摘要:光电玻璃减薄蚀刻液中氟硅酸(H2SiF6)的累积,是导致蚀刻液无法连续使用而转化为废液的主要原因。尝试对蚀刻废液中氟硅酸进行选择性脱除工艺,探索刻蚀液循环利用的有效处理方法。鉴于氟硅酸的碱金属盐具有溶解度较低的特点,研究考察了利用钠盐或钾盐为沉淀剂,将废液中的H2SiF6以氟硅酸盐的形式沉淀去除,为实现蚀刻液的循环利用提供可能。结果表明,KCl相比NaCl对H2SiF6处理效果更好,但生成的K2SiF6的结晶颗粒过细,难以自然沉降,过滤效果较差;而Na2SiF6结晶沉降特性较好,且使用NaCl为沉淀剂具有价廉易得等特点,可作为氟硅酸的理想沉淀剂。H2SiF6去除率与碱金属盐H2SiF6摩尔计量比正相关,当摩尔计量比NaCl/H2SiF6=2,H2SiF6含量10%的模拟废液,其H2SiF6去除率可达到90%以上。
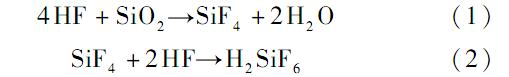
随着现代科技的发展,电子显示设备越来越趋向轻薄化,光电玻璃屏的厚度已从1996年的1.1mm降至目前0.5mm,在手机等便携式设备中应用的玻璃厚度更下降至0.3mm以下。在显示玻璃屏的制作环节中,玻璃基板的减薄化处置是确保该工艺完成的重要环节,玻璃减薄效果的好坏将直接影响产品的质量。目前酸蚀刻处理是常用的玻璃减薄方法,其主要原理是:含HF的混酸与玻璃中的SiO2以及其他金属氧化物发生反应,使得玻璃表面发生剥离,实现玻璃减薄以及表面强化目的,其主要化学反应如下:
常见玻璃减薄液的基本配方为15%~30%HF、1%~5%H2SO4,3%~10%HCl以及5%~20%NH4HF2,由(1)、(2)式可知,随着反应的不断进行,减薄液中HF浓度逐渐降低,H2SiF6含量逐渐累积,当H2SiF6浓度达到10%~1%左右时,玻璃减薄液粘度增加,玻璃表面减薄及处置效果变差,减薄液无法继续使用而造成废液排放。
目前玻璃减薄废液作为行业危废液体,其处理主要采用石灰或石灰石中和处置法。这类方法可以使废液中的F-、SiF62-离子以及PH值等达标排放,但这一过程会产生大量的含CaSO4、Ca F2的混合固体,这一固体属于危险废物,增加了后续处置的成本(处理费>=2000元/t),且浪费了废液中大量未反应的HF等酸性原料。。
因此,从清洁生产、资源回用以及环境保护等方面进行考虑,该工艺都有待进行改进。基于此点,本文采用选择性沉淀处理技术,基于氟硅酸钠(Na2SiF6)、氟硅酸钾(K2SiF6)在酸液中的沉淀性,将减薄废液中H2SiF6以Na2SiF6或K2SiF6沉淀形式进行选择性去除,且不破坏蚀刻液中其他可利用的酸性组分。处理后酸液再经过原料补加及组成调整等工艺进行循环利用。该方案不会产生大量的危废固体,惟一产生的Na2SiF6、K2SiF6固体通过进一步处理,制成纯Na2SiF6、K2SiF6或其他含氟副产品,进行销售,基本实现废物”零”排放,因此该工艺具有潜在的应用前景。
1实验方法
1.1材料及原理
详情请点击下载附件:玻璃减薄蚀刻液中氟硅酸的选择性脱除方法














