氧化沟是一种改良型循环流动式活性污泥法,一般采用低负荷延时曝气的方式运行,具有维护运行简便、处理效果稳定等特点。目前各种类型的氧化沟已经在污水处理厂中得到应用。近年来微孔曝气氧化沟通过采用曝气和推流功能相分离的方式,具有便于独立控制及低能耗等特点,应用日趋增加。根据庞各庄污水处理厂水质与水量特点,考虑到脱氮除磷要求,采用了微孔曝气氧化沟工艺,取得了较好的效果。
1工程概况
庞各庄污水处理厂位于北京市大兴区庞各庄镇区南部,在原有污水厂占地范围内改扩建而成,总占地面积58512m2,总投资7149万元污水厂处理规模近期为1.1万m3/d,远期1.4万m3/d主要处理城市污水,生物处理采用厌氧+微曝氧化沟工艺,污水厂工艺流程见图1。
图1工艺流程
工艺设计充分考虑到脱氮除磷,采用前置厌氧+微孔曝气氧化沟工艺,总水力停留时间13.25h,其中厌氧段2.0h,设计BOD5污泥负荷0.08kg/(kgd),污泥浓度4000mg/L,污泥龄26d,回流污泥比:60%~100%污水厂设计出水要求达到GB189182002城镇污水处理厂污染物排放标准中的一级B排放标准污水处理厂进出水水质指标见表1。
2主要设备与构筑物设计参数
2.1预处理段
回转式机械格栅2台,栅条间隙25mm,渠宽1.0m,渠高10.0m,安装倾角为=75°进水泵站:潜污泵3台,扬程15m,流量360m3/h转股式细格栅2台,栅条间隙6mm,渠宽0.8m,渠高2.0m,安装倾角为=75°沉砂砂水分离一体化旋流沉砂池2座,直径2.5m,处理量720m3/h。
2.2生物处理段
1)厌氧池厌氧池两座,采用矩形钢筋混凝土结构,平均设计流量为1.1万m3/d,每组池长18m,宽6m,有效水深5m,池内设有4台潜水推流搅拌器,直径400mm。
2)微曝氧化沟设计2组,每组有4条廊道相连,结构尺寸为长40m,宽16m(每个廊道宽4m),有效水深4m陶瓷管状微孔曝气器尺寸为75mm×750mm水下推流器8台,直径2500mm离心式鼓风机2台,规格35~51m3/min,压力58800Pa,功率90kW3)沉淀池单管吸泥辐流式沉淀池,周边进水及出水,直径20m,池边水深4.0m平均流量表面负荷0.83m3/(m2h),最大流量表面负荷1m3/(m2h),停留时间5.5h。
2.3污泥处理段
1)回流污泥泵站螺旋离心式潜水泵3台(其中1台为变频),单泵流量250m3/h,扬程6m2)污泥脱水机房脱水机房由设备间配电控制室储藏室和值班室组成,设备间平面尺寸12m×12m共有带式脱水机2台,处理量15m3/h絮凝剂投加装置2套污泥输送泵2台,单泵流量20m3/h,水平无轴螺旋输送机1台,直径280mm,长度5m倾斜螺旋输送机1台,长度10m加药泵2台,流量2m3/h,冲洗水泵2台,流量25m3/h。
3活性污泥的培养驯化
活性污泥的培养驯化可以采用间歇培养低负荷培养满负荷培养及接种培养等方式,几种方式各有利弊,接种培养与其他几种方式相比,最大的优点是培菌时间短,见效快庞各庄污水厂属于小型污水处理厂,且附近已有大型氧化沟污水处理厂,可以较方便的运送活性污泥因此采用接种培养的方案2009年8月3日开始进行活性污泥培养,采用附近污水处理厂的浓缩污泥接种接种污泥浓度79.5%,接种污泥量为每座氧化沟20t,接种后的北氧化沟污泥浓度996mg/L,南氧化沟污泥浓度1338mg/L接种期间及接种后进行闷曝,经测定:南氧化沟内沟DO:3.4mg/L,外沟:3.2mg/L;北氧化沟内沟DO:6.4mg/L,外沟DO:6.0mg/L取样观察微生物相,发现有少量污泥絮体形成,污泥絮体较分散,颜色较好,但没有观察到细菌活动迹象由于污泥接种数量控制不严格导致两个氧化沟浓度有差距,DO分布不均匀,在以后的几天调节进气量,降低北氧化沟内DO。
8月45日,北氧化沟内的白色泡沫溢出氧化沟,水面高度达1.5m左右,对溢出的泡沫进行冲水打碎处理,并短时停止北沟的曝气,待去除泡沫后继续曝气8月7日进行间歇进出水到10日采用连续进出水方式,8月14日取样观测微生物相,发现钟虫,呈单个个体生长且活性良好。
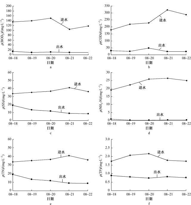
8月1822日对污水厂进出水各指标进行连续监测,监测结果见图2由图2可知,工艺不仅对CODBODSS有较高去除率,达90%以上,而且对NH3-NTN及TP的去除也十分有效出水水质达GB189182002一级B标准。
4调试中的问题。。
8月10日水厂连续进出水后,实际管网输送的来水水量大大低于设计值,设计进水量为1.1万而实际进水仅为0.2万t,不足设计负荷的20%目前进水量过小使得底物浓度偏低,导致微生物营养不足,活性污泥生长缓慢双系列运行时氧化沟MLSS仅为1500mg/L这种情况会随着上游配套管网落实水量增加逐步加以解决。
5运行效果
经过系统调试及污水收集管网逐步完善,进水负荷增加到设计值的50%~60%,2009年910月该工艺运行良好,出水水质稳定,不同污染物的平均去除率如图3所示由图3可知,BOD5CODSS及NH3-N去除效率均很高,分别为91.4%88%87.7%和98.6%而TNTP去除率相对较低,分别仅为66.3%和57.6%,说明系统脱氮除磷能力有待进一步强化提高。
图2 各污染物的进水出水水质
6结语
1)庞各庄污水厂采用厌氧+微孔曝气氧化沟工艺处理污水是可行的,该工艺运行稳定且污染物去除效率高,出水水质可达GB189182002的一级B排放标准。
2)采用直接接种培养具有培养时间短,效率高的特点,在有条件的污水厂可以优先选用此方式进行污泥培养。
3)调试后,庞各庄污水厂微曝氧化沟工艺运行良好,BOD5CODSS及NH3-N去除效率分别为91.4%88%87.7%及98.6%,而TNTP去除率较低,分别为66.3%和57.6%,系统的脱氮除磷效率有待进一步提高。














