1 引言
我国北方是以地下水作为主要饮用水源和工农业用水的地区,但近年来该地区尤其是大中城市及周边的浅层地下水污染问题突出,严重制约了工农业发展和危害人体健康(陈德华等,2008).NH4+-N历来是地下水中的主要污染物.通过对松嫩平原的调查发现,农业生产施用大量的化肥导致了大部分地下水中NH4+-N、亚硝酸盐氮(NO-2-N)超标(王长琪等,2014);对于华北平原而言,在典型剖面上,29%的地下水样NH4+-N均已超过地下水Ⅲ类水质标准,14%的地下水样NH4+-N超过Ⅳ类标准(万长园等,2014).沈阳市是以傍河型地下水源为主的城市,地下水供水量占到供水总量的2/3.傍河取水管井一般布设于浑河、辽河沿岸,但由于两侧工厂污染源的排放,导致河水NH4+-N浓度较高,加之沿岸地质和水文地质结构利于河水补给地下水,导致地下水中NH4+-N污染严重(杨维等,2007).
渗透反应格栅(Permeable Reactive Barrier,PRB)是一种常用的地下水原位修复技术(王业耀等,2004).其中,采用沸石构建的PRB因对NH4+-N具有优先选择交换、再生容易和运行成本低及温度适用范围广等特点,被广泛运用于地下水修复.此外,沸石的吸附作用与微生物的硝化作用联用也得到了学者们的关注,沸石可以为微生物提供附着场所,微生物可以将沸石吸附的NH4+-N降解,二者又可以与PRB技术相结合,并在室内研究中证明了其可行性.
PRB的设计除依据目标污染物的污染羽特征之外,还要与修复场地的水文地质特征相结合.一般来说,PRB构建深度一般在地面以下不超过30 m.针对更大深度的地下水污染羽,PRB的适用性尚不明确.同时,受我国经济发展水平和其他技术条件的制约,国内PRB基本以室内研究为主,而工程应用性研究较少(侯国华,2014),致使PRB在调查设计及施工方面可以借鉴的经验有限.
本文针对沈阳市地下饮用水源水中NH4+-N问题,通过现场踏勘、结合室内实验等手段,查清了研究区水文地质和水质特征,获取了PRB设计参数(包括介质的最大吸附量、渗透系数、介质复配方案、设计方案、格栅厚度等),提出了PRB构建思路,构建了示范工程尺度的PRB,以期为实际场地的PRB设计与构建提供理论依据和技术支持.
2 研究区概况
研究区是位于浑河中下游的一个傍河型地下水源地,面积约36 km2,分布有约60口水源井,其中,15#水源井为目标井,水源井保护区范围距离浑河150~200 m.该区属于辽河平原东北浑河冲洪积扇地,冲洪积扇第四纪地层发育齐全,主要由下更新统冰水沉积层、上更新统冲洪积、坡洪积层、全新统冲积、冲洪积层等地层构成,厚度由东向西逐渐变厚,总趋势为由东北向西南逐渐降低,坡降0.75%,地面高程平均为海拔45~50 m.东部上缘宽9 km,高程60 m;扇面下缘宽28 km,高程30 m;扇东西长40 km.
2.1 究区地下水补给、径流和排泄条件
研究区地下水主要补给来源是大气降雨入渗、浑河入渗和地下侧向径流.大气降雨入渗补给多集中在每年的7、8、9月份,多年平均降雨量多在650 mm左右;地下水位低于浑河水位,浑河水常年通过垂向和侧向入渗补给潜水含水层;地下水基本上呈北东至南西方向流动,水力坡度逐渐减小,该区地下水在接受来自东南、东北、西北边界地区地下水的汇流后,向南西边界地区径流排泄.
研究区地下水主要排泄方式是人工开采,其中,工业开采常年连续稳定且开采量大,用于供给工业用水及城镇居民生活用水;农业用水开采量并不大.人类大量开采地下水导致区内地下水位埋深很大(10~11 m),进而地下水蒸发排泄降至很小甚至可以忽略.侧向径流排泄较弱,有时甚至变为侧向补给.
2.2 研究区水文地质条件
研究区位于浑河中下游高漫滩及一级阶地,地层岩性结构特征相对比较简单,除表层分布有4 m左右的亚砂土和壤土外,岩层岩性为中粗砂及粗砂夹卵砾石,卵砾石含量及粒径随着距河流距离的增加而减少.在粗砂夹卵砾石的岩层中有不连续的粘土层分布,靠近浑河处厚度1~2 m,随着距浑河距离的增加,厚度可增加至5 m.
研究区地下40 m处有粘土层且连续分布,区内的浅层地下水赋存于第四系全新统孔隙潜水含水层和承压水含水层.潜水含水层埋深约10~12 m,底板位于埋深40 m处,含水层有效厚度30 m,下伏有粘土和淤泥质粘土构成的弱透水层,厚度4~6 m(图 1).该潜水含水层主要受浑河补给,是NH4+-N超标的主要含水层.
图 1 研究区水文地质剖面图
抽水试验和高密度电法物探结果表明:研究区的渗透系数平均为60~80 m · d-1;地表水对地下水的补给主要以底部渗漏为主,基本不存在侧向补给.天然条件下河水首先补给第一含水层,部分水会通过天窗继续补给第二含水层,随着地下水开采量的增加,在第一粘土层和第二粘土层之间存在越流补给.
2.3 研究区地下水NH4+-N污染特征
河水和地下水样品检测结果表明,受季节因素和上游污染物浓度变化的影响,浑河中NH4+-N浓度变化较为明显,枯水期(3月),河水中的NH4+-N浓度较高(7~10 mg · L-1),导致研究区15#水源井地区NH4+-N浓度较高(>2 mg · L-1);丰水期(6月)和平水期(9月),河水中NH4+-N浓度均较低(<4 mg · L-1),但研究区15#水源井(150~200 m)NH4+-N浓度依然在2 mg · L-1以上(图 2).产生这种现象的原因可能是枯水期残存在含水层中的NH4+-N解吸所致.可见,浑河是研究区NH4+-N污染的主要来源,其污染分布特征是由浑河始,沿浑河逐步向外部地下含水层扩散.
图 2 研究区NH4+-N分布图
3 PRB设计参数的获取
3.1 反应介质对NH4+-N的吸附特征
热力学实验:向去离子水中投加NH4Cl配置的10组不同浓度的NH4+-N溶液(20、50、100、150、200、250、300、350、400和500 mg · L-1).向聚乙烯瓶中投加1 g粒径为0.9~2.0 mm的沸石和100 mL不同质量浓度的溶液,置入SHZ-03水浴振荡器中,转速设定为150 r · min-1,反应温度设定为25 ℃,反应时间设定为24 h,每组设置3个平行样.反应结束后,迅速将溶液放入离心管中,4000 r · min-1离心后取上清液进行测试.
动力学实验:向聚乙烯瓶中投加1g粒径分别为0.9~2.0 mm和3.3~4.0 mm的沸石和100 mL NH4+-N浓度为500 mg · L-1和50 mg · L-1的溶液,置入H2Q-C空气浴振荡器中,反应温度设定为25 ℃,振荡转速设定为150 r · min-1.反应时间依次为0、5、10、20、30、60、120、300、540和1440 min,每组设置3个平行样.反应结束后,迅速将溶液放入离心管中,4000 r · min-1离心后取上清液进行测试.
通过热力学和动力学模型的拟合可以看出,法库天然沸石对NH4+-N的吸附过程符合Langmuir方程, R2达到0.973,最大吸附量qm=10.41 mg · g-1(图 3a).由Freundlich方程拟合发现,吸附速率常数k=1.804,N=0.311,表明NH4+-N易于被沸石吸附.当液相NH4+-N浓度小于100 mg · L-1时,沸石吸附量增加较快,随着NH4+-N浓度的增加,沸石吸附量的增加速率变得平缓,这是因为沸石表面的吸附点位逐渐达到饱和(张英,2012).
图 3 法库天然沸石对NH4+-N的等温吸附线(a,25℃)和吸附动力学(b,准二级模型)
动力学参数拟合发现,粒径0.9~2.0 mm的沸石较粒径3.3~4.0 mm的沸石吸附速率明显较快(图 3b),可知表面粒径越小的沸石对NH4+-N的吸附速率越快.沸石粒径越小,沸石单位面积可供交换的离子越多,从而增加了对NH4+-N的吸附能力(张晖,2005;徐电波,2013),同时,还可以发现沸石对NH4+-N是一个“快速吸附,缓慢平衡”的过程.总的来看,沸石可以有效快速地去除地下水中NH4+-N,且吸附量较大.
3.2 反应介质渗透系数的获取
一般来说,含水层渗透系数(Ka)在1~5 m · d-1之间时,反应介质渗透系数(Kp)对溶质运移总量影响不大,当Kp/Ka≥10时,增加Kp对促进溶质运移作用较小(牛少凤等,2009).PRB截获宽度在Ka一定时随着Kp增加而增加,但当Kp/Ka大于10时,相对截获区宽度变化基本不大(Liu et al., 2011; 严建伟,2013),同时当Kp/Ka大于10时,由沉淀或者其他原因导致Kp减少不会引起截获宽度的大量减小.因此,只要保证Kp/Ka≥10,PRB能够避免沉淀对截获宽度的影响.
对法库沸石(3~5 mm)进行了达西实验,利用达西定律,计算出理想条件下该沸石的渗透系数为Kp =0.009 m · s-1=777.6 m · d-1,而场地含水层介质Ka=80 m · d-1.可见,Kp/Ka基本约等于10,表明3~5 mm分选性较好的沸石颗粒完全能够满足PRB设计中对反应介质渗透系数的要求.
3.3 介质复配方案比选
本次研究设计了6根实验柱,污染物采用地下水配制,至上而下进水方式,提出了5种介质复配方 案(表 1):柱1(PRB1):模拟天然条件下含水层的自净能力;柱2(PRB2):考察依靠天然斜发沸石的吸附作用去除地下水中NH4+-N;柱3(PRB3):释氧材料(ORC),用于释放氧气;沸石,利用沸石的吸附作用和生物硝作用实现NH4+-N的去除;柱4(PRB4):NH4+-N去除机理与PRB 3相似,但陶粒比沸石更利于微生物附着;柱5(PRB5):陶粒与沸石混合,去除机理与PRB 3类似;柱6(PRB6):去除机理及效果与PRB 3类似,铁颗粒主要用于将硝化作用生成的硝酸盐氮(NO3--N)还原.


表 1 柱实验设计
NH4+-N在柱实验中的去除涉及两种作用,一种是沸石的离子交换性能,另外一种是硝化细菌的硝化作用,具体如下.
离子交换反应:
硝化细菌硝化反应:
柱实验结果表明,在PRB 1中,依靠天然河沙的自净作用,NH4+-N去除效率最高只有40%,出水NH4+-N浓度依然较高(5.7~9.7 mg · L-1),达不到有效去除NH4+-N的目的.在PRB 2中,NH4+-N的去除率高达99%,出水NH4+-N浓度较低(<0.02 mg · L-1),但沸石对NH4+-N的吸附只是将其从液相转移到固相,存在吸附饱和问题,并未将其彻底去除.
在PRB3中,NH4+-N在沸石的吸附作用和微生物作用下迅速被去除,微生物作用使NH4+-N部分转化为NO3--N,可以延长沸石使用寿命和促进沸石的生物再生.PRB 3对NH4+-N的去除率高达99%,NO3--N生成量在2.1~19.7 mg · L-1之间变化.
在PRB4和PRB5中,其NH4+-N去除机理和效果与PRB 3类似,PRB 3中,NO3--N生成量在2.1~19.7 mg · L-1之间,PRB 4和PRB 5中,NO3--N生成量分别在2.4~27.6 mg · L-1和3.1~18.6 mg · L-1之间.更重要的是,在PRB 4和PRB 5中,NO3--N在出水中随时间的变化规律可以看出,相对于PRB 3而言,PRB4和PRB5中NO3--N的积累更稳定,因此可以推测,陶粒的挂膜效果较沸石稍好一些,陶粒、沸石均匀混填的复配方式能更好地利用沸石的吸附特性和微生物在陶粒上的易挂膜性,使PRB4和PRB5获得的硝化作用更强烈,NO3--N积累更稳定,硝化作用对NH4+-N去除的贡献量更大.
在PRB6中,生成的NO3--N(4~20.6 mg · L-1)部分被铁还原(其主要产物为NH4+-N 2.0~9.5 mg · L-1),部分被反硝化为氮气(<8 mg · L-1),导致出水NH4+-N浓度较高(>2.0 mg · L-1),达不到高效去除NH4+-N的目的.
综上所述,PRB1、PRB6不能实现NH4+-N的有效去除,PRB2、PRB3、PRB4及PRB5对NH4+-N去除效果明显(去除率>99%).但PRB 2存在沸石吸附饱和问题,PRB 3 能解决沸石吸附饱和的问题且造价低廉,PRB 4及PRB 5使用的陶粒价格昂贵,但对生物硝化的增强作用并不特别明显.沸石的购买价格为120元 · t-1,陶粒为1000元 · t-1,综合考虑成本、运行效果及寿命等各方面因素影响,PRB3的工程应用价值最高,因此,建议工程示范中采用ORC+沸石分层填充的复配方式.
3.4 PRB设计方案的选择
基于研究区条件,设计PRB长15 m左右、深40 m、在下游抽水井(距离PRB 1 m位置)抽水量(Q)120 m3 · d-1的情况下PRB应能够获得最大水力截获面积,使得进入抽水井的水都能得到处理.利用 Visual Modflow中的 particle-tracking 程序包,对地下水质点运移轨迹进行了计算,不同的PRB构建方案模拟效果如图 5和图 6所示.
图 5 直线型PRB截获区(a,直线部分15 m)、30°连续PRB截获区(b,PRB直线部分6.25 m,弧部分2×4.5 m)、 45°连续PRB截获区(c,PRB直线部分6.25 m,弧部分2×4.5 m)、 60°连续PRB截获区(d,直线部分6.25 m,弧部分2×4.5 m)效果模拟(图中垂直方向的线表示地下水等水位线(单位:m),水平箭头方向表示地下水流向)
通过对以上PRB构建方案进行对比(图 5),由于场地受抽水的影响,带有一定弧度的PRB在同等长度(15 m)下能够获取相对较大的截获宽度,保证目标井的水质安全.并且不同角度之间,当PRB平行于拟建位置的等水位线时,处理效果会更好.综合考虑场地的水文地质条件、水力条件、施工条件及处理效果,45°弧度的连续型PRB方案更具优势(图 5c).
3.5 PRB厚度的选择
实验条件下获得NH4+-N在沸石中运移的迟滞因子(R)为283.147,在抽水条件下(Q=120 m3 · d-1)PRB处地下水流速V0约为0.63 m · d-1,NH4+-N通过反应介质的运移速度V=V0/R,约为0.0022 m · d-1.NH4+-N的微生物降解半衰期约为1 d,假设初始浓度为10 mg · L-1的NH4+-N在生物作用下能够完全转化为NO3--N,则到目标浓度0.5 mg · L-1以下需经过5个半衰期,因此,单独依靠生物转化去除NH4+-N的时间为5 d.
在保证被反应介质吸附的NH4+-N能够完全被生物去除所需的时间条件下,可得PRB的厚度B=0.0022 m · d-1×5 d≈0.011 m.考虑到实际运行过程中的水质波动及其他环境条件变化对微生物的影响,选取安全因子为3.0,因此,示范工程应保证PRB厚度不小于0.033 m.
考虑到PRB运行寿命及冬季微生物活性降低的情况,设计PRB运行年限(T)为10年,根据含水层特点,PRB有效深度(H)需为30 m,拟设计PRB长度(L)为15 m,沸石密度(ρ)为1.70 kg · m-3,孔隙度(n)为0.4,研究区抽水量为120 m3 · d-1,地下水全部通过PRB进入抽水井,可得PRB日处理水量(Q)为120 m3,NH4+-N浓度(C0)为10 mg · L-1,沸石饱和吸附量(qmax)为4.74 mg · g-1(供应商提供,室内实验中得到的值远大于此).假设水体中75%的NH4+-N可依靠硝化作用而被转化为NO3--N去除(参照中试柱实验结果),其余25%完全依靠沸石进行吸附.
连续运行10年通过沸石吸附的NH4+-N总量q(NH4+-N)=q×T×365×C0×25%=1095 kg(以氮计);所需沸石总量G(沸石)=Q(NH4+-N)/qmax(沸石)=231.1 t;所需沸石体积V(沸石)=G(沸石)/ρ(沸石)=135.89 m3;考虑孔隙体积后PRB总体积V(总)=V(沸石)/(1-n)=226.48 m3;PRB厚度B=V(总)/(H×L)=0.50 m.
以PRB正常运行10年为设计基础,示范工程PRB厚度应为0.50 m.考虑到实际条件的复杂性,示范工程选取PRB厚度为1 m,并保证PRB最小有效厚度不小于0.6 m.
4 PRB示范工程的构建
4.1 PRB示范工程构建方案
根据实际场地条件构建的PRB系统由反应系统和监测系统组成(图 6),其中,反应系统由吸附-生物PRB构成(15 m×1 m×40 m),内填沸石(粒径3~5 mm).监测系统由PRB内部监测井(M1~M10),前部监测井(F1~F4)和后部监测井(B1~B5)构成,单井内径200 mm、深40 m(图 7).PRB示范工程(4.5 m+6.25 m+4.5 m)为两个边翼呈45°向目标井P1弯曲,以便能够最大截获进入P1井的上游来水.
为了便于添加ORC,通过ORC与地下水接触释放氧气增加反应系统中的溶解氧,增强生物硝化反应,进而达到生物氧化NH4+-N的目的,在PRB系统上游3 m处设置了5口释氧井,平行于PRB 1行5列布置,井径400 mm,在埋深14~35 m处为氧气释放部位.当地下水中NH4+-N含量较低时,ORC可以暂不放入.
值得注意的是,为了防止受污染的地下水从PRB底部绕流,PRB垂直安装于地下40 m的潜水含水层隔水底板上.
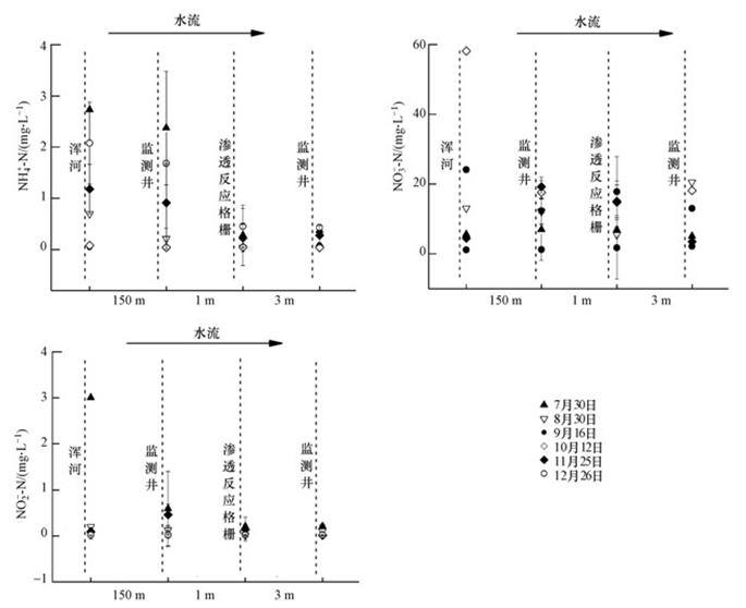
图 7 2012年示范工程监测数据(浑河和监测井之间的距离是150 m,PRB距离监测井的距离分别是1 m和3 m)
4.2 PRB示范工程构建
针对研究区含水层厚度大、地下水埋藏深、含水层介质渗透系数大的特点,PRB示范工程采用了高压旋喷水泥帷幕固定包气带,结合深层连续钻探的反应墙构筑技术及井填式的反应介质安装技术,突破了PRB技术应用构建不超过30 m的极限,解决了一般反应墙可能存在的不连续性问题.
高压旋喷水泥帷幕技术主要用于解决在施工过程中包气带松散岩层的坍塌问题,通过水泥帷幕将研究区含沙较多的松散岩层固定,避免在施工挖掘过程中出现岩层坍塌堵塞钻孔.深层连续钻探技术采用大型旋挖机进行PRB的构建,以解决大深度PRB的连续施工问题.
5 PRB的运行效果
为便于对PRB示范工程修复效果及有效性进行评估,通过监测系统对PRB的上下游及内部的地下水污染变化特征进行监测,评估PRB的修复效果及对场地地球化学条件的影响.地下水主要监测指标包括pH、Eh、DO、碱度、三氮、TDS及主要的阴阳离子.除了每月定期监测这些指标外,为了增加数据的可靠性及准确度,临时增加PRB附近其他采样点的样品采集测试分析.
PRB 反应介质主要是天然沸石,其对NH4+-N的去除依靠沸石的吸附作用和附着在沸石表面的微生物的硝化作用共同实现.基于柱实验PRB 3的实验设计,PRB示范工程是ORC安置在PRB前部,沸石填充于PRB后部,二者有机结合,共同实现NH4+-N的去除.为考察天然条件下地下含水层中微生物活性强弱,ORC暂不加入到PRB中.
依靠沸石的吸附作用和天然条件下的微生物活动,在地下水流速0.63 m · d-1左右和进水NH4+-N浓度波动的情况下,PRB示范工程保持着较高的NH4+-N去除效率.因抽水井取水深度在25 m处,PRB示范工程NH4+-N取样点选择在25 m处.因取样点在第二含水层,NH4+-N进水浓度比潜水含水层较低,进水浓度在0.08~2.73 mg · L-1间波动,经过PRB处理后,出水NH4+-N浓度均0.5 mg · L-1的限值要求(地下水四类水标准)(图 7).
同时,格栅出水中NO3--N和NO-2-N也发生了相应的变化(图 7).总体来说,NO3--N浓度略有升高,NO-2-N浓度逐渐降低,据此推测在PRB内略微发生了生物硝化作用.可见,PRB示范工程初步实现了沸石吸附和微生物硝化的耦合.另外,可以推测,日后添加ORC材料会增强生物硝化能力.
6 结论
在研究区调查的基础上,结合室内批试验及柱实验和数值模拟,通过工程措施,成功突破了大深度PRB的构建限制,实现了在较复杂含水层中PRB的设计、构建和应用.带有一定弧度的PRB设计,能更有效的实现地下水截获,保护水源井.沸石的吸附作用结合微生物的硝化作用在实际地下水氨氮修复中的应用是可行的,能保证PRB氨氮出水浓度低于0.5 mg · L-1,且硝酸盐氮和亚硝酸盐出水浓度符合地下水三类水标准.














