¡¡¡¡½ü¼¸ÄêÀ´£¬¸ß¼¶Ñõ»¯·¨(AOPs)Õ¼¾ÝÁËʯÓÍ»¯¹¤ÆóÒµ·ÏË®Éî¶È´¦Àí¼°»ØÓÃÁìÓòµÄÖ÷µ¼µØÎ»¡²1¡³¡£ÈËÃÇ·¢ÏÖ£¬¾AOPs´¦ÀíºóµÄ·ÏË®¾ßÓкܸߵĿÉÉú»¯ÐÔ£¬Í¬Ê±´ó´ó½µµÍÁ˳öË®COD¡£Ê¯»¯·ÏË®µÄ¶þ¼¶³öË®³É·Ö¸´ÔÓ£¬ÇÒ¶àΪÈܽâÐÔÄÑÉúÎï½µ½âµÄÓлúÎÆäÖжÔCOD¹±Ï׽ϴóµÄÊǺ¬²»±¥ºÍ¼üµÄÄѽµ½âÓж¾ÓлúÎ2¡³¡£ÓÉÓÚ¸ÃÀà·ÏË®¿ÉÉú»¯ÐԽϲֱ½ÓÓ¦ÓÃÉúÎï¼¼Êõ¶ÔÆä½øÐд¦ÀíÍùÍùЧ¹û²»¼Ñ£¬ÐèÒª½øÐÐÔ¤´¦ÀíÒÔÌá¸ß·ÏË®µÄ¿ÉÉú»¯ÐÔ¡²3¡³¡£
¡¡¡¡³ôÑõ×÷ΪһÖÖÇå½àÄÜÔ´£¬¾ßÓм«Ç¿µÄÑõ»¯ÐÔ£¬¶Ô·ÏË®ÖÐÓлúÎïµÄÈ¥³ýЧ¹ûÃ÷ÏÔ£¬ÇÒÄܸıäÄѽµ½âÓлúÎïµÄ·Ö×ӽṹ¡²4¡³£¬ÔÚ¸øÅÅË®´¦ÀíÖÐÒ»Ö±Êܵ½¹ã·ºµÄ¹Ø×¢¡£È»¶øµ¥¶ÀʹÓÃO3Ñõ»¯£¬²»×ãÒÔ½«Äѽµ½âÎÛȾÎï³¹µ×·Ö½â¡£²ÉÓÃÓëUV/H2O2ÁªÓõŤÒÕ£¬ÔòÄܲúÉúÑõ»¯ÐÔ¼«Ç¿µÄôÇ»ù×ÔÓÉ»ù¡¤OH£¬´Ó¶øÊ¹ÄÑÉúÎï½µ½âÓлúÎïµÃµ½ÓÐЧ½µ½â¡£UV/H2O2¼¼Êõ×î³õÓÃÓÚÒûÓÃË®µÄ´¦Àí£¬´¦Àí¹ý³Ì½öÐèÒªH2O2Ͷ¼ÓÉ豸ºÍUVµÆÄÜÔ´£¬¶ÔζȺÍѹÁ¦ÎÞÒªÇó£¬ÊǽÏΪÀíÏëµÄÉî¶È´¦Àí¼¼Êõ¡£±¾Ñо¿²ÉÓÃO3/UV/H2O2ÁªÓõķ½·¨¶ÔÀ¼ÖÝijʯ»¯ÆóÒµÎÛË®´¦Àí³§µÄ¶þ¼¶³öË®½øÐд¦Àí£¬¿¼²ìÁËO3Ͷ¼ÓÁ¿¡¢UV¹âÕÕʱ¼ä¡¢n(H2O2)/n(O3)¡¢ÔË®pHµÈÒòËØ¶ÔCODÈ¥³ýЧ¹ûµÄÓ°Ï죬ͬʱ̽ÌÖÁËO3Ͷ¼ÓÁ¿¡¢ÔË®pH¶Ô·ÏË®¿ÉÉú»¯ÐÔµÄÓ°Ïì¡£
¡¡¡¡1 ²ÄÁÏÓë·½·¨
¡¡¡¡1.1 ʵÑ鹤ÒÕÓë×°ÖÃ
¡¡¡¡ÊµÑé²ÉÓÃO3 /UV/H2O2ñîºÏ¹¤ÒÕ£¬×°ÖÃÈçͼ 1Ëùʾ¡£
ͼ 1 O3/UV/H2O2¸ß¼¶Ñõ»¯ÊµÑé×°ÖÃʾÒâ
1-ÑõÆøÆ¿;2-³ôÑõ·¢ÉúÆ÷;3-ÆøÌåÁ÷Á¿¼Æ;4-ÆØÆøÍ·;5-Ñ»·±Ã;6-AOPs·´Ó¦Æ÷;7-Ë«ÑõË®¹Þ;8-ÒºÌåÁ÷Á¿¼Æ;9-×ÏÍâµÆ;10-½øË®Ë®Ïä;11-³öˮˮÏä¡£
¡¡¡¡AOPs·´Ó¦Æ÷²ÉÓøß30 cm¡¢ÄÚ¾¶15 cm¡¢ÈÝ»ý5 LµÄÓлú²£Á§Ë®Ï䡣ˮÏäÖÐ×°ÓÐ25 W×ÏÍâµÆ£¬ÍâÌ×ʯӢ¹ÜÌ×ÒÔ·À±»Ñõ»¯¡£O3ÓɳôÑõ·¢ÉúÆ÷·´Ó¦ÖƱ¸£¬¾¹ýÆøÌåÁ÷Á¿¼ÆÍ¨ÈëAOPs·´Ó¦Æ÷£¬³ö¿ÚÔöÉèÆØÆøÍ·£¬ÑÓ³¤Óë·ÏË®½Ó´¥Ê±¼ä£¬Í¬Ê±¼õÐ¡ÆøÅÝ´óС£¬ÒÔÌá¸ßO3ÀûÓÃÂÊ¡£H2O2¾ÒºÌåÁ÷Á¿¼Æ¼ÓÈëAOPs·´Ó¦Æ÷¡£ÊµÑéʱÔË®ÓɽøË®Ë®ÏäÖØÁ¦Á÷Èë·´Ó¦Æ÷£¬ÔÚÑ»·±ÃÅäºÏ¼°UV¹âÕÕÏÂÓëO3¡¢H2O2³ä·Ö·´Ó¦ºó£¬Óɵײ¿µÄ³öË®¿ÚÁ÷Èë³öˮˮÏä¡£
¡¡¡¡1.2 ʵÑéË®ÖÊ
¡¡¡¡±¾ÊµÑéÒÔÀ¼ÖÝij´óÐÍʯ»¯ÆóÒµÎÛË®×ۺϴ¦Àí³§¶þ¼¶³öˮΪÑо¿¶ÔÏ󣬯äË®ÖÊ£ºCOD 100¡«130 mg/L£¬UV254 0.5¡«0.8 cm-1£¬NH3-N 3¡«5 mg/L£¬BOD5¡Ü10 mg/L£¬TP¡Ü1 mg/L£¬×Ç¶È 40¡«60 mg/L£¬pH 5.8¡«9.4¡£
¡¡¡¡1.3 ¼ì²âÏîÄ¿Óë·ÖÎö·½·¨
¡¡¡¡COD£ºÖظõËá¼Ø·¨£¬722ÐͿɼû¹â·Ö¹â¹â¶È¼Æ;BOD5£ºÏ¡ÊͽÓÖÖ·¨£¬JPB-607ÈܽâÑõÒÇ;pH£º²£Á§µç¼«·¨£¬pHS-3C(A)Ð;«ÃÜËá¶È¼Æ¡£
¡¡¡¡2 ½á¹ûÓëÌÖÂÛ
¡¡¡¡2.1 CODÈ¥³ýÂÊÓ°ÏìÒòËØÑо¿
¡¡¡¡2.1.1 O3Ͷ¼ÓÁ¿¶ÔCODÈ¥³ýÂʵÄÓ°Ïì
¡¡¡¡O3Ͷ¼ÓÁ¿Îª±¾¹¤ÒÕµÄÖØÒªÓ°ÏìÒòËØ£¬Ö±½ÓÓ°ÏìË®´¦Àí·ÑÓú;»»¯Ð§¹û¡£È¡Ë®Ñù4 L(pH=7.6)£¬µ¥¶ÀͶ¼ÓO3£¬¿¼²ìO3Ͷ¼ÓÁ¿¶ÔCODÈ¥³ýÂʵÄÓ°Ï죬½á¹ûÈçͼ 2Ëùʾ¡£
ͼ 2 O3Ͷ¼ÓÁ¿¶ÔCODÈ¥³ýÂʵÄÓ°Ïì
¡¡¡¡ÓÉͼ 2¿ÉÒÔ¿´³ö£¬O3Ͷ¼ÓÁ¿Îª0¡«62.63 mg/Lʱ£¬Ëæ×ÅO3Ͷ¼ÓÁ¿µÄÔö¼Ó£¬³öË®COD³ÊÃ÷ÏÔϽµÇ÷ÊÆ¡£O3¿ÉÓëË®ÖÐOH- ͨ¹ý·´Ó¦Éú³ÉÑõ»¯ÐÔ¼«Ç¿µÄ¡¤OH¡²5¡³£º
¡¡¡¡ÔÚͨÈëO3µÄ³õÆÚ£¬Ë®ÖÐO3Ũ¶È½ÏµÍ£¬ÓлúÎÛȾÎïµÄŨ¶ÈÔ¶´óÓÚO3µÄŨ¶È£¬O3µÃµ½³ä·ÖÀûÓã¬ÎÛȾÎﱻѸËÙÑõ»¯£¬CODÈ¥³ýÂʳÖÐøÉý¸ß¡£µ±O3Ͷ¼ÓÁ¿>62.63 mg/Lʱ£¬³öË®CODÉÏÉý¡£ÕâÊÇÒòΪ³ÖÐøÍ¶¼ÓO3¿É·¢ÉúÈçϸ±·´Ó¦£º
¡¡¡¡¹ýÁ¿µÄO3ÏûºÄÁËË®Öеġ¤OH£¬ÇÒ²úÉúµÄ¹ýÑõôÇ»ù×ÔÓÉ»ù¡¤HO2µçλ²»¸ß¡²6¡³£¬¶ÔÄѽµ½âÓлúÎïµÄÑõ»¯×÷ÓúÜС£¬Ê¹µÃÕû¸öϵͳÑõ»¯ÄÜÁ¦Ï½µ£¬µ¼ÖÂCODÈ¥³ýÂÊϽµ¡£Ñ¡Ôñ×î¼ÑO3Ͷ¼ÓÁ¿Îª62.63 mg/L¡£
¡¡¡¡2.1.2 UVÕÕÉäʱ³¤¶ÔCODÈ¥³ýÂʵÄÓ°Ïì
¡¡¡¡ÔÚO3/UVÌåϵÏ£¬ÔÚÔË®pHΪ7.6£¬O3Ͷ¼ÓÁ¿Îª62.63 mg/L£¬UV¹¦ÂÊΪ25 WµÄÌõ¼þÏ£¬¿¼²ìÁ˹âÕÕʱ¼ä¶ÔCODÈ¥³ýÂʵÄÓ°Ï죬½á¹ûÈçͼ 3Ëùʾ¡£
ͼ 3 ¹âÕÕʱ¼ä¶ÔCODÈ¥³ýÂʵÄÓ°Ïì
¡¡¡¡×ÏÍâ¹âµÄ´æÔÚ¿ÉÒÔÔö¼Óµ¥Î»ÈÜÒºµÄÄÜÁ¿Ãܶȣ¬²úÉú¸ü¶àµÄÓÐЧ¹â×Ó¡²7¡³£¬Ê¹CODÈ¥³ýÂÊÃ÷ÏÔÓÅÓÚÎÞ×ÏÍâ¹âÌõ¼þ¡£ÊµÑé½á¹û±íÃ÷£¬µ±¹âÕÕʱ¼äΪ0¡«15 minʱ£¬Ëæ×ŹâÕÕʱ¼äµÄÔö¼Ó£¬CODÈ¥³ýÂÊÏÔÖøÌáÉý¡£ÕâÊÇÒòΪUV±¾Éí¾ßÓÐÖ±½ÓÑõ»¯ÓлúÎïµÄ¹¦ÄÜ£¬Í¬Ê±¿ÉÓëË®ÖÐO3·¢ÉúÈçÏ·´Ó¦£º
¡¡¡¡·´Ó¦Éú³ÉÁË¡¤OH£¬Ìá¸ßÁËÕû¸ö¹â»¯Ñ§·´Ó¦µÄËÙÂÊ¡£µ«µ±¹âÕÕʱ¼ä>15 minʱ£¬CODÈ¥³ýÂʲ»Ôö·´½µ£¬ÕâÊÇÓÉÓڹ̶¨µÄO3Ͷ¼ÓÁ¿ÔÚUV³ÖÐøÕÕÉäϱ»ÂýÂýÏûºÄ£¬·´Ó¦Ëù²úÉúµÄ¡¤OHŨ¶È½µµÍ£¬Ôì³ÉCODÈ¥³ýÂÊϽµ¡£Ñ¡Ôñ×î¼ÑÕÕÉäʱ¼äΪ15 min¡£
¡¡¡¡2.1.3 H2O2Ͷ¼ÓÁ¿¶ÔCODÈ¥³ýÂʵÄÓ°Ïì
¡¡¡¡ÓÉ·´Ó¦Ê½(4)¡¢(5)¿ÉÒÔ¿´³ö£¬O3ÔÚUVµÄ×÷ÓÃÏ¿ÉÒÔÉú³ÉÒ»¶¨Á¿µÄH2O2£¬²¢ÓÕ·¢²úÉú¡¤OH¡£Òò´Ë£¬¼ÓÈëH2O2Äܹ»ÐÖúO3²úÉú¸ü¶àµÄ¡¤OH£¬´Ó¶øÊ¹CODÈ¥³ýËٶȸü¿ì£¬Ð§Âʸü¸ß¡£ÔÚO3Ͷ¼ÓÁ¿Îª62.63 mg/L£¬UV¹¦ÂÊΪ25 W£¬UV¹âÕÕʱ¼äΪ15 min£¬pH=7.6µÄÌõ¼þÏ£¬¿¼²ìÁËn(H2O2)/n(O3)¶ÔCODÈ¥³ýÂʵÄÓ°Ï죬½á¹ûÈçͼ 4Ëùʾ¡£
ͼ 4 n£¨H2O2£©/n£¨O3£©¶ÔCODÈ¥³ýÂʵÄÓ°Ïì
¡¡¡¡ÊµÑé½á¹û±íÃ÷£¬µ±n(H2O2)/n(O3)ÔÚ0¡«0.5·¶Î§ÄÚʱ£¬Ëæ×Ån(H2O2)/n(O3)µÄÔö´ó£¬CODÈ¥³ýÂÊÃ÷ÏÔÉÏÉý¡£ÕâÊÇÓÉÓÚµ±Í¶¼Ó²»Í¬Á¿µÄH2O2ʱ£¬H2O2Ê×ÏÈ¿ÉÓëO3·¢Éú·´Ó¦²úÉú´óÁ¿µÄ¡¤OH¡²8¡³£º
¡¡¡¡Í¬Ê±£¬H2O2×ÔÉí·¢Éú½âÀë·´Ó¦Éú³ÉHO2-£º
¡¡¡¡ÓÉÓÚHO2-ºÍ¡¤OHµÄ¹²Í¬×÷Óã¬Ê¹CODÈ¥³ýЧ¹û¸ü¼ÓÃ÷ÏÔ¡£µ±n(H2O2)/n(O3)>0.5ʱ£¬CODÈ¥³ýÂÊÎȲ½ÉÏÉýµ«±ä»¯·ù¶ÈºÜС£¬ÕâÊÇÒòΪ¹ýÁ¿µÄH2O2»á·¢ÉúÈçϸ±·´Ó¦£º
¡¡¡¡¹ýÁ¿µÄH2O2ÏûºÄÁËË®Öеġ¤OH£¬ÇÒ²úÉúµÄ¡¤HO2¶ÔÓлúÎïµÄÑõ»¯×÷ÓúÜС£¬µ¼ÖÂCODÈ¥³ýÂʱ仯Éõ΢¡£Ñ¡Ôñ×î¼Ñn(H2O2)/n(O3)Ϊ0.5¡£
¡¡¡¡2.1.4 ÔË®pH¶ÔCODÈ¥³ýÂʵÄÓ°Ïì
¡¡¡¡ÔË®pHÊÇÓ°Ïì¸ß¼¶Ñõ»¯¹¤ÒÕµÄÖØÒªÒòËØ¡£ÔÚO3Ͷ¼ÓÁ¿Îª62.63 mg/L£¬UV¹¦ÂÊΪ25 W£¬UVÕÕÉäʱ¼äΪ15 min£¬n(H2O2)/n(O3)Ϊ0.25µÄÌõ¼þÏ£¬¿¼²ìÁËpH¶ÔCODÈ¥³ýÂʵÄÓ°Ï죬½á¹ûÈçͼ 5Ëùʾ¡£
ͼ 5 ÔË®pH¶ÔCODÈ¥³ýÂʵÄÓ°Ïì
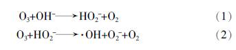
¡¡¡¡Ë®ÌåpHµÄ¸ßµÍÖ±½ÓÓ°Ïì×ÅͶÈëË®ÖеÄO3ºÍH2O2µÄ·Ö½âÒÔ¼°¡¤OHµÄ²úÉú£¬´Ó¶øÓ°ÏìCODµÄÈ¥³ýЧ¹û¡£ÔÚÉú³É¡¤OHµÄÁ´Ê½·´Ó¦¡²¼û·´Ó¦Ê½(1)¡¢(2)¡³ÖУ¬¸ßŨ¶ÈµÄHO2-ÓÐÀûÓÚ¡¤OHµÄÉú³É£¬¶øHO2-µÄŨ¶ÈºÜ´ó³Ì¶ÈÉÏÈ¡¾öÓÚË®ÌåµÄËá¼îÐÔ¡²9¡³¡£
¡¡¡¡ÊµÑé½á¹û±íÃ÷£¬µ±pHΪËáÐÔʱ£¬Ëæ×ÅpHµÄÉý¸ß£¬CODÈ¥³ýÂʳÊÉÏÉýÇ÷ÊÆ£¬µ«±ä»¯·ù¶È½ÏС¡£ÕâÊÇÒòΪ£ºÊ×ÏÈ£¬O3ÔÚpH½ÏµÍµÄÌõ¼þÏ¿ÉÖ±½ÓÑõ»¯·Ö½âÓлúÎµ«Ñõ»¯ÄÜÁ¦Ïà¶Ô½ÏµÍ;Æä´Î£¬ËáÐÔÌõ¼þÏ·´Ó¦Ê½(7)Êܵ½ÒÖÖÆ£¬Ê¹H2O2Ëù²úÉúµÄHO2-Á¿¼õС£¬²»ÀûÓÚ¡¤OHµÄ²úÉú¡£µ±pHΪÈõ¼îÐÔʱ¡²7¡³£¬Ëæ×ÅpHµÄÉý¸ß£¬CODÈ¥³ýÂÊÉÏÉýÃ÷ÏÔ¡£ÕâÊÇÒòΪ£ºÊ×ÏÈ£¬È練Ӧʽ(1)¡¢(2)Ëùʾ¡²8¡³£¬¶ÔÓÚO3£¬ÔÚ¼îÐÔÌõ¼þÏ£¬ÆðÑõ»¯×÷ÓõIJ»ÔÙÊdzôÑõ·Ö×Ó£¬¶øÊÇÑõ»¯ÐÔ¸üÇ¿µÄ¡¤OH;Æä´Î£¬È練Ӧʽ(7)Ëùʾ£¬¼îÐÔ»·¾³ÏÂH2O2¸üÈÝÒ×Àë½âΪHO2-£¬²¢½áºÏ³ôÑõ·Ö½âËù²úÉúµÄHO2-¹²Í¬´ß»¯ÓÕ·¢²úÉú¸ü¶àµÄ¡¤OH£¬´Ó¶øÊ¹CODÈ¥³ýЧ¹û¸üÏÔÖø¡£µ«µ±pH´ïµ½Ç¿¼îÐÔʱ£¬Ëæ×ÅpHµÄÉý¸ß£¬CODÈ¥³ýÂÊϽµ¡£ÕâÊÇÒòΪÔÚÇ¿¼îÐÔ»·¾³ÖÐH2O2ÔÚUV¹âÕÕÏ»á·Ö½â³ÉH2OºÍO2£¬¶ø²»ÊÇ¡¤OH¡²10¡³£º
¡¡¡¡Í¬Ê±£¬HO2-×ÔÉíÔÚÇ¿¼îÐÔ»·¾³ÏÂÒ²ÊÇÒ»ÖÖ¼«Ç¿µÄ×ÔÓÉ»ùÇÖÊ´¼Á£¬¿É·¢ÉúÈçϸ±·´Ó¦£º
¡¡¡¡ÉÏÊö·´Ó¦µÄ·¢Éú£¬´ó·ù½µµÍÁËϵͳÖС¤OHµÄŨ¶È£¬´Ó¶øÊ¹CODÈ¥³ýÂÊϽµ¡£¿¼Âǵ½Ö®ºóµÄÉúÎï´¦ÀíÖÐ΢ÉúÎïµÄÉú´æÐèÒª£¬Ñ¡ÔñpH=9¡£
¡¡¡¡2.2 ·ÏË®¿ÉÉú»¯ÐÔÓ°ÏìÒòËØÑо¿
¡¡¡¡ÊµÑéÒÔBOD5/CODΪָ±ê£¬ÔÚUV¹¦ÂÊΪ25 W£¬UV¹âÕÕʱ¼äΪ15 min£¬n(H2O2)/n(O3)Ϊ0.5µÄÌõ¼þÏ£¬Ñо¿Á˲»Í¬O3Ͷ¼ÓÁ¿ºÍ²»Í¬³õʼpHÏ£¬O3/UV/H2O2¹¤ÒÕ¶Ôʯ»¯¶þ¼¶³öË®¿ÉÉú»¯ÐÔµÄÌáÉýЧ¹û¡£ÊµÑé½á¹û±íÃ÷£¬µ±O3Ͷ¼ÓÁ¿Îª62.63 mg/L£¬³õʼpHΪ9ʱ£¬O3/UV/H2O2¹¤ÒÕ¶Ôʯ»¯¶þ¼¶³öË®¿ÉÉú»¯ÐÔµÄÌáÉýЧ¹û×îÏÔÖø£¬BOD5/COD¿ÉÓɳõʼµÄ0.05ÉýÖÁ0.34¡£O3µÄÇ¿Ñõ»¯ÄÜÁ¦½áºÏUV/H2O2¿ÉÒÔÆÆ»µÄѽµ½âÓлúÎïµÄ³¤Á´ºÍ»·×´½á¹¹¡²11¡³£¬½«Æäת»¯ÎªÒ×ÉúÎï½µ½âµÄС·Ö×ÓÓлúÎ´Ó¶øÌá¸ß·ÏË®µÄ¿ÉÉú»¯ÐÔ¡£
¡¡¡¡´ËÍ⣬ÔÚ¼îÐÔ»·¾³Ï£¬O3/UV/H2O2¶ÔÄѽµ½âÓлúÎïµÄ½µ½â×÷ÓÃÔò¸üΪÏÔÖø£¬ÉõÖÁÊǽṹ¸´ÔӵĴó·Ö×ÓÓлúÎïÒ²»á±»²»Í¬³Ì¶ÈµÄ·Ö½â¡²12¡³£¬¿É½øÒ»²½Ôö¼Ó·ÏË®ÖÐÒ×±»½µ½âÎïÖʵıÈÀý¡£¡£
¡¡¡¡3 ½áÂÛ
¡¡¡¡²ÉÓÃO3/UV/H2O2ñîºÏ¹¤ÒÕ´¦Àíʯ»¯ÆóÒµ¶þ¼¶³öË®£¬µ±O3Ͷ¼ÓÁ¿Îª62.63 mg/L£¬UV¹¦ÂÊΪ25 W£¬¹âÕÕʱ¼äΪ15 min£¬n(H2O2)/n(O3)Ϊ0.5£¬ÔË®pHΪ9ʱ£¬CODÈ¥³ýÂʿɴﵽ29.34%£¬BOD5/COD¿ÉÓɳõʼµÄ0.05ÉýÖÁ0.34£¬Ê¯»¯¶þ¼¶·ÏË®µÄ³öˮˮÖʵõ½Ã÷ÏÔ¸ÄÉÆ£¬·ÏË®µÄ¿ÉÉú»¯ÐԵõ½Ã÷ÏÔÌá¸ß£¬ÎªºóÐøµÄÉúÎï´¦Àí´´ÔìÁËÁ¼ºÃµÄÌõ¼þ¡£














