为配合国内稠油、超稠油的开采,提高原油采出率,部分油田开始使用蒸汽辅助重力泄油技术(SAGD),由此产 生的稠油污水乳状液成为困扰油田回注水质达标的一项难题。稠油污水乳状液成分复杂、油水密度差小、黏度大、 乳化状态严重,导致其处理流程长,投资大、运行成本高[1]。目前用于稠油污水乳状液的破乳剂主要有环氧氯丙烷-二甲胺系列高分子阳离子聚合物、二甲基二烯丙基氯化铵系列高分子阳离子聚合物、PAMAM及复配剂等[2]。使用过程中破乳剂易在废水中残留,这些残留物存在毒性,不仅对后续工艺特别是生化处理产生不利影响,由此引发 的环境问题也令人担忧。
针对这种现状并结合SAGD稠油污水乳状液自身的一些特点,开发并合成了一种高分子络合物型绿色破乳剂,通过络 合反应破坏稠油污水乳状液的表面结构和性质,最终实现油水分离。该破乳剂能够高效破除油水稳定状态,使乳状 液脱稳并絮凝,最终使水质澄清,同时该破乳剂采用天然高分子制成,无毒害、易生化降解,不会对环境造成威胁 。
1 破乳剂的合成及表征
壳聚糖是一种对人体无害的天然高分子絮凝剂,一般用于食品、医药等领域。以壳聚糖为主要原料,分两步合成破乳剂。首先在冰醋酸的催化作用下将水杨醛结合到壳聚糖的高分子链上,生成席夫碱CCS;之后将合成的席夫碱与 金属离子Fe3+络合,得到最终破乳剂产品CCS-Fe3+。
1.1 壳聚糖水杨醛席夫碱CCS的合成
称取3.224 g壳聚糖(0.02 mol,脱乙酰度>90%)置于四口烧瓶,依次加入100 mL无水乙醇、10 mL冰醋酸,连接反应装置(见图1),开启搅拌器(100~150 r/min),加入0.42 mL(0.004 mol)水杨醛,通直流冷却水,85 ℃恒温水浴加热,见明显回流,反应持续8 h。反应结束后抽滤,并用无水乙醇洗涤直至滤液无色,将得到的黄色晶 体烘干,称量,最终得到3.634 g壳聚糖水杨醛席夫碱(CCS),产品收率97.84%,水杨醛接枝率为98.46%,此时已 接枝的壳聚糖单体占初始壳聚糖单体总数的19.7%,接近理论比例1∶5。
图1 反应装置
1.2 壳聚糖水杨醛席夫碱金属配合物 CCS-Fe3+的合成
称取2.00 g合成的CCS置于四口烧瓶,反应装置与1.1相同,加入100 mL FeCl3/乙醇溶液(0.01 mol/L),开启搅 拌器,控制搅拌速度为100~150 r/min,同时通直流冷却水,85 ℃恒温水浴加热,可见明显回流。装置中的反应物 逐渐由黄色变为红褐色,持续反应7 h,抽滤并用无水乙醇洗涤红褐色固体,直至滤液无色。烘干后称量,得到 1.883 5 g CCS-Fe3+产品(0.5 mmol/g)。
1.3 破乳剂的结构表征
1.3.1 壳聚糖及其席夫碱的IR表征
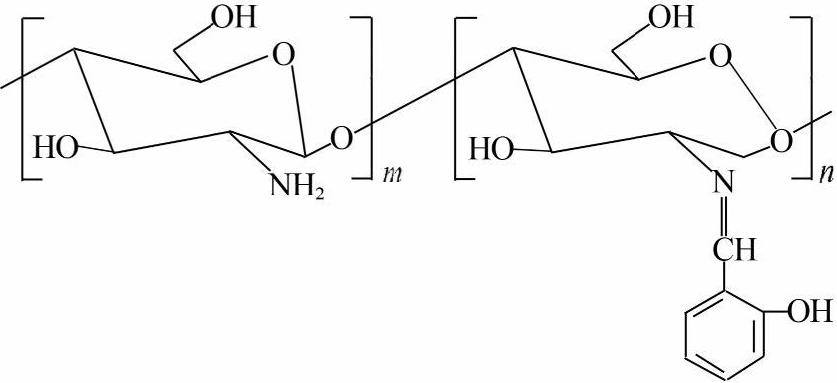
对壳聚糖(CS)和壳聚糖希夫碱(CCS)进行傅立叶红外光谱表征。CCS的红外谱图中1 633.2 cm-1处出现了亚胺基(C=N)的伸缩振动吸收峰,说明壳聚糖与水杨醛已经反应生成席夫碱。同时在1 278.4 cm-1处出现酚(C—O)的特征吸收峰,以及761 cm-1处出现苯环间位取代特征吸收峰,也说明水杨醛已经接枝到壳聚糖高分子链上。推断CCS的结构如图2所示,其中m ∶ n约为4 ∶1。
图2 CCS结构
1.3.2 壳聚糖席夫碱铁配合物的IR表征
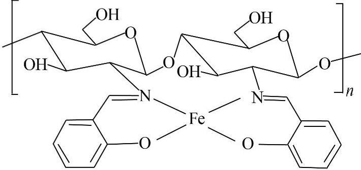
对破乳剂壳聚糖希夫碱铁配合物(CCS-Fe3+)进行傅立叶红外光谱表征。与壳聚糖希夫碱CCS的红外光谱比较后发 现,其铁离子配合物的红外谱图中亚胺基(C=N)的伸缩振动吸收峰由1 633.2 cm-1移至1 631.3 cm-1,胺基(N— H)和羟基(O—H)的伸缩振动吸收峰由3 420.0 cm-1移至3 418.5 cm-1,都向低波数方向移动,这表明金属离子 与壳聚糖希夫碱中的N、O原子间发生一定配位关系,推断其可能的结构如图3所示。
图3 CCS-Fe3+可能的结构
2 SAGD乳状液的性状分析
2.1 水质受污染程度分析
实验所用水样来自新疆油田的SAGD稠油污水乳状液,参照《水和废水监测分析方法》测定SS、浊度、pH、电导率、COD、油含量(总油),分析水质受污染程度。
SAGD稠油污水乳状液表观呈褐色半透明状,色度较大;SS为208 mg/L、浊度为503 NTU,体系中的悬浮粒子相对较 高;pH为8.76,呈弱碱性;油和COD分别为109.3、1 454.8 mg/L,普遍偏高;电导率为5.28 μS/cm,无机盐离子 相对较低。测定结果表明SAGD稠油污水乳状液受污染程度严重。
2.2 乳状液的稳定性分析
乳状液稳定性分析主要测定乳化油滴的粒度及Zeta电位。粒度特征从微观上确定乳状液分散相的组成特点,影响乳 状液的稳定性[3];Zeta电位的数值直接反映分散体系的表面特性,Zeta电位绝对值越大,分散体系的稳定程度越 高[4]。
采用纳米激光粒度及Zeta电位分析仪测定SAGD乳化油滴粒径,统计平均值为703.9 nm,Zeta电位为-27.2 mV。具有 完全一样大小分布的乳状液比具有较宽粒子分布但平均粒子大小与前述相同的乳状液要稳定得多[5]。测定结果显 示SAGD乳状液粒度分布在较为集中的范围内,同时Zeta电位数值较高,因此该乳状液具有相当强的稳定性,在实际 破乳过程中破乳难度较大。
2.3 稳定性因素分析
稠油污水乳状液多以O/W 形式存在,由于稠油污水乳状液成分复杂,其乳化性质受多方面因素影响。稠油污水含有 沥青质、胶质、石蜡、石油酸皂及微量的黏土颗粒,它们作为天然乳化剂吸附在油水界面,形成具有一定强度的黏 弹性膜,给液滴聚并形成动力学障碍[6]。同时环烷酸盐特别是环烷酸钠是高亲水化合物,容易导致形成水包油型 乳化液[7]。此外乳液的稳定性、破乳的有效性与芳烃含量也有很强的相关性[8]。
沥青质对原油乳状液的稳定作用是最重要的。沥青质除充当天然乳化剂外,还可以把水润湿性微粒转变成油润湿性 微粒[9]。如果改变沥青质在乳状液表面的特定结构,也就破坏了稠油污水乳状液的稳定性,而沥青质中通常含有 卟啉等易与金属离子稳定络合的成分,络合型破乳剂就是利用这种特性使乳状液脱稳。
3 应用效果评价
3.1 破乳剂对SAGD稠油污水乳状液的破乳效果
1)投加量对破乳效果的影响。为了评价破乳剂CCS-Fe3+的破乳效果,分别取50 mL SAGD乳状液于8只试瓶,置于 50 ℃恒温水浴槽,30 min后按不同投加量梯度投加破乳剂,各震荡100次,静置并观察,1 h后测定水相油含量。 实验中CCS-Fe3+提前用体积分数为1%的醋酸配成溶液,配制质量浓度为 1 g/L。根据各投加量下破乳剂分散在污水中所得质量浓度及破乳后水相含油数据,考察破乳剂CCS-Fe3+投加质量 浓度对破乳效果的影响,结果如图4所示。
图4 破乳剂投加质量浓度与破乳后水相含油的关系
实验发现当破乳剂投加量为14 mg/L时开始出现絮体,随投加量的增大,絮体逐渐增多。当破乳剂投加量达到22 mg/L时水相中的油已降至32.327 mg/L,水质明显变得澄清,继续加大投加量,破乳效果趋近平缓,破乳剂CCS- Fe3+ 在50 ℃下的最适投加质量浓度为22 mg/L。
2)温度对破乳效果的影响。选取破乳剂CCS-Fe3+ 投加质量浓度为22 mg/L,在25~70 ℃之间设置温度梯度,投 加破乳剂后各震荡100次并在设定温度下静置1 h,评价温度对破乳剂破乳效果的影响,结果发现25~70 ℃时温度对 破乳剂CCS-Fe3+ 的破乳效果影响不大,水相中含油在32.5 mg/L左右。
3.2 破乳剂的微生物降解性能
取耗氧活性污泥在含有破乳剂的底物溶液中培养,依据培养过程中的COD变化,评价破乳剂CCS-Fe3+ 的微生物降解 性能。由于破乳剂对SAGD乳状液的最适投加质量浓度为22 mg/L,现假设水相中破乳剂最高残留量为20 mg/L,设计 实验评价20 mg/L的CCS-Fe3+ 在耗氧污泥作用下的降解情况。
取MLSS为15 g/L的耗氧污泥180 mL于1 L量筒中,加入去离子水至900 mL,转移到大烧杯中开始曝气,加入适量 K2HPO4,此时MLSS为3 000 mg/L。曝气一段时间后取水样20 mL,过滤,测定空白时COD为32.7 mg/L。然后向系统 中加入已配好的1 g/L CCS-Fe3+ 醋酸溶液18 mL(投加质量浓度20 mg/L),继续曝气,每隔一定时间取水样,测 其COD,直至COD降至30 mg/L以下。已测得20 mg/L破乳剂的COD为195.5 mg/L,初始COD为空白COD与20 mg/L破乳剂 的COD之和。1 h内体系中的COD随时间变化情况见图5。
图5 1 h内体系中COD随时间变化曲线
如图5所示,投加破乳剂的1 min内活性污泥体系发生絮凝,COD急剧下降,之后30 min内COD逐渐释放,达到最高值 ,然后逐步下降。
24 h内体系中 的COD随时间变化情况见图6。
图6 24 h 内体系中COD 变化曲线
如图6所示,1 h后体系中的COD持续下降,24 h后COD降到25.2 mg/L,低于空白值(32.7 mg/L),体系中的COD已 基本降解完毕。
综上可以断定,合成的破乳剂CCS-Fe3+不仅能高效破除稠油污水的乳化状态,而且生化降解性能良好,是一种绿色 破乳剂。。
4 结论
(1)SAGD稠油污水乳状液成分复杂、乳化严重,稳定性极强,研究其乳化机理发现,胶质沥青质等为乳化液滴保 持高度稳定的关键因素,要使乳状液脱稳,必须破坏胶质沥青质在乳化液滴表面形成的稳定结构。
(2)评价了破乳剂CCS-Fe3+对SAGD稠油污水乳状液的破乳效果,得出CCS-Fe3+能有效破除SAGD稠油污水的乳化状 态,在50 ℃下最适投加质量浓度为22 mg/L,同时温度对破乳效果影响不大。
(3)以CCS-Fe3+为底物,用活性污泥法进行微生物降解性能评价,发现底物在室温曝气条件下24 h基本降解完毕 ,说明CCS-Fe3+易生化降解,是一种环境友好型绿色破乳剂。














