1.污染物的化学结构,其结构越复杂,溶解度越低,阻碍微生物菌群,因此对降解过程有拮抗作用。
2.污水的成分,污染物的浓度和质量对污泥的活性组成有很大的影响,而盐度的增加也减少了活性污泥的营养摄入。
3.菌群,其对污染物质的降解非常重要,必须在反应池中存在。
4.微观环境, 如PH值,温度,氧化还原电位等对生物菌群的活性也有影响。
但是通过现代生物技术的应用中这些污染物也能被非常有效地降解,在实际运用中以下因素应充分考虑到:
1.存在一定量的特殊活性的微生物
2.有效和稳定的生物降解所需要的微观环境,其参数可通过实验确定,一般来说生物降解可在好氧、缺氧和厌氧的环境下进行。
3.生物反应池
4.对相关生物菌群的容纳和保护,防止其的流失。有些微生物菌群的繁殖速度慢,容易被污水带出反应器,从而导致生化反应过程不稳定。有废水需要处理的单位,也可以到污水宝项目服务平台咨询具备类似污水处理经验的企业。
LEVAPOR生物膜工艺
通过将微生物菌群固定在有吸附能力和孔隙的LEVAPOR®悬浮填料上,一些特殊生物菌群在反应池中的容纳和保护难题就迎刃而解,在悬浮填料上形成的高效生物膜能有效拮抗抑制剂并使生化降解稳定进行。其作用的有效性已通过大量基于好氧,缺氧或厌氧环境的工程实例得到证明。
![]() |
![]() |
| 横截面 LEVAPOR®悬浮填料 厌氧细菌在其表面繁殖 | |
因为 LEVAPOR®悬浮填料的高吸附率和孔隙度,其对含难降解物质的污水的处理基于以下机理:
1.有毒抑制物质被吸附在悬浮填料表面,从而其对液相的抑制作用显著降低
2.微生物菌群能在生物膜上更快地繁殖生长,从而
- 在生物膜上的菌群对毒性物质的抵抗力显著增强
- 对吸附在悬浮填料上的污染物有极佳的降解效果
- 对污水的处理效果更佳
- LEVAPOR®悬浮填料的生物再生能力强
好氧环境中的生物降解
在好氧环境下对高浓度的毒性2-氯苯胺(2-CA)的生物降解做了研究,其浓度为1000 mg/l, 相当于7.8 mM。
在一个反应池中悬浮的微生物被2-氯苯胺抑制。而在投入LEVAPOR®悬浮填料的另一个反应池中,2-氯苯胺被吸附到填料表面,其在污水中的浓度2个小时内降低到3.2 mM。通过研究证明10天内包括附着在悬浮填料上的部分所有2-氯苯胺被完全降解,以释放的氯离子的浓度来表示,结果见下图。
![]() |
| 1000 mg/l 2-氯苯胺(2-CA)通过活性污泥法和LEVAPOR的 生物膜法的生物降解对比试验 |
类似的结果也在被高浓度氯酚(三氯酚,四氯酚,五氯酚)污染的地下水的处理中得到证明。当氯酚在LEVAPOR生物膜反应器中被完全降解时,其在悬浮污泥中的降解率却相当低,具体的对比见以下图表。
![]() |
| 高浓度氯酚在好氧环境中在LEVAPOR生物膜反应器活性污泥法反应池中的生物降解对比结果 |
厌氧环境中的生物降解
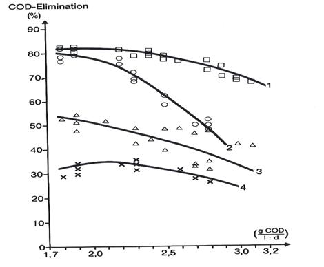
在好氧环境中因为会产生一些有毒的中间体,因此用传统的活性污泥法在好氧环境下处理一些复杂的有机污水,结果差强人意。对纸浆厂的漂白废水,其中有含氯的有毒污染物,如果在好氧环境下COD的去除率只有35-40%。相反如果在如果在厌氧环境下使用LEVAPOR®悬浮填料,COD的去除率能达到65-70%,难降解物质的转化率能达到45-60%。剩余的COD能在后一阶段的好氧环境下继续加以去除。
![]() |
| 纸浆厂漂白污水在不同填料上的厌氧处理 1. LEVAPOR®,2.活性碳,3. 聚氨酯泡沫体,4. 悬浮污泥 |
类似的结果也能在处理其他难降解物质中得到证实。例如对2-氯苯甲酸(2-CBA)的生物降解做了研究,当使用没有改性过的聚氨酯泡沫和烧结玻璃时,降解率比较低,当把LEVAPOR®悬浮填料放入厌氧反应池中,几天以后就开始明显产生甲烷气体,18-20天后整个生物降解过程结束。
![]() |
| 厌氧环境中不同的填料对2-氯苯甲酸的降解效果的研究 |
LEVAPOR®悬浮填料处理工业废水所采用的工艺类型
在大多数情况下使用流化床反应器或称移动床生物膜反应器(MBBR),其作为主反应器。在反应池中投加12 -15 % 体积比的 LEVAPOR® 悬浮填料。因为悬浮填料的密度很小,已建设施的曝氧装置足以使填料在反应池中充分流化起来,因此对已建设施的改扩建异常方便。在底部曝气的反应池中只需安装充足的滤网或格栅就能防止填料的流失。
![]() |
| 在流化床反应器中的LEVAPOR® 悬浮填料 |
![]() |
| 流化床反应器的基本流程 |
生物滤床可作为后处理反应池。在生物滤床中含有60-70%体积比的
LEVAPOR® 悬浮填料,可采用向上流或向下流的方式。该工艺尤其适合于已做过生化预处理的污水的深度处理,废水的污染物和悬浮颗粒的浓度比较低。因为其浓度低,所以水力停留时间短,这就意味着反应池的容积较小。如果注入合适的生物菌种后该工艺特别适合于去除微量的污染物质。以下表格显示了使用生物滤床工艺的污染物去除率。
|
|
| 生物滤床反应器的基本流程图 |
|
|
进水 |
出水 |
LEVAPOR-生物滤池 | |
|
出水-LVP |
去除率 | |||
|
mg/l |
mg/l |
mg/l |
% | |
|
指标 |
市政污水项目 | |||
|
COD (mg/L) |
215- 480 |
42 - 65 |
17- 32 |
50 - 60 |
|
氨氮 (mg/L) |
43- 56 |
14- 32 |
0.5-7.0 |
78 - 96 |
|
萘 |
0.19 |
0.17 |
0.01 |
94 |
|
菲 |
0.16 |
0.03 |
0.02 |
33 |
|
荧蒽 |
0.14 |
0.02 |
0.01 |
50 |
|
多环芳烃 |
0.92 |
0.34 |
0.05 |
85 |
|
|
化工厂污水项目-1 | |||
|
TOC (mg/L) |
460- 540 |
40-95 |
20- 60 |
37 - 60 |
|
苯胺 |
n.a. |
40-150 |
4.0-10.0 |
90- 93 |
|
双酚-A |
n.a. |
10-128 |
0.0- 9.0 |
93-100 |
|
n.a. |
25-130 |
0.5- 24.0 |
82 - 98 | |
|
|
化工厂污水项目-2 | |||
|
COD (mg/L) |
3450- 4720 |
340- 460 |
190-260 |
25- 45 |
|
Toxicity, GD |
n.a. |
1:100- 500 |
1:30-250 |
1:50- 90 |
在生物滤池中使用LEVAPOR® 悬浮填料对不同类型污水的处理
![]() |
| 在好氧生物滤池中使用LEVAPOR® 悬浮填料降解双酚-A(BPA) |
案例
1. 纸浆厂污水
使用LEVAPOR-生物膜工艺,通过厌氧-好氧-多联级生化处理能非常有效处理纸浆厂产生的废水,是一项很实用的技术。由于生物膜上的微生物菌群的高浓度,厌氧池的体积和其它工艺相比能减少75%,光此项就能为工厂节省1000万欧元的费用。废水处理设施从1990年开始运行,见下图。
![]() |
| 使用LEVAPOR生物膜工艺采用厌氧-好氧多联级生化处理纸浆厂有毒废水 |
为了定量说明LEVAPOR生物膜工艺的贡献率在启动阶段三个甲烷反应器中只有两个反应器中投放了LEVAPOR® 悬浮填料。装有悬浮污泥的反应器的运行效率明显比LEVAPOR生物膜反应器低,在经过第一次毒性冲击后活性污泥呈不可逆的抑制状态。此后该反应器也改成了生物膜反应器,结果见下图。
![]() |
| 全规模启动厌氧工艺反应器处理纸浆厂有毒废水 |
2. 农业化学品废水
这类废水具有以下特点,一是原料的污染贡献率很大,二是盐度和副产品浓度的波动大,三是活性剂的浓度比较低(最大到150 mg/L),因此对生物降解有很强的抑制作用。同时可以查看中国污水处理工程网更多技术文档。
通过正确的生物预处理,抑制剂的毒性能被消除。此外杂环有机物水解所产生的氨氮能被硝基化,具体处理结果见下表。
![]() |
| 农用化学品有毒废水的多联级生物处理,包括硝化/反硝化 |
|
污染物 |
进水浓度 |
去除率% | ||
|
|
|
总去除率 |
不同阶段的去除贡献率 | |
|
|
mg/L |
% |
缺氧
+ 厌氧 |
好氧 |
|
芳香族溶剂 |
1.5 – 30.0 |
100.0 |
90.0 |
10.0 |
|
甲醇 |
930 - 1980 |
100.0 |
95.0-100.0 |
0-5.0 |
|
二氯甲烷 |
4.0 - 80.0 |
100.0 |
100.0 |
0.0 |
|
甲基异丁基酮 |
9.0 - 330.0 |
100.0 |
76.0 |
24.0 |
|
胺类 |
56.0 – 84.0 |
100.0 |
90.0-100.0 |
0.0-10.0 |
|
三嗪衍生物 |
96.0 – 115.0 |
100.0 |
64.2 |
35.8 |
|
18.0 – 33.0 |
80.0 |
72.0 |
28.0 | |
|
其它杀草剂 |
154.0 - 337.0 |
91.5 |
75.0 |
25.0 |
3. 地下水
在LEVAPOR® 悬浮填料上活性生物膜的生长迅速,对原焦油厂的地下水做基于LEVAPOR生物膜法和物化的组合处理。即便是在高负荷和低温的状态下,启动后几天时间内对甲基苯酚和苯系物的去除率非常高。
![]() |
| 地下水的生物膜法和物化法的组合处理 |




























