¡¡¡¡Ä³Ë®³§ÒԻƺÓˮΪԴˮ,ÓÉÓڵش¦±±·½,»ÆºÓË®ÔÚ¶¬¼¾ÓÐ4¡«5¸öÔµÄʱ¼ä´¦ÓÚµÍεÍ×ÇË®½×¶Î,´ËʱˮÎÂÔÚ10¡æÒÔÏÂ,×ǶȵÍÓÚ10NTU。µÍζÔÐõÄý¹ý³ÌµÄÓ°ÏìÖ÷ÒªÌåÏÖÔÚµ¼Ö»ìÄý¼ÁË®½â²»³¹µ×;ͬʱµÍ×ǶÈˮԴˮÓÉÓÚÔÓÖʽÏÉÙ,Äý¾Û、Åöײ»ú»áÒ²ÉÙ,Òò´Ë²»ÈÝÒ×ÐγÉÐõÌå。ÓÉÓÚÐõÌåÐγɲ»Ã÷ÏÔµ¼ÖÂË®ÖÐÓàÂÁº¬Á¿Éý¸ß,ÈËÌåÉãÈ¡¹ýÁ¿µÄÂÁ¿ÉÄÜÒýÆðÑÏÖØÈ±¸Æ,ÇÒÌåÄÚ¹ý¸ßµÄ²ÐÓàÂÁ¿ÉÄÜÒý·¢ÅÁ½ðÉ×ÛºÏÖ¢、ÀÏÄê³Õ´ô、ÍÑ·¢µÈ¼²²¡[1]。
¡¡¡¡Ðí¶àÑо¿½á¹û±íÃ÷,ÐõÌ寯Ëéºó²»¿ÉÍêÈ«»Ö¸´。ÕÅÖÒ¹úµÈ[2]Ñо¿·¢ÏÖ,ÐõÌ寯ËéºóÔÙÐõÄýÄÜÁ¦Óë»ìÄý¼ÁµÄͶ¼ÓÁ¿ÓйØ。YukselenµÈ[3,4]Ñо¿ÁòËáÂÁºÍ¾ÛºÏÂÈ»¯ÂÁÐγɵÄÐõÌå,Ö»ÄܱíÏÖ³öÓÐÏÞµÄÔÙÐõÄýÄÜÁ¦,Õâ±íÃ÷ÐõÌ寯Ëé¹ý³Ì¾ßÓÐÏÔÖøµÄ²»¿ÉÄæÐÔ,¶øÇÒÐõÌ寯ËéÔÙÐõÄýºóÊ£Óà×ǶÈÔö¼Ó。LiµÈ[5]ºÍHermawanµÈ[6]Ò²µÃ³öÁËÀàËÆµÄ½áÂÛ,¼´µ±ÁòËáÂÁΪ»ìÄý¼Áʱ,ÆÆËéÐõÌå½ÏÄѻָ´。SolomentsevaµÈ[7]Ñо¿ÈÏΪ,ÐõÌåÐγÉ、ÆÆËéºÍÔÙÐõÄý¹ý³ÌÖØ¸´¶à´Îºó,ÿ´ÎÆÆËéºóÐõÄýµÄÐõÌå³ß´ç¾ù±È¸Ã´ÎÆÆËéǰҪС。ÓÐÑо¿±íÃ÷,µ±ÁòËáÂÁºÍ¾Û±ûÏ©õ£°·×÷Ϊ»ìÄý¼Áʱ,ÆÆËéÐõÌåÔڸ߼ôÇÐËÙÂÊÏ·¢ÉúÆÆËéºó,¾ÍºÜÄÑÔÙÐõÄý[8]。
¡¡¡¡±¾ÎÄÕë¶ÔµÍεÍ×ÇˮԴˮ´¦ÀíÄѶȴó,Ë®Öʲ»Ò×´ï±êµÄÎÊÌâ,Ñо¿Á˼¸ÖÖ²»Í¬»ìÄý¼ÁµÄ´¦ÀíЧ¹û,²¢Í¬Ê±¼à²â»ìÄý¹ý³ÌÖÐÐõÌåµÄÆÆËéÓëÔÙÉú³¤、Ê£Óà×ǶÈÒÔ¼°ÓàÂÁ,ÒÔÆÚΪˮ³§¸ü¼Ó¸ßЧµØ´¦ÀíµÍεÍ×ÇË®Ìṩָµ¼。
¡¡¡¡1 ²ÄÁÏÓë·½·¨
¡¡¡¡1.1 ʵÑéÒÇÆ÷
¡¡¡¡ÁùÁª½Á°èÒÇÓÃÀ´½øÐлìÄýÉձʵÑé;×ǶÈÒÇÓÃÓڲⶨʣÓà×ǶÈ;·Ö¹â¹â¶È¼Æ(UV-vis2910,Hita-chi)ÓÃÀ´²âÁ¿»ìÄý¼ÁÖÐÂÁÐÎ̬;Âí¶ûÎ魯âÁ£¶ÈÒÇ(Mastersizer2000)ÓÃÀ´²âÁ¿»ìÄý¹ý³ÌÖеÄÐõÌåÁ£¾¶;ÐõÌå³Á½µÖùÓÃÓڲⶨ²»Í¬Ìõ¼þÏÂÐõÌåµÄ³Á½µÐÔ;Èýάӫ¹â¹âÆ×ÓÃÓڲⶨÓлúÎï×é³É。
¡¡¡¡1.2 ʵÑéËùÓûìÄý¼Á¼°ÂÁÐÎ̬
¡¡¡¡ÊµÑéÑ¡ÔñÂÈ»¯ÂÁ(AlCl3),¾ÛºÏÂÈ»¯ÂÁ(PACl),¸ßЧ¾ÛºÏÂÈ»¯ÂÁ(HPAC)3ÖÖÂÁϵ»ìÄý¼Á。ÀûÓÃFerron±ÈÉ«·¨[9]²â¶¨»ìÄý¼ÁÖÐÂÁÐÎ̬:È¡5.5mLFerron±ÈɫҺ¼Óµ½25mL±ÈÉ«¹ÜÖÐ,²ÉÓÃÈ¥Àë×ÓË®¶¨ÈÝÖÁ25mL,È»ºó¼ÓÈëÒ»¶¨Á¿(΢Éý¼¶)µÄ´ý²âÒº,ѸËÙÒ¡ÔȲ¢¼ÆÊ±,½«Ê¢ÓÐÑùÆ·µÄ±ÈÉ«ÃóÖÃÓÚ·Ö¹â¹â¶È¼ÆÖнøÐÐ×Ô¶¯É¨Ãè,ɨÃèÇø¼äΪ»ìºÏ·´Ó¦ºó30sµ½2h,ɨÃ貨³¤366nm,Ferron±íÕ÷½á¹û¼û±í1,ÆäÖÐAlaÊÇ»ìÄý¼ÁÖÐÓëFerronÊÔ¼ÁÔÚ1minÄÚ·¢Éú·´Ó¦µÄÂÁÐÎ̬²¿·Ö,Ö÷ҪΪµ¥ÌåÂÁ;AlbÊÇ»ìÄý¼ÁÖÐÓëFerronÊÔ¼ÁÔÚ1¡«120minÄÚ·¢Éú·´Ó¦µÄÂÁÐÎ̬²¿·Ö,Ö÷ҪΪµÍ¾Û̬ºÍÖоÛ̬µÄÂÁ;AlcÊÇ»ìÄý¼ÁÖÐÓëFerronÊÔ¼ÁÔÚ120minÄÚÈÔ²»ÄÜ·´Ó¦µÄÂÁÐÎ̬²¿·Ö,Ö÷ҪΪ¸ß¾Û̬µÄÂÁ。
¡¡¡¡1.3 »ìÄýʵÑé³ÌÐò
¡¡¡¡±¾ÊµÑéÔÚ500mLÉÕ±ÖнøÐÐ,»ìÄý³ÌÐò¼û±í2,¾¹ý0.5minµÄ¿ìËÙ½Á°èÖ®ºó,¼ÓÈëËùÐèµÄ»ìÄý¼Á。±¾»ìÄýʵÑé¾ùÉè3×鯽ÐÐÑù,×îÖÕ½á¹ûȡƽ¾ùÖµ。
¡¡¡¡1.4 ÐõÌ寯ËéÓëÔÙÉú³¤ÊµÑé¡£
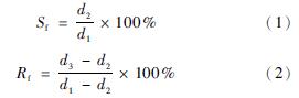
¡¡¡¡¾¹ý10minÂý½Á½áÊøºó,Ìá¸ß½Á°èËٶȵ½50、100、150、200ºÍ500r/min½øÐÐ5.0minµÄÆÆËé,ÆÆËéºóÔÙ¾¹ý10minµÄ40r/minµÄÂý½Á½øÐÐÐõÌå»Ö¸´,ÀûÓÃÂí¶ûÎ魯âÁ£¶ÈÒDzⶨ»ìÄý¹ý³ÌÖеÄÐõÌåÁ£¾¶。ÐõÌåµÄÇ¿¶ÈÒò×Ó(strengthfactor,Sf)、»Ö¸´Òò×Ó(recoveryfactor,Rf)[10-12]µÄ¼ÆË㹫ʽÈçÏÂ:
¡¡¡¡Ê½ÖÐ:d1(¦Ìm)ÎªÆÆËéǰÐõÌåÁ£¾¶;d2(¦Ìm)ÎªÆÆËéºóÐõÌåÁ£¾¶;d3(¦Ìm)ÎªÖØÐÂÐõÄýºóÐõÌåÁ£¾¶。
¡¡¡¡1.5 ʵÑéÖÜÆÚÄÚÔˮˮÖÊÇé¿ö
¡¡¡¡ÊµÑéÖÜÆÚÄÚ¼à²âÔˮˮÖÊ,Ë®ÎÂΪ2.0¡«6.5¡æ,×ǶÈΪ7.12¡«8.30NTU,pHֵΪ8.1¡«8.6,UV254Ϊ0.041¡«0.045cm-1,CODMnΪ2.4¡«2.6mg/L,ÈܽâÑõΪ11.2¡«13.5mg/L。
ÏêÇéÇëÏÂÔØ£º²»Í¬»ìÄý¼Á´¦ÀíµÍεÍ×ÇË®














