浸没式膜生物反应器(submergedmembranebioreactor,SMBR)是在内环气升式生物反应器基础上改进的一种高效的生物处理与膜处理相结合的反应器,具有出水水质好、占地少、污泥产量低、易于实现自动控制、操作管理方便等优点,但其因膜污染严重、水通量下降快等缺点,严重影响了浸没式膜生物反应器在工程中的推广与普及[15]。当前研究者有通过湍流促进器改善流体的流动形态[69],也有利用曝气[10,11]在膜表面形成气液两相流,增加膜面剪切力,达到降低膜污染及浓差极化的目的。
近年来,有许多学者采用计算流体动力学(computerfluentdynamic,CFD)和粒子成像测速(particleimagevelocimetry,PIV)技术来模拟和测试SMBR中单相流、两相流和多相流的流态分布,同时给出速度和剪切力等性能指标的分布信息。Judd等[12]利用CFD模拟SMBR管式膜中的流场,并结合实验,证明了CFD模拟的膜面剪切力和膜通量具有良好的相关性。李金等[13]利用计算流体动力学CFD方法对浸没式超滤膜过滤器内的流场进行数值模拟,通过计算得到过滤器内流体速度场,压力场和紊流强度的分布情况。Yang等[14]利用CFD模拟了浸没式平板膜生物反应器的两相和三相流,并把计算结果与实验数据进行了比较。最终结果表明,错流速度是减轻膜污染的重要因素。Amini等[15]在市政废水处理的CFD模拟及实验中,使用两相流和三相流分别考察了膜生物反应器中的气泡直径、污泥浓度、曝气率、生物相和膜生物反应器的流体动力学和性能,从模拟结果及实验数据得出,在不同污泥浓度下错流速度是减少膜污染的必要因素。Gimmelshtein等[16]主要研究在有档板的情况下,通过PIV测试平板膜通道间速度及混合指数的变化。结果表明,档板会造成流体流动方向的改变。Liu等[17]探讨了膜生物反应器内气水两相流的流动特性。利用PIV和高速相机检测膜生物反应器系统中的气泡大小和运动以及单相流和两相流的速度分布情况。Willems等[18]利用PIV和CFD研究了液体和液体/气体流过有档板的通道内流体速度分布。结果表明,两相流状态下比单相流的速度变化更不稳定,更有利于防止膜污染的浓差极化。Yan等[19]通过CFD和PIV研究了在低曝气强度下档板的不同位置和尺寸对气升式平板膜生物反应器流体动力学性能的影响。
本研究把曝气与微通道湍流促进器结合在一起防治浸没式平板膜生物反应器的膜污染和浓差极化。先采用CFD中的欧拉模型对附加微通道湍流促进器的浸没式平板膜生物反应器内气液两相流进行数值模拟,并考察浸没式平板膜生反应器内流体动力学性能指标:速度、剪切力、湍流动能、湍流强度、湍流耗散率及静压的变化。接着通过PIV实验对浸没式平板膜生物反应器膜面流场进行测试。最后结合CFD模拟结果与PIV实验结果,找出最佳曝气率以便改善浸没式平板膜生物反应器流体动力学性能,减少能耗,增加膜面剪切力,有效控制膜污染和浓差极化。
1 CFD数值模拟
1.1 数学模型
由于本实验是对反应器内流体特性的研究,因此在建立数学模型时将忽略气体与液体流动过程中的传热,只模拟反应器内的流场特性,假定流体是非稳态的、定常的、不可压的。所以建立的基本守恒方程为连续方程和动量守恒方程。
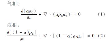
1.1.1 连续方程(continuityequation)
式中:ρ是密度,t是时间,u是速度矢量,α为气含率。
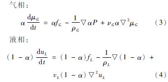
1.1.2 动量守恒方程(momentum conseravationequation)
式中:p是静压,f是体积力,ν是运动粘度。
1.2 几何模型及边界条件的设定
附加微通道湍流促进器的浸没式平板膜生物反应器可简化为二维算例。本文采用AutoCAD2008建模,模型如图1(a)所示。浸没式平板膜生物反应器为600mm×300mm的长方形,中间是膜组件,膜面上每隔64mm交错放置微通道湍流促进器。为模拟方便将曝气口简化为小的圆形。膜片及曝气孔位置与实际安装位置相同,即距离反应器内底分别为180mm和135mm。液体入口(waterinlet)设为速度进口边界条件,速度为0.5m/s。气体入口(airinlet)设为速度进口边界条件。反应器出口边界条件设为outflow。。
1.3 计算模型
根据浸没式平板膜生物反应器流体的特性,在模拟中选用Euler模型,考察曝气速率对附加微通道湍流促进器的浸没式膜生物反应器性能的影响。采用非结构网格,利用Meshing对膜生物反应器进行网格划分。网络采用的是三角形和四边形单元,并在局部单元特别是对曝气孔以及微通道湍流促进器处进行加密处理,如图1(b)所示。为了保证计算的稳定,满足迁移性要求且尽量避免数值上的扩展误差,在计算时离散方式选用二阶迎风格式。计算方法选用了压力耦合的SIMPLIC算法。为保证计算数值的收敛性,残差采用10-5。
详情请下载:曝气速率对附加微通道湍流促进器SMBR流体动力学性能的影响














