¡¡¡¡1 ÒýÑÔ
¡¡¡¡¾Û±ûÏ©õ£°·(PAM)³£ÓÃÓÚ3´Î²ÉÓÍÒÔÌá¸ßÔÓͲÉÊÕÂÊ£¬µ«Í¨³£°éËæ´óÁ¿º¬PAMµÄÇýÓÍ·ÏË®²úÉú(Jeirani et al., 2014).¾ÛºÏÎïÇýÓÍ·ÏË®ÖеÄPAMÒ»°ãΪÒõÀë×ÓÐÍ£¬Å¨¶È¶àΪ100¡«500 mg ¡¤ L-1.Óë³£¹æ·ÏË®Ïà±È£¬PAMµÄ´æÔÚʹµÃÇýÓÍ·ÏË®¾ßÓÐð¤¶È´ó¡¢ÓÍÖéÁ£¾¶Ð¡¡¢ÄàɳЯ´øÁ¿´ó¡¢ÓÍË®ÄÑ·ÖÀë¡¢ÎÛȾÎïÎȶ¨ÐÔÔöÇ¿µÈÌØµã(ÍõÆôÃñµÈ£¬1999;ÁºÎ°µÈ£¬2010)£¬²¢ÇÒÑÏÖØ¸ÉÈÅÐõÄý¼ÁµÄʹÓÃЧ¹û(ÂÞÁ¢Ð£¬2010)£¬²ÉÓ󣹿·½·¨´¦ÀíÄѶȽϴó(ÁºÎ°µÈ£¬2010).Òò´Ë£¬´¦Àíº¬PAMÇýÓÍ·ÏË®µÄ¹Ø¼üÊÇÍѳýPAM(Õ²ÑÇÁ¦µÈ£¬2003).ǰÆÚÑо¿(¡¶·Ö×ÓɸÎü¸½·¨Íѳý·ÏË®Öеľ۱ûÏ©õ£°·¡·£¬¡¶»·¾³¹¤³Ìѧ±¨¡·´ý¿¯)Öг¢ÊÔÓò»Í¬ÀàÐ͵ķÖ×Óɸ×÷ΪÎü¸½¼Á£¬´¦Àíº¬PAMµÄÓÍÌï·ÏË®£¬½á¹û±íÃ÷£¬ÇâÐÍBeta·Ö×Óɸ(H-Beta)¶Ôº¬PAM·ÏË®¾ßÓÐÁ¼ºÃµÄÎü¸½Ð§¹û£¬ÇÒÔ¶ÓÅÓÚÃÉÍÑÍÁ¡¢ÄÆ»ùÅòÈóÍÁ¡¢»îÐÔÌ¿ºÍ»îÐÔ°×ÍÁµÈ³£¹æÎü¸½¼Á.»ùÓÚ´Ë£¬±¾ÎĽøÒ»²½Ñо¿ÔÚ²»Í¬Î¶ȺͳõʼŨ¶ÈÏ£¬PAMÔÚH-BetaÉϵÄÎü¸½¶¯Á¦Ñ§ºÍÈÈÁ¦Ñ§£¬²¢¿¼²ìÎü¸½Ìõ¼þ¶ÔH-BetaÎü¸½PAMЧ¹ûµÄÓ°Ï죬ÒÔ¼°H-Beta¶ÔÕæÊµ·ÏË®µÄÎü¸½ÄÜÁ¦£¬ÒÔÆÚ»ñµÃPAMÔÚH-BetaÉϵÄÎü¸½ÌØÐÔºÍÓ°ÏìÒòËØ.
¡¡¡¡2 ²ÄÁÏÓë·½·¨
¡¡¡¡2.1 Îü¸½ÊÔÑé
¡¡¡¡H-BetaµÄÖÆ±¸ÈçÎÄÏ×(Eapen et al., 1994)ËùÊö£¬Æä²¿·ÖÎﻯÐÔÖÊÈç±í 1Ëùʾ.
±í 1 H-Beta·Ö×ÓɸµÄÎﻯÐÔÖÊ
¡¡¡¡Îü¸½ÊÔÑé²ÉÓÃÓÍÌïÇýÓÍÓõÄAP-P4ÒõÀë×ÓÐÍÊèË®µÞºÏPAM(¹¤ÒµÆ·£¬ËÄ´¨¹âÑǾۺÏÎﻯ¹¤ÓÐÏÞ¹«Ë¾£¬·Ö×ÓÁ¿1400Íò)£¬½«ÆäÓëË®ÅäÖÆ³ÉÈÜÒº.ÔÚ50 mLµÄPAMÈÜÒºÖмÓÈëÎü¸½¼Á£¬ÓÃÏ¡ÏõËáµ÷½ÚpHÖµ£¬ÔÚÒ»¶¨Î¶ÈÏÂÕñµ´Ò»¶Îʱ¼ä£¬ÀëÐĹýÂË.²ÉÓÃÈÕ±¾SHIMADZU¹«Ë¾µÄTOC-V CPH¼ì²âÒDzⶨÈÜÒºÖÐ×ÜÓлú̼(TOC)º¬Á¿.ͨ¹ý»æÖÆTOCÖµÓëPAMŨ¶ÈÖ®¼äµÄ±ê×¼ÇúÏߣ¬È»ºó¸ù¾ÝËù²âÑùÆ·TOCÖµÔÚ¸ÃÇúÏßÉÏ»ñµÃPAMŨ¶È.
¡¡¡¡2.2 Îü¸½¶¯Á¦Ñ§
¡¡¡¡Åä֯ō¶È·Ö±ðΪ100¡¢200ºÍ500 mg ¡¤ L-1µÄPAMÈÜÒº£¬ÓÃÏ¡ÏõËáµ÷½ÚÈÜÒº³õʼpHΪ4£¬È»ºó¼ÓÈëÏàͬÖÊÁ¿µÄH-BetaÎü¸½¼Á£¬ÔÚ²»Í¬Î¶È(25¡¢40ºÍ50 ¡æ)ϺãÎÂÕñµ´´¦Àí£¬Ã¿¸ôÒ»¶¨Ê±¼äÈ¡Ñù£¬²â¶¨TOCÖµ£¬¼ÆËãÍѳýÂʺÍÎü¸½Á¿.
¡¡¡¡2.3 Îü¸½µÈÎÂÏß
¡¡¡¡ÅäÖÆ²»Í¬³õʼŨ¶ÈPAMÈÜÒº£¬ÓÃÏ¡ÏõËáµ÷½ÚÈÜÒºpH=4£¬·Ö±ð¼ÓÈëÖÊÁ¿ÏàͬµÄÎü¸½¼Á£¬·Ö±ðÔÚ25¡¢40ºÍ50 ¡æÏºãÎÂÕñµ´4¡«8 hÖÁÎü¸½Æ½ºâ£¬ÀëÐĹýÂË£¬²â¶¨ÂËÒºTOCÖµ£¬µÃµ½PAMŨ¶È.
¡¡¡¡3 ½á¹ûÓëÌÖÂÛ
¡¡¡¡3.1 Îü¸½¶¯Á¦Ñ§
¡¡¡¡²»Í¬³õʼŨ¶È(100¡¢200ºÍ500 mg ¡¤ L-1)ºÍ²»Í¬Î¶È(25¡¢40ºÍ50 ¡æ)Ï£¬H-Beta¶ÔPAMµÄÎü¸½Á¿ËæÊ±¼äµÄ±ä»¯¹ØÏµÈçͼ 1Ëùʾ.
ͼ 1 ²»Í¬³õʼŨ¶ÈºÍζÈÏÂPAMÔÚH-BetaÉϵÄÎü¸½¶¯Á¦Ñ§ÇúÏß
¡¡¡¡ÔÚ²»Í¬µÄ³õʼPAMŨ¶ÈºÍÎü¸½Î¶ÈÏ£¬H-Beta¶ÔPAMµÄÎü¸½ÔÚ³õʼ½×¶Î¾ù±íÏÖ³ö½Ï´óµÄËÙÂÊ£¬Îü¸½Á¿¿ìËÙÉÏÉý£¬ÇúÏ߽϶¸;Ëæ×ÅÎü¸½½øÐУ¬ËÙÂʽµµÍ£¬Îü¸½Á¿Ôö¼Ó²»Ã÷ÏÔ£¬ÇúÏßÇ÷»º£¬×îºó´ïÎü¸½Æ½ºâ.³õʼPAMŨ¶ÈÔ½µÍ£¬´ïµ½Æ½ºâËùÐèʱ¼äÔ½¶Ì.ÔÚÏàͬPAM³õʼŨ¶ÈÏ£¬Ëæ×ÅζÈÉý¸ß£¬H-Beta¶ÔPAMµÄÎü¸½ËÙÂÊÔö¼Ó£¬´ïµ½Îü¸½Æ½ºâËùÐèʱ¼äÖð½¥½µµÍ.ÕâÓëYiµÈ(2011)ÔÚÑо¿PAMÔÚPVDF UF ĤÉϵÄÎü¸½Ê±µÃµ½µÄ½á¹ûÒ»ÖÂ.
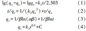
¡¡¡¡²ÉÓÃ×¼Ò»¼¶¶¯Á¦Ñ§·½³Ì(ʽ(1))¡¢×¼¶þ¼¶¶¯Á¦Ñ§·½³Ì(ʽ(2))¡¢Elovich·½³Ì(ʽ(3))ºÍ¿ÅÁ£ÄÚÀ©É¢Ä£ÐÍ(ʽ(4))¶ÔÉÏÊö¶¯Á¦Ñ§ÇúÏß½øÐÐÄâºÏ.
¡¡¡¡
¡¡¡¡Ê½ÖУ¬qeΪÎü¸½´ïƽºâʱµÄÎü¸½Á¿(mg ¡¤ g-1)£¬qtΪÎü¸½Ê±¼äΪt(min)ʱµÄÎü¸½Á¿(mg ¡¤ g-1)£¬k1Ϊ׼һ¼¶¶¯Á¦Ñ§ËÙÂʳ£Êý(min-1)£¬k2Ϊ׼¶þ¼¶¶¯Á¦Ñ§ËÙÂʳ£Êý(g ¡¤ mg-1 ¡¤ min-1)£¬¦ÁΪÎü¸½ËÙÂʳ£Êý(mg ¡¤ g-1 ¡¤ min-1)£¬¦ÂΪÍѸ½³£Êý(g ¡¤ mg-1)£¬k3Ϊ¿ÅÁ£ÄÚÀ©É¢ËÙÂʳ£Êý(g ¡¤(mg ¡¤ min0.5)-1)£¬CΪ½Ø¾à(mg ¡¤ g-1).
¡¡¡¡°´ÕÕÉÏÊö4ÖÖ¶¯Á¦Ñ§Ä£ÐÍÄâºÏµÃµ½µÄ²ÎÊýÖµÁÐÓÚ±í 2ÖÐ.¿É¼û£¬ÔÚ²»Í¬³õʼŨ¶ÈºÍζÈÌõ¼þÏ£¬×¼¶þ¼¶¶¯Á¦Ñ§·½³Ì¿É¾öϵÊý×î¸ß(R2>0.99)£¬ËµÃ÷ÆäÄܽϺõط´Ó³PAMÔÚH-Beta·Ö×ÓɸÉϵÄÎü¸½¶¯Á¦Ñ§ÌØÕ÷.´ËÍ⣬ÔÚ²»Í¬Ìõ¼þÏ£¬¿ÅÁ£ÄÚÀ©É¢Ä£ÐÍÒ²¾ßÓнϸߵĿɾöϵÊý(R2>0.90)£¬ËµÃ÷Îü¸½¿ÉÄÜÊܵ½ÄÚÀ©É¢¿ØÖÆ;µ«ÄâºÏ²ÎÊýCÖµ²»Îª0£¬ËµÃ÷ÄÚÀ©É¢²»ÊÇΨһµÄÓ°ÏìÒòËØ.


±í 2 Îü¸½¶¯Á¦Ñ§·½³ÌÄâºÏ²ÎÊý
¡¡¡¡½«lnk2¶Ô1/T×÷ͼ£¬¾ßÌåÈçͼ 2Ëùʾ.¸ù¾ÝArrhenius·½³Ì¼ÆËã³õʼŨ¶ÈΪ100¡¢200ºÍ500 mg ¡¤ L-1ʱµÄ±í¹Û»î»¯ÄÜ(Ea)·Ö±ðΪ41.8¡¢33.8ºÍ24.8 kJ ¡¤ mol-1.Ò»°ãÈÏΪEaÔÚ5¡«40 kJ ¡¤ mol-1·¶Î§ÄÚΪÎïÀíÎü¸½(Nollet et al., 2003)£¬Òò´Ë£¬µ±PAM³õʼŨ¶È½ÏµÍʱ£¬Îü¸½¹ý³Ì±íÏÖΪ»¯Ñ§Îü¸½ÌØÕ÷£¬¶øËæ×ųõʼŨ¶ÈµÄÔö¼Ó£¬EaÖð½¥½µµÍ£¬´Ëʱ£¬H-Beta¶ÔPAMµÄÎü¸½ÔòÏòÎïÀíÎü¸½×ª±ä.
ͼ 2 ²»Í¬³õʼŨ¶ÈϵÄArrheniusÇúÏß
¡¡¡¡3.2 Îü¸½ÈÈÁ¦Ñ§
¡¡¡¡3.2.1 Îü¸½µÈÎÂÏß
¡¡¡¡²»Í¬Î¶ÈϵÄÎü¸½µÈÎÂÏßÈçͼ 3Ëùʾ.¿É¼û£¬PAMÔÚH-BetaÉϵÄÎü¸½¹ý³Ì·ÖΪÁ½¶Î£ºµÚÒ»¶ÎΪµÍƽºâŨ¶ÈÇø£¬H-Beta¶ÔPAMµÄÎü¸½Á¿Ëæ×ÅÆ½ºâŨ¶ÈµÄÉý¸ßѸËÙÉý¸ß£¬Ëæºó´ïÆ½Ì¨Çø;µÚ¶þ¶ÎΪ¸ßŨ¶ÈÇø£¬H-Beta¶ÔPAMµÄÎü¸½Á¿ËæÆ½ºâŨ¶ÈµÄÔö¼Ó¶ø³ÖÐøÔö¼Ó.Òò´Ë£¬½«Îü¸½µÈÎÂÏß»®·ÖΪµÍƽºâŨ¶ÈÇøºÍ¸ßƽºâŨ¶ÈÇø£¬ÔÚÁ½¸öŨ¶ÈÇø¾ùÓÃFreundlichÄ£ÐÍ(ʽ(5))ºÍLangmuirÄ£ÐÍ(ʽ(6))ÄâºÏÊý¾Ý£¬½á¹û¼û±í 3.
¡¡¡¡
¡¡¡¡
¡¡¡¡Ê½ÖУ¬qeΪƽºâÎü¸½Á¿(mg ¡¤ g-1)£¬CeΪÎü¸½Æ½ºâʱÈÜҺŨ¶È(mg ¡¤ L-1)£¬kFΪFreundlichÎü¸½³£Êý£¬qmaxΪµ¥²ã±¥ºÍÎü¸½Á¿(mg ¡¤ g-1)£¬bΪLangmuirÎü¸½³£Êý(L ¡¤ mg-1).
¡¡¡¡ÔÚµÍÆ½ºâŨ¶ÈÇø£¬²ÉÓÃLangmuirÄ£ÐÍËùµÃ¿É¾öϵÊý½Ï¸ß(R2>0.98)£¬µÈÎÂÏ߯½Ì¨´¦±íÃ÷Îü¸½´ïµ½µ¥²ã±¥ºÍ.ÔÚ25¡¢40ºÍ50 ¡æÏ£¬µ¥²ã±¥ºÍÎü¸½Á¿qmax·Ö±ð´ï70.2¡¢76.9ºÍ90.9 mg ¡¤ g-1.ÔÚ¸ßŨ¶ÈÇø£¬FreundlichÄ£ÐÍÄâºÏËùµÃ¿É¾öϵÊý½Ï¸ß(R2>0.95)£¬ËµÃ÷Ðγɶà²ãÎü¸½£¬ÕâÊÇÓÉÓÚPAMÁ´ÉϵÄÊèË®µÞºÏ×÷ÓüÓÇ¿£¬ÐγÉÁË·Ö×Ó¼äµÞºÏ£¬¹¹³ÉÁ˾ßÁ÷±äÌØÕ÷µÄÍø×´½á¹¹(Volpert et al., 1998)£¬¾ÛºÏÎïÁ´Ï໥²øÈƶø¼ä½ÓÎü¸½ÔÚÓë·Ö×Óɸ±íÃæÖ±½Ó½Ó´¥µÄPAMÉÏ(Lu et al., 2009)£¬×îÖÕÐγÉÁ˶à²ãÎü¸½.ÕâÒ²¿ÉÒÔ½âÊ͸ßŨ¶ÈÏ£¬PAMÔÚH-BetaÉϵÄÎü¸½ÏòÎïÀíÎü¸½×ª±ä.
¡¡¡¡3.2.2 Îü¸½ÈÈÁ¦Ñ§²ÎÊý
¡¡¡¡Îü¸½¹ý³ÌµÄÈÈÁ¦Ñ§²ÎÊý(¦¤G¦È¡¢¦¤H¦È¡¢¦¤S¦È)¼ÆËã·½·¨È繫ʽ(7)ºÍ(8)Ëùʾ£¬½á¹û¼û±í 4.
¡¡¡¡
¡¡¡¡Ê½ÖУ¬KΪƽºâÎü¸½³£Êý£¬RÎªÆøÌå³£Êý(8.314¡Á10-3 kJ ¡¤ mol-1 ¡¤ K-1)£¬TΪ·´Ó¦Î¶È(K).
¡¡¡¡Von OepenµÈ(1991)×ܽáÁ˲»Í¬×÷ÓÃÁ¦ÏÂÎü¸½¹ý³ÌµÄ|¦¤H¦È|·¶Î§£¬Ö¸³öÇâ¼üÔÚ2¡«40 kJ ¡¤ mol-1Ö®¼ä£¬Àë×Ó½»»»Ô¼Îª40 kJ ¡¤ mol-1£¬»¯Ñ§¼üÔÚ63¡«84 kJ ¡¤ mol-1Ö®¼ä£¬·¶µÂ»ªÁ¦ºÍÊèË®×÷ÓÃÁ¦µÈ¶¼<10 kJ ¡¤ mol-1.½áºÏ±í 4Êý¾Ý¿ÉÒÔÍÆ¶Ï£¬PAMÔÚH-Beta·Ö×ÓɸÉϵÄÖ÷ÒªÎü¸½¿ÉÄÜÊÇÇâ¼ü×÷ÓÃ.ÁíÍ⣬¦¤H¦È>0£¬ËµÃ÷PAMÔÚH-Beta·Ö×ÓɸÉϵÄÎü¸½ÊÇÎüÈȵÄ.Óɦ¤G¦È<0¿ÉÖª£¬Îü¸½ÊÇ×Ô·¢½øÐеÄ.
¡¡¡¡3.3 Îü¸½Ìõ¼þµÄÓ°Ïì
¡¡¡¡3.3.1 ÈÜÒºpHÖµ
¡¡¡¡Îª±ÜÃâ½Á°è²úÉúµÄ¼ôÇÐ×÷ÓÃÔì³ÉPAM¶ÏÁÑ£¬²ÉÓÃÕñµ´µÄ·½Ê½½«H-BetaÓëPAMÈÜÒºÔÚ25 ¡æÎü¸½4 h£¬¿¼²ìpHÖµ¶Ô²»Í¬³õʼŨ¶È(100¡¢200ºÍ500 mg ¡¤ L-1)PAMÈÜÒºµÄÎü¸½Ð§¹ûµÄÓ°Ï죬Îü¸½ÐÔÄÜÈçͼ 4Ëùʾ.
ͼ 4 pHÖµ¶ÔPAMÍѳýÂʵÄÓ°Ïì
¡¡¡¡¿É¼û£¬µ±pHֵΪ2¡«4ʱ£¬H-Beta¶ÔPAMµÄÎü¸½ÍѳýÂʽϸߣ¬Îü¸½ÍѳýÂÊËæpHÖµÔö´óÂÔÓÐÔö¼Ó;pHÖµ¼ÌÐøÔö´ó£¬H-Beta¶ÔPAMµÄÎü¸½ÍѳýÂÊËæ×ÅpHÖµÉý¸ß¶øÏÔÖøÏ½µ£¬¶ÔÎü¸½µÄÓ°ÏìÏÔÖø.
¡¡¡¡±¾ÊµÑé²ÉÓõÄAP-P4ΪÒõÀë×ÓÐÍPAM£¬ÆäÔÚÈÜÒºÖеķÖ×Ó״̬¼°H-BetaµÄ±íÃæÐÔÖʾù»áÓ°ÏìÎü¸½Ð§¹û£¬pHÖµ¶ÔÎü¸½²úÉúµÄÓ°ÏìÊǾ²µç×÷ÓúÍPAM·Ö×ÓÐÎ̬¹²Í¬×÷ÓõĽá¹û.°´ÕÕÎÄÏ×(Milonji c ¡ä et al.£¬ 1975)¶ÔH-Beta²â¶¨µÄµÈµçµã(PZCµã)Ϊ4.0.ÓÉ´Ë¿ÉÖª£¬pHֵΪ2¡«4ʱ£¬H-Beta³ÊÕýµçÐÔ£¬ÓëÒõÀë×ÓÐÍPAM²úÉú¾²µçÒýÁ¦£¬¶ÔÎü¸½ÓÐÀû;·´Ö®£¬µ±pHÖµ´óÓÚ4ʱ£¬H-Beta³Ê¸ºµçÐÔ¶øÓëPAM²úÉú¾²µç³âÁ¦£¬²»ÀûÓÚÎü¸½.´ËÍ⣬PAMÔÚ¸ßpHֵϷ¢ÉúË®½â¶øÔì³Éõ£°·»ùµÄ¼õÉÙ£¬ÓëH-Beta¼äµÄÇâ¼ü×÷ÓüõÈõ£¬²»ÀûÓÚÎü¸½.ͬʱ£¬PAM·Ö×ÓµÄÓÐЧÌå»ýËæ×ÅË®½â¶ÈÔö¼Ó¶øÔö´ó(ÐÜÆôÓµȣ¬2005)£¬Ò²Ôì³ÉH-Betaµ¥Î»Ãæ»ýÉÏÎü¸½µÄ·Ö×Ó¼õÉÙ£¬PAMÍѳýÂʽµµÍ.
¡¡¡¡3.3.2 Îü¸½¼ÁÓÃÁ¿
¡¡¡¡Õë¶Ô²»Í¬³õʼŨ¶È(100¡¢200ºÍ500 mg ¡¤ L-1)£¬·Ö±ðÓÚ50 mL PAMÈÜÒºÖмÓÈ벻ͬÓÃÁ¿µÄH-BetaÎü¸½¼Á(3¡¢5¡¢7ºÍ9 g ¡¤ L-1)£¬H-BetaµÄÎü¸½ÐÔÄÜÈçͼ 5Ëùʾ.
ͼ 5 Îü¸½¼ÁÓÃÁ¿¶ÔPAMÎü¸½Á¿ºÍÍѳýÂʵÄÓ°Ïì
¡¡¡¡¿É¼û£¬Ëæ×ÅÎü¸½¼ÁÓÃÁ¿Ôö¼Ó£¬×ܵÄÎü¸½±íÃæ»ýÔö¼Ó£¬¿ÉÌṩ¸ü¶àµÄÎü¸½Î»(³Ì»ªÀöµÈ£¬2014)£¬Ê¹PAMµÄÍѳýÂÊÌá¸ß£¬¼ÌÐøÔö¼ÓÎü¸½¼ÁÓÃÁ¿Ôòµ¼ÖÂÍѳýÂÊÓÐËùϽµ.ÁíÍ⣬Îü¸½Á¿Ò²ËæÎü¸½¼ÁÓÃÁ¿µÄÔö¼ÓÖð½¥Ï½µ£¬ÕâÓë³Ðã¹úµÈ(2014)·¢ÏÖµÄÏÖÏóÏàËÆ.ÕâÊÇÒòΪÎü¸½¼ÁÓÃÁ¿Ôö¼Óµ½Ò»¶¨³Ì¶Èºó£¬±Ë´Ë¼ä¿ÉÄܳöÏÖÍž۶øÔì³É¿ÉÀûÓõÄÎü¸½Î»ÊýÁ¿¼õÉÙ(Wang et al., 2013)£¬´Ó¶øÊ¹µÃÎü¸½Î»ÀûÓÃÂÊϽµ.µ±Îü¸½¼ÁÓÃÁ¿Îª5 g ¡¤ L-1ʱ£¬ÔÚ3ÖÖ³õʼPAMŨ¶ÈÏ£¬¶¼Äܵõ½×î¸ßµÄPAMÍѳýÂÊ.
¡¡¡¡3.4 H-Beta¶ÔÕæÊµ·ÏË®µÄÎü¸½Ð§¹û
¡¡¡¡²ÉÓÃÖк£ÓÍËçÖÐ36-1ÓÍÌﺬAP-P4ÐÍPAMµÄ²ÉÓÍ·ÏË®¿¼²ìH-Beta¶ÔÕæÊµ·ÏË®µÄÎü¸½ÐÔÄܼ°·ÏË®ÖÐ×é·ÖµÄ¾ºÕùÎü¸½.Îü¸½Ìõ¼þΪ£ºÎü¸½¼ÁÓÃÁ¿5 g ¡¤ L-1£¬pH=4£¬25 ¡æÕñµ´Îü¸½4 h.Îü¸½Ç°ºó·ÏË®µÄ²¿·ÖÖ¸±êÁÐÓÚ±í 5.ÓÉÓÚ·ÏË®Öк¬ÓÍ£¬Ó°ÏìTOCµÄ²â¶¨£¬Òò´Ë£¬²ÉÓÃÎÄÏ×(¹¶ÉÜ»ªµÈ£¬2014)µÄ·½·¨²â¶¨PAMŨ¶È.Óͺ¬Á¿ºÍ½ðÊôÀë×Óº¬Á¿·Ö±ð²ÉÓÃ×ÏÍâÓ«¹â²âÓÍÒÇ(OilTech 121AÐÍ)ºÍÔ×ÓÎüÊÕ(AA-7020ÐÍ)·½·¨²â¶¨.
±í 5 Îü¸½Ç°ºóÕæÊµ·ÏË®µÄ²¿·ÖÖ¸±ê
¡¡¡¡ÔÚÕæÊµ·ÏË®ÖУ¬H-Beta²»½ö¶ÔPAM¾ßÓнϸߵÄÍѳýÂÊ(94.6%)£¬¶øÇÒ»¹ÍѳýÁËÆäÖд󲿷ֵÄÓͺÍCa2+¼°²¿·ÖMg2+.H-BetaµÄÍÑÓÍÄÜÁ¦À´×ÔÓÚÆä½Ï´óµÄ±È±íÃæ»ý¡¢·á¸»µÄ¿×µÀºÍ¶ÀÌØµÄÍØÆË½á¹¹(Ñîä콡£¬2012).H-BetaÄÜÍѳý½ðÊôÀë×ÓÔòÊÇÓÉÓÚÆäÓµÓÐֱͨÐͿ׵À£¬¿ÉÒÔ½øÐÐÑôÀë×Ó½»»»(Àîѧ·åµÈ£¬2011)£¬¶ÔNa+¼¸ºõûÓÐÍѳýЧ¹û£¬ÔÒò¿ÉÄÜÊÇNa+³ß´ç½Ï´ó.ΪÁË¿¼²ì¾ºÕùÎü¸½µÄÓ°Ï죬ÅäÖÃÁËPAMº¬Á¿ÓëÕæÊµ·ÏË®ÏàͬµÄ²»º¬ÓͺÍÑεÄÄ£Äâ·ÏË®£¬ÔÚÏàͬÌõ¼þÏÂÓÃH-Beta½øÐÐÎü¸½£¬½á¹û·¢ÏÖ£¬H-Beta¶ÔPAMµÄÍѳýÂÊΪ91.3%.Õâ˵Ã÷ÕæÊµ·ÏË®ÖеÄÓͺÍÑÎÀಢ²»»áÓëPAM²úÉú¾ºÕùÎü¸½¶øÒÖÖÆPAMµÄÍѳý£¬·´¶øÔÚÒ»¶¨³Ì¶ÈÉÏ´Ù½øÁËPAMµÄÎü¸½.Õâ¿ÉÄÜÊÇÒòΪÑÎÀàµÄ´æÔÚÖкÍÁËPAM³¤Á´ÉϵĸºµçºÉ£¬Ê¹Æä³¤Á´¸ü¼Ó¾íÇú£¬Ðýת°ë¾¶¼õÉÙ(Muller et al., 1979)£¬Òò¶øÎü¸½¼ÁµÄµ¥Î»±È±íÃæ»ýÉÏÄÜÎü¸½¸ü¶àµÄPAM(×£ÑÞÈٵȣ¬2001).
¡¡¡¡4 ½áÂÛ
¡¡¡¡1)H-Beta¶ÔPAMµÄÎü¸½¶¯Á¦Ñ§¿ÉÓÃ×¼¶þ¼¶¶¯Á¦Ñ§·½³ÌÃèÊö£¬Á£×ÓÄÚÀ©É¢²»ÊÇÎü¸½¹ý³ÌΨһµÄ¿ØÖƲ½Öè;³õʼŨ¶ÈΪ100¡¢200ºÍ500 mg ¡¤ L-1ʱµÄÎü¸½±í¹Û»î»¯ÄÜ·Ö±ðΪ41.8¡¢33.8ºÍ24.8 kJ ¡¤ mol-1.
¡¡¡¡2)H-Beta¶ÔPAMµÄÎü¸½µÈÎÂÏßÔÚµÍÆ½ºâŨ¶ÈÇø·ûºÏLangmuirÎü¸½ÌØÕ÷£¬25¡¢40ºÍ50 ¡æÊ±µ¥²ã±¥ºÍÎü¸½Á¿qmax·Ö±ð´ïµ½70.2¡¢76.9ºÍ90.9 mg ¡¤ g-1;ÔÚ¸ßÆ½ºâŨ¶ÈÇø·ûºÏFreundlich·½³Ì;Îü¸½Îª×Ô·¢ÎüÈȹý³Ì£¬Ö÷ÒªÎü¸½¿ÉÄÜÊÇÇâ¼ü×÷ÓÃ.
¡¡¡¡3)ÔÚÌåϵpHÖµ2¡«4ºÍÎü¸½¼ÁÓÃÁ¿Îª5 g ¡¤ L-1Ìõ¼þÏ£¬H-BetaÓнϺõÄÎü¸½Ð§¹û.
¡¡¡¡4)ÕæÊµ·ÏË®ÖеÄÓͺÍÑÎÀ಻»áÓëPAMÔì³É¾ºÕùÎü¸½¶ø½µµÍH-BetaµÄÎü¸½Ð§¹û£¬H-Beta¶ÔÕæÊµ·ÏË®ÖÐPAMµÄÍѳýÂʿɴï94.6%£¬²¢ÇÒ·ÏË®Öд󲿷ÖÓÍÀàºÍCa2+¼°²¿·ÖMg2+Ҳͬʱ±»Íѳý.
Ïà¹ØÎÄÕÂ
- ½¹»¯·ÏË®´¦Àí¼¼ÊõÑо¿½øÕ¹ä¯ÀÀ 4 / 2016-08-02
- ÄÏ·½Å©´åÉú»îÎÛË®´¦Àí¼¼Êõä¯ÀÀ 11 / 2016-08-02
- ӡȾ·ÏË®´¦Àí¼¼ÊõÔÚÆ¤¸ïȾɫ·ÏË®´¦ÀíÖеÄÓ¦ÓÃä¯ÀÀ 6 / 2016-08-02
- UASB/½Ó´¥Ñõ»¯/»ìÄý³Áµí¹¤ÒÕ´¦ÀíË®¹û¡¢Êß²ËÍÑË®·ÏË®ä¯ÀÀ 9 / 2016-08-02
- ºÏ³É°±¹¤Òµ·ÏË®´¦Àíä¯ÀÀ 9 / 2016-08-02
- ¹¤Òµ·ÏË®µÄ´¦Àíä¯ÀÀ 18 / 2016-08-02
- µç¶ÆÖؽðÊôÎÛÄàµÄÎÞº¦»¯´¦ÖúÍ×ÊÔ´»¯ÀûÓÃä¯ÀÀ 17 / 2016-08-02
- º¬Ð¿·ÏË®´¦Àí·½·¨ä¯ÀÀ 39 / 2016-08-02
- Ë®Ä๤ҵ·ÏË®´¦Àíä¯ÀÀ 23 / 2016-08-02
- ¾Æ¾«·ÏË®Ôõô´¦Àíä¯ÀÀ 15 / 2016-08-02
- º¬Áò·ÏË®´¦Àí¹¤ÒÕä¯ÀÀ 18 / 2016-08-02
- µç×Ó·â×°·ÏË®»ØÓù¤³Ì°¸Àýä¯ÀÀ 4 / 2016-08-02
- ÖÐË®»ØÓÃϵͳä¯ÀÀ 16 / 2016-08-01
- ÖÐË®»ØÓù¤ÒÕä¯ÀÀ 5 / 2016-08-01
- º¬Äø·ÏË®Ôõô´¦Àíä¯ÀÀ 23 / 2016-08-01














