随着印染工业的发展,染料废水日渐成为危害生态环境和人体健康的因素。如何高效经济地处理染料废水成为了社会当前研究的重点。目前有很多方法被用来除去废水中的染料,而吸附因其操作简便,价格低廉,效果明显等优势得到了广泛的应用。近年来,越来越多的学者开始研究碳纳米管的吸附性能。研究结果表明,碳纳米管对水中重金属离子、卤代有机物、多环芳烃等污染物均具有较高的吸附性能。A.K.Mishra等研究了碳纳米管对不同偶氮染料的吸附性能,发现对金黄和刚果红都有良好的吸附效果,其吸附量分别达到了141、148mg/g。YunjinYao等研究了碳纳米管对甲基橙的吸附性能,研究结果表明其对甲基橙的最大吸附量仅为51.74mg/g,其性能远远没有达到实际应用的要求。笔者通过对碳纳米管进行改性,显著提高了其吸附性能,并探讨了pH、吸附剂的量、时间、温度对吸附性能的影响。此外,通过动力学与热力学模拟研究了改性碳纳米管对甲基橙的吸附机理。
1材料与方法
1.1实验仪器与试剂
仪器:紫外-可见分光光度计(UV-2550,日本岛津);集热式恒温磁力搅拌器(DF-101S,河南省予华仪器公司)。试剂:羧基碳纳米管(CNT/COOH)(中国科学院成都有机化学有限公司);聚乙烯亚胺(PEI);甲基橙(MO)(阿拉丁试剂公司)。
1.2改性碳纳米管的制备
取9.6g聚乙烯亚胺(PEI)于烧杯中,加入10mL去离子水搅拌均一,取黑色羧基碳纳米管粉末(CNT/COOH)2.4g缓慢加入上述溶液中,持续搅拌2h。然后将其在100℃下干燥10h,得到的产物用去离子水洗涤,抽滤,烘干。最后,干燥的产物研磨过0.064mm(250目)筛,留待备用。
1.3吸附试验
取0.002g样品于25mL的比色管中,加入20mL一定浓度的甲基橙溶液,25℃下搅拌2h后,离心取上清液。用紫外-可见分光光度计在463nm处测定吸附后甲基橙溶液的浓度。
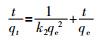
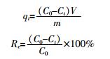
吸附量和去除率按照下列公式计算:
式中:qt——样品对甲基橙的吸附量,mg/g;
C0——甲基橙溶液的初始质量浓度,mg/L;
Ct——吸附后甲基橙溶液的质量浓度,mg/L;
V——加入溶液的体积,mL;
M——加入吸附剂的质量,g;
Re——去除率,%。
2结果与分析
2.1pH对吸附性能的影响
pH是影响吸附过程的重要因素,其影响吸附剂表面的电荷分布情况。pH测试实验过程如下:取0.002g吸附剂加入到20mL、80mg/L的甲基橙溶液中,在25℃下搅拌2h后,取样,离心,测定浓度,计算吸附量。不同pH下甲基橙的吸附量如图1所示。
由图1可见,在pH=3.93时吸附达到了最大吸附量777.83mg/g。
甲基橙作为一种酸碱指示剂在不同酸度下会发生颜色的变化,其变色范围是pH<3.1时变红,3.1~4.4时呈橙色,pH>4.4时变黄。甲基橙在中性或是碱性中是以磺酸钠盐的形式存在,而在酸性条件下转化为磺酸,这样酸性的磺酸基与分子内的碱性二甲氨基形成对醌结构,由于甲基橙分子结构的改变使得其紫外最大吸收波长有可能发生变化。通过研究不同pH下的紫外光谱曲线发现在pH低于3.93时甲基橙的最大吸收波长发生了变化,这就使得实验过程中必须选择合适的酸碱度。因此结合图1吸附实验的pH,最终范围控制在3.93~10.83。综上所述,最终确定了实验的最适pH为3.93。
2.2吸附剂的量对吸附性能的影响
分别取0.001、0.002、0.003、0.004、0.005g吸附剂加入到20mL、80mg/L的甲基橙溶液中,调节溶液的pH为3.93。在25℃,一定转速下搅拌2h,取样,离心,测定浓度并计算吸附量和去除率,结果如图2所示。
由图2可见,随着吸附剂量的增加,吸附剂的单位吸附量逐渐下降,这是由于吸附剂上未被利用的空余吸附位点增加。可以明显地看出随着吸附剂量的增加,吸附效率明显增大,在吸附剂量为0.002g时,去除率已经达到了93.5%,吸附剂量继续增加,去除率不再发生明显的变化。这是由于在静止状态下,吸附效果与吸附剂和溶液的接触面积有关。随着吸附剂量的增加,导致溶液中有效接触面积减小,因此在吸附剂达到一定量后,对甲基橙的吸附不再发生明显的变化。
2.3吸附动力学研究
取0.01g吸附剂加入100mL的甲基橙溶液中,调节溶液的pH为3.93。在25℃,一定速度下搅拌,按照一定间隔时间进行取样,离心,测定浓度并计算吸附量qt,作qt-t曲线,结果如图3所示。
由图3可见,随吸附时间的延长,吸附量逐渐增大,在大约180min时吸附量不再发生明显的变化,表明吸附达到平衡,此时吸附容量达到了851.47mg/g,而未改性的CNT/COOH在相同条件下其最大吸附量仅为466.6mg/g。
为了更好地研究时间对吸附的影响,对所有数据进行了两种动力学模拟,两种动力学模型可以有效地解释吸附速率和潜在的速率控制阶段。对所有数据分别进行假一阶和假二阶动力学模型线性拟合,分别如图4(a)、图4(b)所示。
假一阶动力学模型和假二阶动力学模型的计算过程如下。
假一阶动力学模型:
假二阶动力学模型:
式中:qe——吸附平衡时的吸附量,mg/g;
qt——时间t时的吸附量,mg/g;
t——吸附时间,min;
k1——假一阶动力学模型的速率常数,min-1;
k2——假二阶动力学模型的速率常数,mg/(g•min)。
假一阶、假二阶动力学模型参数如表1所示。
由表1可见,假一阶动力学方程的决定系数R2为0.9297,但是计算的理论吸附量要远远小于实际的吸附量。对于假二阶动力学模型其决定系数R2达到了0.9999,理论计算的吸附量与实测851.47mg/g非常接近。因此假二阶动力学模型可以更好地解释PEI-CNT/COOH对甲基橙的吸附。由此表明改性碳纳米管对甲基橙的吸附过程可能受速率控制。
2.4吸附等温线
吸附等温线是吸附过程设计的重要依据,用来描述吸附剂和吸附质之间的平衡关系、亲和力及吸附剂的吸附能力。研究吸附平衡时主要进行了Langmuir、Freundlich和Temkin的研究,结果分别为图5(a)、图5(b)、图5(c)所示。
Langmuir、Freundlich和Temkin的方程式如下:
Langmuir模型:
Freundlich模型:
Temkin模型:
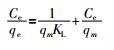
式中:Ce——吸附平衡时的质量浓度,mg/L;
qe——吸附平衡时的吸附量,mg/g;
qM——Langmuir理论最大吸附量,mg/g;
KL——Langmuir模型方程常数,L/mg;
KF——Freundlich模型方程常数,L•mg-1;
KT、Bl——Temkin模型方程常数,L/mg、J/mol。
对吸附数据进行线性拟合,计算结果如表2所示。
由表2可见,Langmuir等温方程线性拟合相关系数(R2)远远大于其他两种等温吸附方程,这说明PEI-CNT/COOH对甲基橙的吸附更符合Langmuir等温吸附模型,单分子层的均匀吸附在吸附过程中起到主导作用〔4〕。在25、40、55℃下,实际最大吸附量分别为1218.8、1173.0、1111.6mg/g,其值与理论值相差甚小,进一步证实PEI-CNT/COOH对甲基橙的吸附符合Langmuir模型。
2.5吸附热力学研究
研究温度对吸附过程的影响能够为吸附过程中能量的改变和吸附机理提供有效信息。笔者通过热力学计算研究了吸附机理。吉布斯自由能ΔG0,标准焓变ΔH0,标准熵变ΔS0通过下列公式计算得出:
式中:R——热力学常数,8.314kJ/mol;
K——平衡常数;
T——绝对温度,K;
Ce——吸附平衡时甲基橙溶液质量浓度,mg/L;
Ca——甲基橙初始质量浓度与吸附平衡质量浓度之差,mg/L。
热力学参数计算结果如表3所示。
通过计算热力学数据得出整个吸附过程是一个自发放热过程。ΔG0的数值在3个温度下均小于化学吸附40kJ/mol,且在物理吸附-40~0kJ/mol范围内〔5〕。熵变ΔS0为负值说明甲基橙在PEI-CNT/COOH的吸附过程降低了固液表面的混乱度。标准焓变和标准吉布斯自由能均能说明PEI-CNT/COOH对甲基橙的吸附行为更符合物理吸附。。
3结论
(1)实验证实聚乙烯亚胺改性的碳纳米管对甲基橙的吸附性能大大提高,在25℃下最大吸附量达到了1218.8mg/g,远远高于先前未改性羧基碳纳米管对甲基橙的吸附(466.6mg/g)。
(2)PEI-CNT/COOH对甲基橙的吸附符合Langmuir等温吸附方程和假二阶动力学方程,符合一种单分子层吸附过程,且吸附过程受速率控制。
(3)通过计算热力学数据说明吸附过程是一个自发放热过程,且吉布斯自由能数值较小,说明吸附是一种物理吸附行为。
(4)所有实验结果证实通过对碳纳米管改性可以大大提高其吸附性能,这对以后碳纳米管的研究具有重要的意义。














