó¦¶¯Á¦Ñ§ºÍ¶þ¼¶·´Ó¦¶¯Á¦Ñ§¶ÔÉÏÊöʵÑéÊý¾Ý½øÐÐÏßÐÔÄâºÏ£¬×öln(qe-qt)ºÍt ¼°t/qe ¶ÔtµÄÇúÏߣ¬¶¯Á¦Ñ§²ÎÊýÓÉËù»æÖÆÇúÏßµÄбÂÊºÍ½Ø¾à¼ÆËã¶øµÃ. ±í 2Öнá¹û±íÃ÷¶þ¼¶¶¯Á¦Ñ§Ä£Ð͵ÄÄâºÏϵÊý(R2=0.9999)¸ßÓÚÒ»¼¶¶¯Á¦Ñ§µÄÄâºÏϵÊý(R2=0.7299).Òò´Ë£¬¶þ¼¶¶¯Á¦Ñ§Ä£ÐͶԷÛú»ÒºÏ³É·ÐʯCr3+Îü¸½¹ý³Ì¾ßÓнϺõĽâÊÍЧ¹û.Óɶþ¼¶¶¯Á¦Ñ§Ä£ÐÍÔ¤²âµÃµ½µÄƽºâʱÎü¸½Á¿qeֵΪ106.4 mg ¡¤ g-1.ËùµÃËÙÂʳ£Êýk2Ϊ0.0103 g ¡¤ mg-1 ¡¤ min-1.
±í2 Ò»¼¶¶¯Á¦Ñ§Ä£ÐͺͶþ¼¶¶¯Á¦Ñ§Ä£ÐͲÎÊý
¡¡¡¡3.7 Îü¸½µÈÎÂÏß
¡¡¡¡Îü¸½µÈÎÂÏß¶ÔÓÚ½ÒʾÎü¸½¼ÁºÍÎü¸½ÖÊÖ®¼äµÄÎü¸½»úÀí¾ßÓÐÖØÒª×÷Ó㬶ÔÓÚ·Ûú»ÒºÏ³É·Ðʯ¶ÔCr3+Îü¸½¹ý³Ì£¬±¾ÎIJÉÓÃLangmuirºÍFreundlichµÈÎÂÏßÄ£ÐÍÃèÊöÎü¸½¹ý³Ì.LangmuirµÈÎÂÏßÄ£ÐÍÈçÏÂËùʾ£º
¡¡¡¡
¡¡¡¡Ê½ÖУ¬b´ú±íÎü¸½Æ½ºâϵÊý(L ¡¤ mg-1)£¬ËüÓëÎü¸½µÄ×ÔÓÉÄÜÓйØÏµ.QmÊÇ×î´óµ¥²ãÎü¸½Á¿.qeÊÇÆ½ºâŨ¶ÈΪCe(mg ¡¤ L-1)ʱµÄµ¥Î»ÖÊÁ¿Îü¸½¼ÁµÄÎü¸½Á¿(mg ¡¤ g-1).
¡¡¡¡ÁíÒ»ÖÖFreundlichµÈÎÂʽ£¬Ò²ÊÇÒ»ÖÖ³£¼ûµÄÐÎʽ£¬Æä±ê×¼ÐÎʽΪ:
¡¡¡¡
¡¡¡¡Ê½ÖУ¬KfºÍnÊÇFreundlichµÈÎÂÏß²ÎÊý£¬·Ö±ð´ú±íÏà¶ÔÎü¸½ÄÜÁ¦ºÍÎü¸½Ç¿¶È.CeºÍqeͬLangmuirÎü¸½µÈÎÂÏßÄ£ÐÍ.nfΪ0.1¡«1ʱΪÓÐÀûÎü¸½.
¡¡¡¡Á½¸öµÈÎÂʽÖÐqeµÄ¼ÆËã²ÉÓÃ
¡¡¡¡
¡¡¡¡Ê½ÖУ¬C0¡¢C1·Ö±ðΪÔË®ºÍÎü¸½Æ½ºâʱµÄÖÊÁ¿Å¨¶È(mg ¡¤ L-1);VΪÔË®Ìå»ý(L);mΪÎü¸½¼Á·ÐʯµÄÖÊÁ¿(g).
¡¡¡¡¶ÔÔÚ²»Í¬Î¶Èϵõ½µÄÎü¸½ÊµÑéÊý¾ÝÀûÓÃLangmuir·½³Ì½øÐзÇÏßÐÔÄâºÏ£¬ÄâºÏÇúÏßÈçͼ 7Ëùʾ£¬ËùµÃLangmuirµÈÎÂÏßϵÊýÁÐÓÚ±í 3ÖÐ.LangmuirµÈÎÂÏßÄâºÏËùµÃ¿É¾öϵÊý½Ï¸ß£¬ÔÚ25 ¡æ¡¢35 ¡æºÍ45 ¡æ·Ö±ðΪ0.9756£¬0.9755£¬0.9756£¬±íÃ÷ʵÑéÖµÓëµÈÎÂÏßÄâºÏÖµ¾ßÓнϸߵÄÎǺÏÐÔ.bΪ0.0457¡«0.0987£¬ÔÚ0¡«1Ö®¼ä£¬Õâ±íÃ÷Ò»¹ý³ÌÊôÓÚÓÐÀûµÄÎü¸½¹ý³Ì£¬¼´ÓÐÀûÓÚ·Ûú»ÒºÏ³É·Ðʯ¶ÔCr3+µÄÈ¥³ý£¬ËùµÃ×î´óÎü¸½Á¿QmΪ109.443-111.655 mg ¡¤ g-1.
ͼ7 ·Ûú»ÒºÏ³É·Ðʯ³ýCr3+Îü¸½µÈÎÂÏß·ÇÏßÐÔÄâºÏ(pH=6.5£¬Îü¸½Ê±¼ä=100 min£¬·ÐʯͶ¼ÓÁ¿Îª5 g ¡¤ L-1)
¡¡¡¡ÏßÄâºÏÖµ¾ßÓнϸߵÄÎǺÏÐÔ.bΪ0.0457¡«0.0987£¬ÔÚ0¡«1Ö®¼ä£¬Õâ±íÃ÷Ò»¹ý³ÌÊôÓÚÓÐÀûµÄÎü¸½¹ý³Ì£¬¼´ÓÐÀûÓÚ·Ûú»ÒºÏ³É·Ðʯ¶ÔCr3+µÄÈ¥³ý£¬ËùµÃ×î´óÎü¸½Á¿QmΪ109.443-111.655 mg ¡¤ g-1.
¡¡¡¡FreundlichµÈÎÂÏß·ÇÏßÐÔÄâºÏ½á¹û¼ûͼ 7ºÍ±í 3Ëùʾ£¬¼ÆËãµÃµ½µÄKf Ϊ22.97¡«29.01£¬nfΪ3.75¡«4.20.ÄâºÏÎü¸½Ïà¹ØÏµÊýΪ0.9016¡«0.9127£¬µÍÓÚLangmuirµÈÎÂÏßÄâºÏϵÊý£¬Õâ±íÃ÷LangmuirµÈÎÂÏßÄ£ÐͽÏΪÊʺϷÛú»ÒºÏ³É·Ðʯȥ³ýCr3+ʵÑéÊý¾ÝµÄÄâºÏ.
¡¡¡¡±¾ÎÄ×÷ÕßÒ²¶ÔÒÑ·¢±íÎÄÏ×Öи÷ÖÖ·Ðʯ³ýCr3+ÄÜÁ¦×öÁ˱Ƚϣ¬½á¹ûÈç±í 4Ëùʾ.ÓÉÓÚ²»Í¬µÄʵÑéÉ趨µÄÌõ¼þ²»Ò»Ñù£¬Òò´ËÄÑÒԱȽÏÄÄÖÖ·Ðʯ³ýCr3+ÄÜÁ¦Ç¿.µ«ÊÇÈÔÈ»¿ÉÒÔ¿´³ö£¬±¾Ñо¿ÖеķÛú»ÒºÏ³É·ÐʯµÄ³ýCr3+ÄÜÁ¦»¹ÊǺÜÇ¿µÄ.ͬʱ£¬×÷ΪÓɹÌÌå·ÏÆúÎï·Ûú»ÒÖÆµÃµÄÎü¸½¼Á£¬ÊÇÒ×µÃÇÒ»·±£µÄ£¬¿ÉÒÔ×÷ΪһÖÖÓÐЧµÄÎü¸½¼ÁÓÃÓÚÖØ½ðÊôCr3+µÄÈ¥³ý.
±í4 ¸÷ÖÖÌìÈ»ºÍºÏ³É·Ðʯ³ýCr3+ÄÜÁ¦±È½Ï
¡¡¡¡3.8 Îü¸½ÈÈÁ¦Ñ§
¡¡¡¡¸ù¾ÝLangmuirÎü¸½µÈÎÂÏß¼ÆËãµÃµ½µÄÎü¸½²ÎÊýb£¬¼ÆËãÈÈÁ¦Ñ§²ÎÊý£¬¼´ìʱä(¦¤H)£¬ìرä(¦¤S)ºÍ¼ª²¼Ë¹×ÔÓÉÄܱä(¦¤G)£¬¼ÆË㹫ʽÈçÏ£º
¡¡¡¡
¡¡¡¡¼ÆËã½á¹ûÁÐÓÚ±í 5ÖÐ.¼ÆËãµÃµ½µÄ¼ª²¼Ë¹×ÔÓÉÄܱä(¦¤G)ÔÚ25 ¡æ£¬35 ¡æºÍ45 ¡æÏ·ֱðΪ6.23 kJ ¡¤ mol-1£¬5.71 kJ ¡¤ mol-1ºÍ5.19 kJ ¡¤ mol-1.¼ª²¼Ë¹×ÔÓÉÄÜΪÕýÖµ±íÃ÷Cr3+ÔÚ·Ûú»ÒºÏ³É·ÐʯÉϵÄÎü¸½ÊDz»×Ô·¢µÄ¹ý³Ì.¾Ý±¨µÀ£¬Èç¹û¦¤GÔÚ-400¡«80 kJ ¡¤ mol-1Ö®¼ä£¬ËµÃ÷Îü¸½ÒÔ»¯Ñ§Îü¸½ÎªÖ÷£¬ÕâÒ²Ó¡Ö¤Á˱¾ÎÄÖзÛú»ÒºÏ³É·ÐʯÎü¸½Cr3+Ö÷ÒªÊÇͨ¹ýÀë×Ó½»»»À´ÊµÏÖµÄ(ÒòΪÀë×Ó½»»»¹ý³ÌÊôÓÚ»¯Ñ§·´Ó¦).
±í5 ·Ûú»ÒºÏ³É·Ðʯ³ýCr3+Îü¸½ÈÈÁ¦Ñ§²ÎÊý
¡¡¡¡¼ÆËãËùµÃìʱä(¦¤H)Ϊ21.75 kJ ¡¤ mol-1£¬Õâ±íÃ÷·Ûú»ÒºÏ³É·ÐʯCr3+Îü¸½¹ý³ÌΪÎüÈÈ·´Ó¦.¼ÆËãËùµÃìØ±äΪ¦¤S=52.08 J ¡¤ mol-1 ¡¤ K-1£¬ÎªÕýÖµ£¬Õâ±íÃ÷¹ÌÒº½çÃæµÄËæ»úÐÔÔö¼Ó.ζÈÉý¸ßCr3+Îü¸½ÄÜÁ¦Ôö¼ÓÖ÷ÒªÊÇÓÉÓÚCr3+À©É¢ËÙÂʵÄÔö¼Ó£¬À©É¢ÊÇÎüÈȹý³Ì(Niu et al., 2012).
¡¡¡¡3.9 ÔÙÉú·Ðʯ³ýCr3+ÐÔÄÜÑо¿
¡¡¡¡±¾ÎÄÀûÓÃNaCl¶Ô·Ðʯ½øÐÐÔÙÉú£¬ÔÙÉúºó¶ÔÀëÐÄ·ÖÀëËùµÃµÄNaClÈÜÒºÖеÄCr3+Ũ¶È½øÐвⶨ£¬ÀûÓù«Ê½(10)¼ÆËãCr3+µÄ½âÎöÂÊ£º
¡¡¡¡
¡¡¡¡Ê½ÖУ¬CMΪ½âÎüºóNaClÈÜÒºÖÐCr3+µÄŨ¶È(mg ¡¤ L-1);VÊÇNaClÈÜÒºÌå»ý(L);qeΪÎü¸½ÈÝÁ¿;W ΪÎü¸½¼ÁµÄÖÊÁ¿(g).¼ÆËãµÃ³öCr3+µÄ½âÎöÂÊΪ75.19%£¬±íÃ÷ÔÙÉúºóµÄºÏ³É·ÐʯÖÐÈÔÈ»º¬ÓÐCr3+.
¡¡¡¡ÀûÓÃÔÙÉú·Ðʯȥ³ýCr3+(Ũ¶ÈΪ800 mg ¡¤ L-1)£¬È¥³ýЧ¹ûÓëÔ·Ðʯ½øÐбȽϣ¬Èç±í 6Ëùʾ.Óɱí 6
±í6 ÔÙÉú·Ðʯ¶ÔCr3+µÄÈ¥³ýЧ¹û(Cr3+³õʼŨ¶È=800 mg ¡¤ L-1£¬pH=6.5£¬Îü¸½Ê±¼ä=100 min)
¡¡¡¡¿ÉÒÔ¿´³ö£¬ÓëÔ·ÐʯµÄ³ýCr3+Ч¹ûÏà±È£¬ÔÙÉú·Ðʯ¶ÔÈý¼Û¸õµÄÈ¥³ýÂÊÓÐËùϽµ£¬µ«Ï½µ·ù¶È²¢²»ÊǺܴó£¬ÔÚ9%µ½14%Ö®¼ä£¬¿ÉÒÔ¶þ´ÎÀûÓÃ.
¡¡¡¡4 ½áÂÛ
¡¡¡¡·Ûú»ÒºÏ³É·Ðʯ¶Ô·ÏË®ÖеÄCr3+ÓнϺõÄÎü¸½Ð§¹û£¬Îü¸½¹ý³Ì·ûºÏ¶þ¼¶¶¯Á¦Ñ§Ä£ÐÍ£¬ÇÒ·ûºÏLangmuirÎü¸½µÈÎÂÏß.ÔÚCr3+Ũ¶ÈΪ800 mg ¡¤ L-1£¬·ÐʯͶ¼ÓÁ¿5 g ¡¤ L-1£¬25 ¡æÎü¸½100 minµÄÌõ¼þÏ£¬ºÏ³É·Ðʯ¶ÔCr3+µÄÈ¥³ýЧ¹û½ÏºÃ£¬È¥³ýÂÊΪ66%.pHÔÚ2.0¡«12.0Ö®¼ä£¬ºÏ³É·Ðʯ¶ÔCr3+¶¼¾ßÓнϸߵÄÈ¥³ýÂÊ£¬Õâ±íÃ÷Ô·ÏË®µÄpHÔÚ´¦Àí֮ǰ»ù±¾²»Óõ÷½Ú.¶øÇÒÔÙÉúʵÑé±íÃ÷£¬ÔÙÉú·ÐʯҲ¾ßÓнϸߵÄCr3+È¥³ýÄÜÁ¦£¬¿É»ØÊÕÔÙÀûÓÃ.ÒÔÉϽá¹û¶¼±íÃ÷±¾ÎÄÀûÓüîÈÛÈÚ·¨ºÏ³ÉµÄ·ÐʯÔÚ³ýCr3+·½Ãæ¾ßÓнϴóµÄÓ¦ÓÃDZÁ¦.Õâ²»½öÈ¥³ýÁËË®ÌåÖеÄÎÛȾÎͬʱҲʵÏÖÁË·Ûú»ÒµÄ×ÊÔ´»¯ÀûÓÃ.














