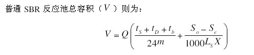
普通SBR反应池容积除了考虑反应时间外,还需考虑沉淀、排水、闲置过程需要占用的时间。
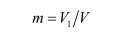
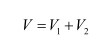
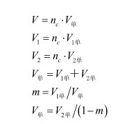
设:V、V1、V2分别为反应器总容积、充水体积和未充水前最低水位时水的体积。
V、V1、V2之间的关系:
命充水比:
由(1)、(2)得:
上述公式适合单池设计;
式中:
V1——反应器充水体积,m3;
V——反应器总容积,m3;
V2——反应器未充水前最低水位时水的体积,m3。
nc——反应池的个数;
V单——单个反应器总容积,m3;
V1单——单个反应器充水体积,m3
V2单——单个反应器未充水前最低水位时水的体积,m3
m——充水比。
上述公式适合多池设计。
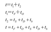
周期时间之间的关系:
式中:
t——一个周期的时间,h;
t反——污水处理所需的反应时间,h;
t总(HRT)——总的水力停留时间,h;
t1——一个周期内的反应时间,h;
t2——一个周期内的非反应时间(沉淀时间和排水时间及待机时间之和),h;
tF——一周期内的进水时间,h;
tO——一周期内的曝气时间,h;
ts——一周期内的沉淀时间,h;
tD——一周期内的排水时间,h;
tb——一周期内的待机时间,h。
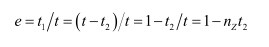
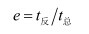
设定反应时间比为反应时间t反与总水力停留时间t总(HRT)的比值,用e表示:
式中:
e——反应时间比;
t反——污水处理所需的反应时间,h;
t总(HRT)——总的水力停留时间,h。
设定一天内周期数为nZ:
已知
得:
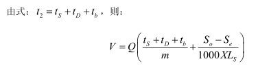
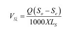
反应池(器)总容积:
由于污水处理所需反应时间t反
式中:
Q——设计污水量,m3/d
So——反应池进水五日生化需氧量BOD5mg/L;
Se——反应池出水五日生化需氧量;BOD5mg/L;
Ls——反应池的五日生化需氧量污泥负荷kgBOD5/(kgMLSS•d);
Lv——反应池的五日生化需氧量容积负荷kgBOD5/(m3•d);
X——反应池内混合液悬浮固体平均浓度MLSS,kg/m3;
Vx——反应器内污泥总量,kg。
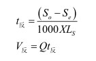
容积负荷:
则有效反应容积:
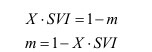
已知:Q、So、Se;选定LS、X、SVI、充水比m。
LS——为污泥负荷选定:kgBOD/kgMLSS•d
X——为混合液污泥浓度MLSS选定:3~5kgMLSS/m3
SVI——为污泥体积指数:≤120(mL/g)
设定:SBR沉淀后的污泥浓度为
将(2)代入上式得:
X=3~5kgMLSSm,SVI≤0.12mkg,m≥0.4;选定X、m及对应的SVI;确定每周期内的沉淀时间、排水时间之与待机时间之和t2;每日平均处理水量为Q;每周期进水量为充水量:V1=mV;则周期数:















