¡¡¡¡1 ÒýÑÔ
¡¡¡¡Ëæ×Ź¤ÒµÉú²úµÄ¿ìËÙ·¢Õ¹£¬Ë®ÖÐÖØ½ðÊôÎÛȾԽÀ´Ô½ÑÏÖØ£¬ÆäÖÐпÊǹ¤Òµ·ÏË®ÖеÄÓж¾ÎÛȾÎïÖ®Ò».пÎÛȾÖ÷ÒªÀ´×ÔÍ¿ÁÏÉú²ú¡¢²É¿ó¼Ó¹¤¡¢ÖƸµç¶ÆºÍÎÛÄà²úÉúµÈ¹¤ÒµÐÐÒµ(Ñî¸ÕµÈ£¬2011; Sahu et al., 2011).º¬Ð¿·ÏˮûÓд¦ÀíÖ±½ÓÅÅÈë»·¾³ºó£¬¿ÉÒÔͨ¹ýʳÎïÁ´Ñ»·£¬ÔÚijЩÉúÎïÌåÄÚ´ïµ½Ò»¶¨Å¨¶Èˮƽ£¬×îÖÕÔÚÈËÌåÄÚÐî»ý¶øÎ£º¦ÈËÌ彡¿µ(Ö£Äȵȣ¬2007;Ôø¾°º£µÈ£¬2007;Mahmood et al., 2011).Òò´Ë·¢Õ¹¾¼ÃÓÐЧµÄ·½·¨ÖÎÀíпµÈÖØ½ðÊôÎÛȾ³ÉΪµ±Ç°Ë®ÎÛȾÖÎÀíµÄÖØÒªÄÚÈÝ£¬Ò²Ô½À´Ô½Êܵ½ÈËÃǵÄÖØÊÓ.´¦ÀíË®ÖÐпµÈÖØ½ðÊôÎÛȾµÄ·½·¨ÓУºÀë×Ó½»»»¡¢Îü¸½¡¢»¯Ñ§³Áµí¡¢Ä¤·ÖÀëµÈ(Ôø¾°º£µÈ£¬2007; Shrestha et al., 2013).ÔÚÕâЩ·½·¨ÖУ¬Àë×Ó½»»»ÊÇÒ»ÖÖÓÐЧÇÒ»·¾³ÓѺõļ¼Êõ.
¡¡¡¡´«Í³ÓÃÓÚË®ÖÐZn2+È¥³ýµÄÀë×Ó½»»»²ÄÁÏÓУº¸ÆÀë×ÓÐ͵ÄÃÉÍÑÍÁ¡¢·Ðʯ¡¢Ê÷Ö¬µÈ.¸ÆÀë×ÓÐ͵ÄÃÉÍÑÍÁ¶ÔË®ÖÐZn2+µÄÎü¸½Á¿±È½ÏµÍ£¬¶øÇÒÔÚpH 1¡«6µÄËáÐÔ·¶Î§ÄÚ²»ÄÜÎȶ¨È¥³ýZn2+£¬ÌرðÊÇÔÚpH<3µÄË®ÖУ¬ÃÉÍÑÍÁ²»ÄܺÜÎȶ¨µÄ´æÔÚ£¬Òò¶øÈ¥³ýЧ¹û½Ï²î(Bradbury and Baeyens£¬ 1999).·Ðʯ(ÀýÈçNaAºÍNaXÐÍ)£¬ÔÚpH 1¡«6µÄËáÐÔË®ÖÐÄܽÏÎȶ¨´æÔÚ£¬ÇÒÒ²Äܱ£³Ö½ÏºÃµÄÈ¥³ýЧ¹û£¬µ«Æä×î´óÎü¸½Á¿²»³¬¹ý120 mg ¡¤ g-1(Nibou et al., 2010).Ê÷Ö¬¶ÔË®ÖÐZn2+µÄÎü¸½Á¿Ò²±È½ÏµÍ£¬Ò»°ã¶¼²»³¬¹ý100 mg ¡¤ g-1£¬¶øÇÒÔÚµÍpHµÄÌõ¼þÏ£¬ÆäÎü¸½Á¿¸üµÍ(Shek et al., 2009; Abdelwahab et al., 2013).ÕâÀàÒÔÑõ»¯ÎïΪÖ÷µÄ´«Í³Àë×Ó½»»»²ÄÁÏ£¬ÆäÊÊÓõÄpHÖµ·¶Î§ÕÇÒÎü¸½ÈÝÁ¿ÓÐÏÞ£¬Òò´ËÐèÒª·¢Õ¹ÐÂÐ͵ÄÀë×Ó½»»»²ÄÁÏ.
¡¡¡¡¸ù¾ÝÈíÓ²Ëá¼îÔÀí£¬ÁòÔ×ÓÊÇÈí¼î£¬¶øÐ¿Àë×ÓÊǽ»½çËᣬÑõÔ×ÓÊÇÓ²¼î(Ðí¼ÒʤµÈ£¬2010)£¬ÀíÂÛÉÏпÀë×Ó¸üÒ×ÓÚºÍÁòÔ×Ó½áºÏ£¬Òò´ËÁòÊô»¯Îï¿ÉÓÐЧÎü¸½Zn2+.µ«ÊÇÏÊÓÐÎÄÏ×±¨µÀÓÃÁòÊô»¯ÎïÈ¥³ýË®ÖеÄZn2+£¬Ö÷ÒªÊÇÓÉÓÚÔÚËáÐÔÌõ¼þÏ£¬¶àÊýÁòÊô»¯ÎïÒ×ÓÚÓëÇâÀë×Ó·¢Éú·´Ó¦²úÉúÁò»¯ÇâÓж¾ÆøÌ壬ÇÒÉú³É²»Ò×·ÖÀëµÄÁò»¯Ð¿½ºÌå³Áµí£¬µ¼ÖÂʹÓÃÊÜÏÞ.¿ª·¢ÄÜÔÚËáÐÔÌõ¼þÏÂÎȶ¨´æÔÚµÄÁòÊô»¯ÎÊÇ·¢Õ¹ÕâÀàÐÂÐÍÀë×Ó½»»»²ÄÁϵĹؼü.ÎÄÏ×±¨µÀ£¬²ã×´½ðÊôÁòÊô»¯ÎïK2xMnxSn3-xS6(x=0.5¡«0.95)(KMS)ÔÚpH 2¡«6ËáÐÔË®ÈÜÒºÖж¼¾ßÓнϸߵÄÎȶ¨ÐÔºÍÁ¼ºÃµÄÎüÄÜÈÝÁ¿£¬¿ÉÒÔͨ¹ýÀë×Ó½»»»ÓÐЧȥ³ýË®ÖеÄCd2+¡¢Pb2+ºÍHg2+µÈÖØ½ðÊôÀë×Ó(Manos and Kanatzidis£¬ 2009).±¾ÂÛÎĺϳɸÃÀàÐͲã×´½ðÊôÁòÊô»¯Î²¢Ê×´ÎÓÃÓÚÑо¿Æä¶ÔË®ÖÐZn2+µÄÀë×Ó½»»»ÄÜÁ¦ºÍ»úÀí£¬Í¬Ê±¿¼²ìÁËÈÜÒºpH¡¢·´Ó¦Ê±¼ä¡¢·´Ó¦Î¶ȡ¢³õʼŨ¶ÈºÍ¾ºÕùÀë×ÓµÈÒòËØµÄÓ°Ï죬ÒÔ¼°Ñо¿ÁËÀë×Ó½»»»µÄ·´Ó¦¶¯Á¦Ñ§.
¡¡¡¡2 ²ÄÁÏÓë·½·¨
¡¡¡¡2.1 KMS²ÄÁϵÄÖÆ±¸
¡¡¡¡²ã×´½ðÊôÁòÊô»¯ÎïK2xMnxSn3-xS6(x=0.5¡«0.95)ͨ¹ýË®ÈÈ·¨ÖƱ¸£¬ÔÚ48 mLµÄ·´Ó¦¸ªÖмÓÈëSn(23 mmol)¡¢Mn(11.53 mmol)¡¢K2CO3(11.53 mmol)¡¢S(69 mmol)ºÍH2O(15.38 mL)£¬ÔÚ200 ¡æÏºæÏäÖÐË®ÈÈ·´Ó¦4 d£¬ÀäÈ´ÖÁÊÒκ󣬷ֱðÓÃË®¡¢CS2ºÍÒÒ´¼ÒÀ´ÎÏ´µÓÊý´Î£¬×îºóÔÚ60 ¡æµÄÕæ¿Õ¸ÉÔïÏäÖиÉÔïºó´ýÓÃ(Manos and Kanatzidis£¬ 2009).
¡¡¡¡2.2 ʵÑé·½·¨
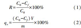
¡¡¡¡·Ö±ðȡһ¶¨Å¨¶ÈµÄZn2+Ä£Äâ·ÏË®ÖÃÓÚ×¶ÐÎÆ¿ÖУ¬ÈÜÒºµÄpHֵͨ¹ýpH¼ÆÓÃNaOHºÍHClµ÷½Ú£¬¼ÓÈëÒ»¶¨Á¿µÄKMS·ÛÄ©ºó·ÅÖÃÓÚºãÎÂÕñµ´ÅàÑøÏäÖУ¬ÔÚ10 ¡æ¡¢25 ¡æºÍ40 ¡æÏÂÒÔ300 r ¡¤ min-1µÄתËÙÕñµ´Ò»¶¨Ê±¼ä.È¡ÑùºóÀëÐĹýÂË£¬È¡ÉÏÇåÒºÓÃ1% HNO3±£´æ£¬ÔÙÓÃÔ×ÓÎüÊÕ¹âÆ×ÒDzⶨZn2+µÄŨ¶È.KMS¶ÔÄ£Äâ·ÏË®ÖÐZn2+µÄÈ¥³ýÂÊ(R)ºÍÎü¸½Á¿(qe)·Ö±ðÓÃʽ(1)ºÍ(2)±íʾ£º
¡¡¡¡
¡¡¡¡Ê½ÖУ¬qeÊÇÎü¸½Æ½ºâʱµÄÎü¸½Á¿(mg ¡¤ g-1);C0ºÍCf ·Ö±ðÊÇÎü¸½Ç°ºóÈÜÒºÖÐZn2+µÄŨ¶È(mg ¡¤ L-1);VΪÈÜÒºÌå»ý(L);mΪKMS²ÄÁϵÄÖÊÁ¿(g).
¡¡¡¡2.3 ʵÑéÒÇÆ÷
¡¡¡¡Ë®ÈÈ·´Ó¦¸ª(¼ÃÄϺ㻯¿Æ¼¼ÓÐÏÞ¹«Ë¾);Õæ¿Õ¸ÉÔïÏä(DZF-6020£¬ÉϺ£Ò»ºãÒÇÆ÷¿Æ¼¼ÓÐÏÞ¹«Ë¾);ºãÎÂÕñµ´ÅàÑøÏä(ZHTY-70£¬ÉϺ£Öª³þÒÇÆ÷ÓÐÏÞ¹«Ë¾);Ô×ÓÎüÊÕ¹âÆ×ÒÇ(M6ÐÍ£¬ÃÀ¹úÈȵ繫˾); pH¼Æ(UB-7£¬ÃÀ¹úµ¤·ðÒÇÆ÷¹«Ë¾);XÉäÏßÑÜÉäÒÇ(X¡äPert ProÐÍ£¬ºÉÀ¼PANalytical B.V.¹«Ë¾)£¬²âÊÔÌõ¼þΪ£ºCu K¦Á·øÉä(¦Ë=0.1541 nm)£¬µçѹ40 kV£¬µçÁ÷40 mA£¬É¨ÃèËÙ¶ÈΪ1¡ã ¡¤ min-1£¬É¨Ã跶Χ2¦È= 5¡ã¡«80¡ã; ³¡·¢ÉäɨÃèµç×ÓÏÔ΢¾µ(S-4800ÐÍ£¬ÈÕ±¾Hitachi¹«Ë¾)£¬²âÊÔÌõ¼þ£º¼ÓËÙµçѹ0.5¡«30 kV;XÉäÏßÄÜÆ×ÒÇ(Genesis XM2ÐÍ£¬ÃÀ¹úEDAX¹«Ë¾)£¬²âÊÔÌõ¼þ£ºµçѹ15 kV£¬µçÁ÷10 ¦ÌA;ÈÈÖØ·ÖÎöÒÇ(TG 209 F3£¬µÂ¹úÄͳÛÒÇÆ÷¹«Ë¾)£¬²âÊÔÌõ¼þΪ£ºÔØÆøÎªN2£¬ÔØÆøÁ÷ËÙΪ20 mL ¡¤ min-1£¬ÉýÎÂËÙÂÊΪ20 K ¡¤ min-1£¬²âÊÔζȷ¶Î§Îª40¡«600 ¡æ.
¡¡¡¡3 ½á¹ûÓëÌÖÂÛ
¡¡¡¡3.1 KMSµÄ½á¹¹
¡¡¡¡KMSÊDzã×´½ðÊôÁò»¯Îͼ 1ÊÇKMSµÄ·Ö×ӽṹʾÒâͼ(Manos et al., 2008).·Ö×ӽṹÖеIJãÊÇ¡°Mn/Sn¡±(²ãÉϰËÃæÌåµÄÖÐÐĺÚɫСÇò)Óë6¸öÁòÔ×ÓÅäλ(²ãÉϰËÃæÌåµÄ6¸ö¶¥µã)×é³ÉµÄ¹²±ß»û±ä°ËÃæÌ壬ÆäÖÐMnºÍSnÕ¼¾ÝͬÑùµÄ¾§¸ñλÖã¬ËùÓеÄÁò¶¼ÊÇÈýÅäλ³É¼ü.²ãµÄ×é·Ö¿ÉÒÔ±íʾΪ[MnxSn3-xS6]2x-.K+´¦ÓÚ²ãÓë²ãÖм䣬³ÉÎÞÐòÅÅÁÐ.ͼ 2ÖÐAÇúÏßÊÇKMSµÄXRDͼ£¬ÓÉͼ¿ÉÖª£¬KMSÓÐÁ½¸öÌØÕ÷·å£¬·Ö±ðΪ2¦È=10.36¡ãºÍ2¦È=20.18¡ã.ÕâÓëÎÄ Ï×±¨µÀµÄÒ»ÖÂ(Manos and Kanatzidis£¬ 2009)£¬ËµÃ÷ʵÑé³É¹¦ÖƱ¸³öKMS.¸ù¾Ý²¼À¸ñ¹«Ê½£¬¸Ã½á¹¹µÄ²ã¼ä¾àΪ0.851 nm£¬ÕâÒ²ÓëÎÄÏ×±¨µÀµÄKMSµÄ²ã¼ä¾àÒ»ÖÂ.ͨ¹ýÄÜÆ×ÒDzⶨ£¬±¾ÊµÑéÖÆ±¸µÄKMSµÄ·Ö×ÓʽÊÇK1.9Mn0.95Sn2.02S6£¬ÆäÖÐ[Mn0.95Sn2.02S6]1.9-ΪÁòÊôÒõÀë×ÓÎÞ»ú²ã.K+¿ÉÒÔÓëZn2+·¢ÉúÀë×Ó½»»»´Ó¶ø´ïµ½È¥³ýZn2+µÄÄ¿µÄ.
ͼ 1 KMSµÄ·Ö×ӽṹʾÒâͼ
¡¡¡¡3.2 pHµÄÓ°Ïì
¡¡¡¡pHÊÇÓ°ÏìÀë×Ó½»»»µÄÖØÒªÒòËØ.ΪÁËÑо¿pHµÄÓ°Ï죬½«30 mg KMS²ÄÁÏ·Ö±ð¼ÓÈëµ½pH 1¡«6µÄZn2+ÈÜÒºÖÐ(100 mg ¡¤ L-1£¬30 mL)£¬ÔÚ300 r ¡¤ min-1µÄÒ¡´²ÖкãÎÂ25 ¡æÁ¬ÐøÕñµ´12 h.ͼ 3ÊÇpH¶ÔZn2+Àë×Ó½»»»µÄÓ°Ï죬ÓÉͼ¿ÉÖª£¬ÔÚpH 3¡«6Ö®¼ä£¬ÈÜÒºµÄpH¶ÔÀë×Ó½»»»µÄÓ°ÏìºÜС£¬ÆäÎü¸½Á¿½Ó½üÇÒÈ¥³ýÂʶ¼¿ÉÒÔ³¬¹ý99%.µ«ÔÚpH=1ºÍ2ʱ£¬·Ö±ðÖ»ÓÐ40%ºÍ88%µÄÈ¥³ýÂÊ£¬Ö÷ÒªÔÒòÊÇÈÜÒºÖйý¶àµÄH+Ö±½ÓÓëK+·¢ÉúÀë×Ó½»»»£¬Òò¶øÓëZn2+²úÉú¾ºÕùÎü¸½.ÁíÍâÌØ±ðÊÇÔÚpH=1ʱ£¬H+»áÓëKMSÖеIJ¿·ÖÁò·¢Éú·´Ó¦²úÉúÁò»¯ÇâÆøÌ壬Ҳµ¼ÖÂZn2+µÄÀë×Ó½»»»Á¿¼õÉÙ.¶øÔÚpH ¡Ý 2ʱ£¬KMSÄÜÎȶ¨´æÔÚ£¬ÇÒH+µÄ¾ºÕù×÷ÓÃÒ²Ëæ×ÅpHµÄÔö´ó¶ø¼õС.Òò¶øKMS¸üÊÊÓÃÓÚpH ¡Ý 2µÄZn2+ÈÜÒº.±¾ÊµÑéÑ¡ÓÃpH=4µÄZn2+ÈÜÒº¿¼²ìÆäËûÓ°ÏìÒòËØ.
ͼ 3 pHÖµ¶ÔZn2+È¥³ýµÄÓ°Ïì
¡¡¡¡3.3 ·´Ó¦Ê±¼äµÄÓ°Ïì
¡¡¡¡·´Ó¦Ê±¼äÊÇÓ°ÏìÎü¸½Á¿µÄÖØÒªÒòËØ.½«200 mgµÄKMS·ÛÄ©·ÅÈëµ½200 mLµÄпÈÜÒºÖÐ(pH=4.0;103 mg ¡¤ L-1)£¬·Ö±ðÔÚ10 ¡æ¡¢25 ¡æºÍ40 ¡æµÄÌõ¼þÏ£¬ÔÚ300 r ¡¤ min-1µÄÒ¡´²ÖÐÁ¬ÐøÕñµ´12 h.ͼ 4ÊDz»Í¬Î¶ÈÏ£¬·´Ó¦Ê±¼ä¶ÔZn2+Îü¸½Á¿µÄÓ°Ïì.ÔÚ³õʼ25 minÄÚ£¬²»Í¬Î¶ÈϵÄÀë×Ó½»»»ËÙÂʷdz£¿ì;³¬¹ý25 min£¬Àë×Ó½»»»ËÙÂʻήµÍÇÒÎü¸½Á¿µÄ±ä»¯½ÏС.ÕâÖ÷ÒªÊÇÓÉÓÚÔÚ³õʼ½×¶Î£¬ÔÚKMSÖеÄÓгä×ãµÄK+ÓÃÓÚÀë×Ó½»»»£¬µ«ÊÇËæ×Åʱ¼äµÄÔö¼Ó£¬¿ÉÀë×Ó½»»»µÄK+Ô½À´Ô½ÉÙ£¬Òò¶ø½»»»ËÙÂʾͻήµÍ.ÔÚ10 ¡æ¡¢25 ¡æºÍ40 ¡æµÄÌõ¼þÏ£¬ÆäÀë×Ó½»»»Æ½ºâ´ïµ½µÄʱ¼ä·Ö±ðÊÇ80 min¡¢120 minºÍ120 min.ÔÚ25 ¡æºÍ40 ¡æÌõ¼þÏ£¬ÆäÎü¸½Á¿±È½Ï½Ó½ü£¬µ«ÊÇÔÚ10 ¡æÌõ¼þÏ£¬ÆäÎü¸½Á¿±ÈÆäËûζÈÏÂҪСһЩ.
ͼ 4 ·´Ó¦Ê±¼ä¶ÔZn2+È¥³ýµÄÓ°Ïì
¡¡¡¡3.4 ·´Ó¦Å¨¶ÈºÍζȵÄÓ°Ïì
¡¡¡¡Í¼ 5ÊÇÔÚ10 ¡æ¡¢25 ¡æºÍ40 ¡æÌõ¼þÏ£¬KMS¶ÔZn2+µÄµÈÎÂÎü¸½Ïß.ÓÉͼ¿ÉÖª£¬ÔÚ²»Í¬µÄζÈÏ£¬KMS¶ÔZn2+µÄÎü¸½Á¿¾ùËæ×ųõʼŨ¶ÈµÄÉý¸ß¶øÖð²½Ôö¼Ó.ÕâÊÇÓÉÓÚKMSÖÐÓÐ×ã¹»µÄK+¿ÉÒÔÓëZn2+·¢ÉúÀë×Ó½»»»£¬µ«ÊÇËæ×ÅŨ¶ÈµÄÉý¸ß£¬¿ÉÒÔÀë×Ó½»»»µÄK+Ô½À´Ô½µ½´ï¼«ÏÞ£¬×îºó¼´Ê¹Zn2+µÄŨ¶ÈÔÙÔö¼Ó£¬Ò²²»»áÓиü¶àµÄK+½øÐÐÀë×Ó½»»»£¬ËùÒÔÎü¸½Á¿Ô½À´Ô½Ç÷ÓÚÆ½ºâ.ÔÚ³õʼŨ¶ÈСÓÚ100 mg ¡¤ L-1ʱ£¬²»Í¬Î¶ÈÏ£¬KMS¶ÔZn2+µÄÎü¸½Á¿¶¼ÊÇÒ»ÑùµÄ£¬µ«ÊÇÔÚ³õʼŨ¶È´óÓÚ100 mg ¡¤ L-1ʱ£¬Îü¸½Á¿»áËæ×ÅζȵÄÉý¸ß¶øÔö¼Ó.ÔÚ10 ¡æ¡¢25 ¡æºÍ40 ¡æÏ£¬KMS¶ÔZn2+µÄ×î´óÎü¸½Á¿·Ö±ðÊÇ£º111.67 mg ¡¤ g-1¡¢142.91 mg ¡¤ g-1ºÍ161.02 mg ¡¤ g-1.
ͼ 5 ³õʼŨ¶ÈºÍζȶÔZn2+È¥³ýµÄÓ°Ïì
¡¡¡¡3.5 ¹²´æÀë×ÓµÄÓ°Ïì
¡¡¡¡3.5.1 ¼î½ðÊôºÍ¼îÍÁ½ðÊôµÄÓ°Ïì
¡¡¡¡ÔÚʵ¼ÊµÄ·ÏË®ÖУ¬»á´æÔÚ¸÷ÖÖÑΣ¬ÀýÈçNaCl¡¢MgCl2ºÍCaCl2(»òÕßÊÇÒÔÁòËáÑκÍÏõËáÑεÄÐÎʽ´æÔÚ)£¬¶¼»á¶ÔÖØ½ðÊôµÄÈ¥³ý²úÉúÒ»¶¨µÄÓ°Ïì.±¾ÊµÑé·Ö±ð¿¼²ìÁËÕâЩ¹²´æÀë×Ó¶ÔZn2+È¥³ýµÄÓ°Ïì.ͼ 6ÊÇÈÜÒºÖÐNa+¡¢Mg2+ºÍCa2+¸÷×ÔŨ¶ÈÓëZn2+Ũ¶ÈµÄĦ¶û±ÈΪ1¡«10ʱ£¬KMS¶ÔZn2+µÄÈ¥³ýÂÊ.ÓÉͼ¿ÉÖª£¬Í¶¼Ó¾ºÕùÀë×Óºó£¬Zn2+µÄÈ¥³ýÂʳÊϽµÇ÷ÊÆ£¬µ«ÊÇÔÚ×î´óĦ¶û±ÈµÈÓÚ10ʱ£¬Na+¡¢Mg2+ºÍCa2+µÄ´æÔÚʹZn2+µÄÈ¥³ýÂʷֱ𽵵ÍÁË2.5%¡¢3.5%ºÍ3.7%.Õâ˵Ã÷ÈýÕß¹²´æÀë×ÓµÄÓ°Ïì±È½ÏС£¬ÆäÓ°Ïì˳ÐòΪCa2+ > Mg2+ > Na+.¸ù¾ÝÈíÓ²Ëá¼îÔÀí£¬ÁòÔ×ÓÊÇÈí¼î£¬Zn2+Êǽ»½çËᣬ¶øNa+¡¢Mg2+ºÍCa2+¶¼ÊÇÓ²Ëá(Ðí¼ÒʤµÈ£¬2010)£¬ÁòÔ×Ó¸üÒ×ÓÚZn2+½øÐй²¼Û¼ü½áºÏ.Òò¶øKMS¶ÔZn2+µÄÈ¥³ý¿ÉÊÊÓÃÓÚÓ²¶È½Ï´óµÄË®Ìå.
ͼ 6 ¼î½ðÊôºÍ¼îÍÁ½ðÊôÀë×Ó¶ÔZn2+È¥³ýµÄÓ°Ïì
¡¡¡¡3.5.2 ÖØ½ðÊôÀë×ÓµÄÓ°Ïì
¡¡¡¡KMS²ÄÁÏ¿ÉÒÔÓÐЧµØÈ¥³ýCd2+¡¢Pb2+ºÍNi2+µÈÖØ½ðÊôÀë×Ó£¬¶øÔÚʵ¼ÊË®ÌåÖУ¬ÍùÍù¶àÖÖÖØ½ðÊôÀë×ÓÊǹ²Í¬´æÔÚµÄ.±¾ÊµÑ齫Cd2+¡¢Pb2+¡¢Ni2+ºÍCu2+µÈÖØ½ðÊôÀë×ÓÓëZn2+½øÐоºÕùÎü¸½.ͼ 7ΪÔÚZn2+ÈÜÒºÖУ¬·Ö±ð¼ÓÈëÏàͬĦ¶ûŨ¶ÈµÄÉÏÊö4ÖÖ½ðÊôÀë×Óºó£¬KMS¶ÔZn2+µÄÈ¥³ýÂÊ.ÓÉͼ¿ÉÖª£¬Í¶¼ÓÖØ½ðÊôÀë×Óºó£¬Zn2+µÄÈ¥³ýÂÊÓнϴóµÄ½µµÍ£¬ËµÃ÷ÕâÐ©ÖØ½ðÊôÓëZn2+µÄ¾ºÕùÎü¸½×÷ÓñȽÏÃ÷ÏÔ.µ«ÊǸ÷¸öÖØ½ðÊôÀë×Ó¶ÔZn2+µÄÓ°Ïì³Ì¶ÈÊDz»Ò»ÑùµÄ£¬Ó°Ïì˳ÐòÊÇ£ºCd2+ > Pb2+ > Cu2+ > Ni2+.Ö÷ÒªÊÇÓÉÓÚ¸ù¾ÝÈíÓ²Ëá¼îÔÀí£¬ÁòÔ×ÓÊÇÈí¼î£¬Cd2+ÊÇÈíËᣬ¶øPb2+¡¢Ni2+¡¢Cu2+ºÍZn2+¶¼Êǽ»½çËá(Ðí¼ÒʤµÈ£¬2010)£¬ËùÒÔÔÚK+±»½»»»ºó£¬²ãÉϵÄÁò¸üÒ×ÓÚÓëCd2+²úÉú¹²¼Û¼ü×÷ÓÃ.Òò¶øµ¼ÖÂZn2+ºÍCd2+¹²´æÊ±£¬»áʹZn2+µÄÈ¥³ýÂʱäµÃ×îµÍ.¶ø¶ÔÓÚͬ¼Û̬µÄPb2+¡¢Ni2+¡¢Cu2+£¬Ô×Ó°ë¾¶Ô½´ó£¬Ô×Ӻ˶ÔÍâ²ãµç×ÓµÄÎüÒý¾ÍÔ½Èõ£¬¸üÒ×Ó븺µçÐÔµÄÁò·¢Éú¹²¼Û¼ü×÷ÓÃ.¶øÀë×Ó°ë¾¶£ºPb2+ > Cu2+ > Ni2+£¬ÔòÓëZn2+µÄ¾ºÕùÎü¸½ºó£¬¶ÔZn2+µÄÈ¥³ýÂʵÄÓ°Ïì˳ÐòÊÇPb2+ > Cu2+ > Ni2+.
ͼ 7 ÖØ½ðÊôÀë×Ó¶ÔZn2+È¥³ýµÄÓ°Ïì
¡¡¡¡3.6 ¶¯Á¦Ñ§¼°»î»¯ÄÜÑо¿
¡¡¡¡ÎªÁ˽øÒ»²½Ñо¿KMS¶ÔË®ÖÐZn2+½»»»µÄ¶¯Á¦Ñ§¹ý³Ì£¬²ÉÓÃ×¼Ò»¼¶¶¯Á¦Ñ§Ä£ÐͺÍ×¼¶þ¼¶¶¯Á¦Ñ§Ä£ ÐÍ.Á½¸öÄ£Ð͵ķ½³Ì·Ö±ðÈçÏ£º
¡¡¡¡×¼Ò»¼¶¶¯Á¦Ñ§Ä£ÐÍ£º
¡¡¡¡
¡¡¡¡×¼¶þ¼¶¶¯Á¦Ñ§Ä£ÐÍ£º
¡¡¡¡
¡¡¡¡Ê½ÖУ¬qtºÍqe·Ö±ðΪtʱ¿ÌºÍƽºâ̬ʱµÄÎü¸½Á¿(mg ¡¤ g-1);k1Ϊ׼һ¼¶Îü¸½ËÙÂʳ£Êý(min-1);k2ÊÇ×¼¶þ¼¶Îü¸½ËÙÂʳ£Êý(g ¡¤ mg-1 ¡¤ min-1).
¡¡¡¡½«Í¼ 4ÖеÄÊý¾Ý·Ö±ð´úÈëµ½¹«Ê½(3)ºÍ(4)£¬Í¨¹ý×÷ͼ¼ÆË㣬²»Í¬Î¶ÈÏÂKMSÎü¸½Zn2+µÄ¶¯Á¦Ñ§²ÎÊý£¬ÁÐÓÚ±í 1.±È½Ï¿É¾öϵÊýR2¿ÉÖª£¬×¼¶þ¼¶¶¯Á¦Ñ§·½³ÌµÄÏßÐÔÏà¹ØÐÔÒªºÃ£¬¿ÉÒÔ´ïµ½R2=0.999.ÔÚ²»Í¬µÄ·´Ó¦Î¶ÈÏ£¬Í¨¹ý×¼¶þ¼¶¶¯Á¦Ñ§Ä£ÐͼÆËãµÄqeÖµÒ²ÓëʵÑéÖеõ½µÄÖµ½Ó½ü.·´Ó¦ËÙÂʳ£Êýk2Ëæ×Å·´Ó¦Î¶ȵÄÔö¼Ó¶øÔö¼Ó.×¼¶þ¼¶¶¯Á¦Ñ§Ä£ÐÍÊÇ»ùÓÚ»¯Ñ§Îü¸½ÊÇÎü¸½¹ý³ÌÖеĿØÖƲ½Ö裬¶øÔÚʵÑéÖÐZn2+ÄÜÓë²ã¼äµÄK+½øÐÐÀë×Ó½»»»£¬²¢ÇÒÓëÁòÐγɹ²¼Û¼ü×÷Ó㬴ӶøÒ²Ö¤Ã÷Á˸÷´Ó¦ÊÇ·ûºÏ×¼¶þ¼¶¶¯Á¦Ñ§Ä£ÐÍ.
±í 1 KMSÎü¸½Zn2+µÄ¶¯Á¦Ñ§²ÎÊý
¡¡¡¡¶ÔÓÚ¹Ì-ÒºÌåϵµÄÎü¸½¹ý³Ì£¬°üº¬ÍⲿҺĤÀ©É¢¡¢¿ÅÁ£ÎïÄÚÀ©É¢ºÍÎü¸½.ÕâЩ²½ÖèÖУ¬ËÙÂÊ×îÂýµÄÊÇÕû¸öÎü¸½¹ý³ÌÖеÄËÙÂÊ¿ØÖƲ½Ö裬¶øÎü¸½·´Ó¦½øÐеıȽϿ죬Òò´Ë£¬Îü¸½ËÙÂÊÓÉĤÀ©É¢¡¢»òÕß¿ÅÁ£ÎïÄÚÀ©É¢¡¢»òÁ½Õß¹²Í¬¿ØÖÆ(Chen et al., 2010).ΪÁËÑо¿ÕâÒ»»úÀí£¬Í¨³£²ÉÓÿÅÁ£ÎïÄÚÀ©É¢Ä£ÐÍ(·½³Ì(5))£º
¡¡¡¡
¡¡¡¡Ê½ÖУ¬qtΪtʱ¿ÌµÄÎü¸½Á¿(mg ¡¤ g-1);kwΪ¿ÅÁ£ÎïÄÚÀ©É¢Ä£Ð͵ÄËÙÂʳ£Êý(mg ¡¤ g-1 ¡¤ min-1);CiΪÓë±ß½ç²ã(ҺĤ)ºñ¶ÈÓйصij£Êý.
¡¡¡¡Í¼ 8aÊÇqt¶Ôt0.5µÄ×÷ͼ£¬ÔÚ²»Í¬Î¶ÈÌõ¼þÏ£¬¶¼·Ö³É3ÌõÖ±ÏßÇÒ¾ù²»¹ýÔµã.µÚÒ»ÌõÖ±ÏßÖ¸µÄÊÇĤÀ©É¢×÷Ó㬵ڶþÌõÖ±ÏßÖ¸µÄÊÇ¿ÅÁ£ÎïÄÚÀ©É¢×÷Ó㬵ÚÈýÌõÖ¸µÄÊÇ¿ÅÁ£ÎïÄÚÀ©É¢±äÂýµ½Æ½ºâµÄ½×¶Î(Mao et al., 2012).Òò´Ë£¬¸ÃÎü¸½¹ý³Ì¶¼Êܵ½¿ÅÁ£ÎïÄÚÀ©É¢ºÍĤÀ©É¢µÄÓ°Ïì.ΪÁ˽øÒ»²½ÅжÏËÙÂÊ¿ØÖƵÄÖ÷Òª²½Ö裬²ÉÓÃBoyd¶¯Á¦Ñ§·½³Ì£¬ÈçÏ£º
¡¡¡¡
ͼ 8 ¿ÅÁ£ÎïÄÚÀ©É¢Ä£ÐÍ(a)ºÍҺĤÀ©É¢Ä£ÐÍ(b)µÄÄâºÏÇúÏß
¡¡¡¡¸ù¾Ý·½³Ì(6)¿ÉÒÔת»»Îª£º
¡¡¡¡
¡¡¡¡Ê½ÖУ¬FΪtʱ¿ÌÎü¸½ÖÊ·ÖÊý£¬ÊÇtµÄº¯Êý;qtºÍqe·Ö±ðÊÇtʱ¿Ì(min)Îü¸½Á¿ºÍ¼«ÏÞÎü¸½Á¿(ÒÔÆ½ºâÎü¸½Á¿´úÌæ).ÒÔ[-0.4977-ln(1-F)]¶Ôt×÷ͼ(ͼ 8b)£¬³Ê½ÏºÃµÄÖ±Ïß¹ØÏµ£¬µ«ÊǶ¼²»Í¨¹ýԵ㣬˵Ã÷ÔÚ²»Í¬Î¶ÈÌõ¼þÏ£¬ÒºÄ¤À©É¢ÊÇÎü¸½µÄÖ÷ÒªËÙÂÊ¿ØÖƲ½Öè(ÔÀÇÕÑ޵ȣ¬2007).
¡¡¡¡¿ÅÁ£ÎïÄÚÀ©É¢ËÙÂʳ£ÊýkwºÍºÍ½Ø¾àCi¿ÉÒÔͨ¹ýÊôÓÚ¿ÅÁ£ÎïÄÚÀ©É¢×÷ÓõĵڶþÌõÖ±ÏßµÄÊý¾Ý¼ÆËãµÃµ½ÄâºÏ²ÎÊý£¬ÆäÖÐCiÔÚ10 ¡æ¡¢25 ¡æºÍ40 ¡æ·´Ó¦Î¶ÈÏ·ֱðΪ77.89 mg ¡¤ g-1¡¢82.84 mg ¡¤ g-1ºÍ85.55 mg ¡¤ g-1.Ci±»ÈÏΪÊÇÓÃÀ´±íÕ÷ĤÀ©É¢³Ì¶ÈµÄ£¬CiÔ½´ó£¬À©É¢±ß½ç²ãÔ½ºñ£¬ÒºÄ¤À©É¢µÄÓ°Ïì¾ÍÔ½ÏÔÖø.Ëæ×ÅζȵÄÉý¸ß£¬Ci»á±ä´ó£¬Õâ˵Ã÷ҺĤÀ©É¢Ëæ×ÅζȵÄÔö¼ÓÒ²Ô½À´Ô½ÏÔÖø(Lin et al., 2011).
¡¡¡¡Í¨¹ýArrhenius·½³Ì¿ÉÒÔ¼ÆËãÀë×Ó½»»»µÄ·´Ó¦»î»¯ÄÜ£¬Æä·½³ÌÈçÏ£º
¡¡¡¡
¡¡¡¡Ê½ÖУ¬k2ÊÇ×¼¶þ¼¶¶¯Á¦Ñ§Ä£Ð͵ķ´Ó¦ËÙÂʳ£Êý(g ¡¤ mg-1 ¡¤ min-1);EaÊÇ·´Ó¦»î»¯ÄÜ(kJ ¡¤ mol-1);RÊÇÆøÌå³£Êý(8.314 J ¡¤ mol-1 ¡¤ K-1);TÊǾø¶ÔζÈ(K).lnk2Óë¾ø¶Ôζȵĵ¹Êý(1/T)×÷ͼµÃµ½Ò»ÌõÄâºÏÖ±Ïߣ¬Æä·½³ÌʽΪ£ºlnk2=-5080.16¡Á1/T+12.07£¬»î»¯ÄÜ·½³ÌµÄR2¿ÉÒÔ´ïµ½0.999£¬Í¨¹ý¼ÆËãµÃµ½Ea.»î»¯ÄܵÄÖµÄÜÇø±ð¸Ã·´Ó¦ÊÇÎïÀíÎü¸½»¹ÊÇ»¯Ñ§Îü¸½.µ±5 kJ ¡¤ mol-1 < Ea< 40 kJ ¡¤ mol-1£¬Ôò¸ÃÎü¸½ÊôÓÚÎïÀíÎü¸½£¬µ±40 kJ ¡¤ mol-1 < Ea < 800 kJ ¡¤ mol-1ʱ£¬¸ÃÎü¸½ÊôÓÚ»¯Ñ§Îü¸½.ÔÚ±¾ÊµÑéÖУ¬Ea = 40.24 kJ ¡¤ mol-1£¬Ôò±íʾ¸Ã·´Ó¦ÊôÓÚ»¯Ñ§Îü¸½(Lin et al., 2011).Ö÷ÒªÊÇÒòΪµ±Zn2+ÓëK+½øÐÐÀë×Ó½»»»½øÈëµ½²ã¼äºó»áÓëÁòÔ×Ó²úÉú¹²¼Û¼ü×÷Ó㬴ӶøÐγɻ¯Ñ§Îü¸½.
¡¡¡¡3.7 µÈÎÂÄ£ÐÍÑо¿
¡¡¡¡ÎªÁËÑо¿KMS¶ÔZn2+µÄµÈÎÂÎü¸½ÐÐΪ£¬Ñ¡ÓÃLangmuirºÍFreundichÎü¸½Ä£ÐͶÔÊý¾Ý½øÐÐÄâºÏ.
¡¡¡¡Langmuir·½³ÌÏßÐÔÐÎʽ£º
¡¡¡¡
¡¡¡¡Freundlich·½³ÌµÄµÄÏßÐÔÐÎʽ£º
¡¡¡¡
¡¡¡¡Ê½ÖУ¬CeÊÇZn2+µÄƽºâŨ¶È(mg ¡¤ L-1);qeºÍqmÊÇÆ½ºâÎü¸½ÄÜÁ¦ºÍÎü¸½¼ÁµÄ×î´óÎü¸½ÄÜÁ¦(mg ¡¤ g-1);KLÊÇLangmuirÎü¸½Æ½ºâ³£Êý(L ¡¤ mg-1);KfºÍnÊÇFreundlich³£Êý.ÓÃÎÞÁ¿¸ÙµÄ·ÖÀë³£ÊýRL½øÒ»²½·ÖÎöLangmuirÄ£ÐÍ£¬¹«Ê½Îª£º
¡¡¡¡
¡¡¡¡µ±RL=0ʱ£¬ËµÃ÷Îü¸½¹ý³Ì²»¿ÉÄæ;µ±RL½éÓÚ0¡«1Ö®¼ä£¬ËµÃ÷Îü¸½¹ý³ÌΪÓÅÊÆÎü¸½;µ±RL=1ʱ£¬ËµÃ÷Îü¸½¹ý³ÌΪÏßÐÔÎü¸½.
¡¡¡¡Á½ÖÖÄ£Ð͵ÄÄâºÏ½á¹û¼û±í 2£¬ÔÚ10¡«45 ¡æÎ¶ÈÇø¼äÄÚ£¬LangmuirÄ£Ð͵ÄÄâºÏÇúÏßµÄR2Öµ½ÏFreundlichÄ£ÐÍÄâºÏÇúÏßµÄR2ÖµÒª´ó£¬Õâ˵Ã÷KMS¶ÔZn2+µÄÎü¸½¸ü·ûºÏLangmuirÄ£ÐÍ.Zn2+ÓëK+½»»»ºóÓëÁòÔ×Ó¹²¼Û¼ü×÷ÓõĹý³ÌÀàËÆÓÚµ¥·Ö×Ó²ãÎü¸½¹ý³Ì.ʵÑéÖвâÊԺͱíÕ÷·¢ÏÖ²ãÉϵÄÒ»²¿·ÖÃ̻ᱻZn2+Ìæ´ú£¬µ«ÊÇZn2+ÓëK+½»»»Õ¼Ö÷µ¼µØÎ».´ËÍâ·ÖÀë³£ÊýRL½éÓÚ0¡«1Ö®¼ä£¬ËµÃ÷Zn2+ÈÝÒ×±»KMSËùÎü¸½.
¡¡¡¡3.8 Àë×Ó½»»»ºóµÄKMSµÄÎȶ¨ÐÔ
¡¡¡¡Ò»Ð©Ñõ»¯ÎïÎü¸½²ÄÁÏÔÚÎü¸½ÖؽðÊôºó¿ÉÒÔͨ¹ýHCl»òÕßNaOHÈÜÒºµÄ´¦Àí½øÐÐÔÙÉú£¬ÕâÊÇÓÉÓÚÑõÔ×ÓÓëÖØ½ðÊôÀë×ÓµÄ×÷ÓñȽÏÈõ¶øÒ×ÓÚÍÑÀë.KMSËäÈ»ÔÚpH 3¡«6µÄËáÐÔÈÜÒºÖÐÓнϺõÄÎȶ¨ÐÔºÍÎü¸½Á¿£¬µ«ÊÇÎü¸½ºóµÄKMS²»ÄÜÔÙÉú£¬ÕâÊÇÓÉÓÚпÓëÁòµÄ¹²¼Û¼ü×÷ÓúÜÀι̣¬²»Ò×·ÖÀë.µ«ÊÇÎü¸½ºóµÄKMSÄܹ»×÷ΪһÖÖ²»»áÔÙ´Îй¶³öÖØ½ðÊôµÄÓÀ¾Ã·ÏÆúÎ²»ÐèÒª½øÐжþ´Î´¦ÀíÒ²ÊǺܺõÄÑ¡Ôñ.Îü¸½ºóµÄ²ÄÁϹýÂ˸ÉÔïºó·ÅÈëË®ÈÈ·´Ó¦¸ªÖУ¬¼ÓÈëÒ»¶¨Á¿µÄË®£¬ÔÚ70 ¡æÏ·ÅÖÃ24 h(Manos and Kanatzidis£¬ 2009).×îºó²â¶¨Ë®ÖеÄZn2+º¬Á¿£¬½á¹û±íÃ÷Ö»ÓÐ0.08%µÄZn2+ÊͷųöÀ´£¬ËµÃ÷Îü¸½ºóµÄKMSÊǽṹÎȶ¨µÄ»¯ºÏÎï.
¡¡¡¡3.9 KMSµÄÀë×Ó½»»»»úÀí
¡¡¡¡Zn2+ÓëK+Àë×Ó½»»»ºóµÄXRDͼ£¬Èçͼ 2ÖеÄBÇúÏßËùʾ£¬²ÄÁϵÄÌØÕ÷ÑÜÉä·åÒÆµ½2¦È=7.87¡ã.ÀûÓò¼À¸ñ¹«Ê½¼ÆË㣬²ÄÁϵIJã¼ä¾àÓÉ0.851 nm±äΪ1.123 nm.ͨ¹ýEDSµÄ²âÊÔ·ÖÎö·¢ÏÖZn2+»áÓëÁòÊôÒõÀë×ÓÎÞ»ú²ãÖеIJ¿·ÖMn2+·¢ÉúÀë×Ó½»»».Àë×Ó½»»»ºóµÄ²ÄÁϾ¹ýÂËÏ´µÓ£¬ÔÙÔÚ60 ¡æÕæ¿Õ¸ÉÔïÏäÖиÉÔ×îºóͨ¹ýÈÈÖØ·ÖÎö£¬Èçͼ 9Ëùʾ.ÔÚζÈСÓÚ400 ¡æÊ±£¬²ÄÁÏʧȥ×ÜÖÊÁ¿µÄ5%£¬ÊôÓÚË®·ÖµÄÊ§ÖØ.ͨ¹ý¼ÆËã¿ÉÒԵóöÓëK+½»»»ºóµÄÿ¸öZn2+´øÓÐÔ¼1.7¸öË®·Ö×Ó.Ë®ºÏпÀë×Ó»á±È¼ØÀë×ӵİ뾶Ҫ´ó£¬¹Ê¶øÀë×Ó½»»»ºó£¬²ã¼ä¾à±ä´ó.ÕâÓëKMSÓëSr2+Àë×Ó½»»»µÄÇé¿öÏàËÆ£¬Àë×Ó½»»»ºó½øÈë²ã¼äµÄSr2+Ò²»áÒÔË®ºÏïÈÀë×ÓµÄÐÎʽ´æÔÚ¶øµ¼Ö²ã¼ä¾àÔö´ó(Manos et al., 2008).·´Ó¦·½³ÌʽºÍÀë×Ó½»»»Ê¾Òâͼ·Ö±ð¼û·½³Ì(12)ºÍͼ 10.
ͼ 9 Àë×Ó½»»»ºóµÄKMSµÄTGºÍDTGÇúÏß
¡¡¡¡
¡¡¡¡ÔÚÒѱ¨µÀµÄÎÄÏ×ÖУ¬KMS²ÄÁÏÎü¸½Cd2+¡¢Pb2+ºÍHg2+ºó£¬²ÄÁϵÄÑÕÉ«»á·¢Éú±ä»¯£¬Ö÷ÒªÓÉÓÚÕâÐ©ÖØ½ðÊôÀë×ÓÔÚÀë×Ó½»»»ºóÓë²ãÖеÄÁòÔ×Ó·¢Éú¹²¼Û¼ü×÷ÓÃ(Manos and Kanatzidis£¬ 2009).Zn2+ÓëK+Àë×Ó½»»»ºó£¬²ÄÁϵÄÑÕɫҲÓÉÉîºÖÉ«±äÎª×Ø»ÆÉ«£¬Îü¸½µÄZn2+Óë²ãÉϵÄÁò·¢Éú¹²¼Û¼ü×÷Ó㬲úÉúÁË»¯Ñ§Îü¸½.
¡¡¡¡Í¼ 11ÊÇKMSµÄµç¾µÉ¨Ãèͼ.KMS²ÄÁÏ³ÊÆ¬×´£¬±¡Æ¬µÄ³ß´ç²»¾ùÒ»ÇÒÓÐÐ©ÖØµþ£¬ÓÐЩÏ໥½»´í.Àë×Ó½»»»ºóµÄ²ÄÁÏ£¬ÓÉÓÚÀë×Ó½»»»·´Ó¦ºÍÈÜÒºµÄ»úеÕñµ´Ê¹µÃ´óµÄ¿é×´±¡Æ¬»áËé³ÉСµÄ±¡Æ¬£¬ÆäÖÐÓÐЩ±¡Æ¬Ò²»áÖØµþÔÚÒ»Æð.¿ÅÁ£Îï±íÃæ±äµÃ´Ö²Ú£¬ÕâÖ÷ÒªÊÇÓÉÓÚ·¢ÉúÁË»¯Ñ§Îü¸½·´Ó¦¶øÇÒÓÐЩСµÄË鯬»á¸½×ÅÔÚ´óµÄ±¡Æ¬ÉÏÃæ¶øÔì³É´Ö²Ú.ͨ¹ýͼ 2¿ÉÖª£¬¾¹ýÀë×Ó½»»»ºóµÄKMSµÄXRDͼÖв¢Ã»ÓÐZnSµÄÌØÕ÷·å³öÏÖ£¬ËµÃ÷·´Ó¦ºóûÓÐZnSÉú³É.
ͼ 11 ɨÃèµç¾µÍ¼(a£¬b:Àë×Ó½»»»Ç°£»c£¬d: Àë×Ó½»»»ºó)
¡¡¡¡4 ½áÂÛ
¡¡¡¡KMSͨ¹ýÀë×Ó½»»»ÓÐЧµØÈ¥³ýË®ÖеÄZn2+.ÈÜÒºµÄpH(pH 3¡«6)¶ÔÎü¸½Á¿Ã»ÓÐÓ°ÏìÇÒÄܱ£³ÖÎȶ¨.ÔÚ10 ¡æ¡¢25 ¡æºÍ40 ¡æÏ£¬KMS¶ÔZn2+µÄ×î´óÎü¸½Á¿·Ö±ðÊÇ£º111.67 mg ¡¤ g-1¡¢142.91 mg ¡¤ g-1ºÍ161.02 mg ¡¤ g-1.¶¯Á¦Ñ§¹ý³Ì·ûºÏ×¼¶þ¼¶¶¯Á¦Ñ§Ä£ÐÍ£¬ËÙÂÊ¿ØÖƲ½ÖèÖ÷ÒªÓÉĤÀ©É¢¿ØÖÆ.Îü¸½Æ½ºâ¹ý³Ì·ûºÏLangmuirµÈÎÂÎü¸½Ä£ÐÍ.¼î½ðÊôºÍ¼îÍÁ½ðÊôÀë×Ó¶ÔZn2+È¥³ýÂʵÄÓ°Ïì½ÏС£¬¶øÖؽðÊôÀë×Ó¶ÔZn2+È¥³ýÂÊÓнϴóµÄÓ°Ïì.Àë×Ó½»»»ºóµÄKMS¿ÉÒÔ×÷ΪһÖÖÓÀ¾ÃµÄ·ÏÆúÎï.
Ïà¹ØÎÄÕÂ
- ¸÷Àà·þ×°³ÄÁÏӡȾ·ÏË®´¦Àí¼¼Êõä¯ÀÀ 12 / 2016-11-16
- ¸ßSSÖµ·Ä֯ӡȾ·ÏˮԤ´¦Àí¼¼Êõä¯ÀÀ 6 / 2016-11-16
- Ñõ»¯Ã¾ÑÌÆøÍÑÁò·ÏÔüÓÃÓÚ·ÏË®³ýÁ×ä¯ÀÀ 28 / 2016-11-16
- ÒºÒºÝÍÈ¡-ÒºÏàÉ«Æ×·¨²â·ÏË®ÖеÄÂÈ·Óä¯ÀÀ 17 / 2016-11-16
- ³¬(³¬)ÁÙ½çÖ±Á÷¹øÂ¯¸øË®¼ÓÑõ´¦Àí¼¼Êõä¯ÀÀ 17 / 2016-11-16
- ¸Ä½øÑáÑõ·´Ó¦Æ÷´¦Àíµí·Û·ÏË®ä¯ÀÀ 4 / 2016-11-16
- MBR-RO¹¤ÒÕÉî¶È´¦Àíú»¯¹¤·ÏË®ä¯ÀÀ 21 / 2016-11-16
- ¹Ì¶¨»¯ÆáøÉî¶È´¦ÀíÖÆ½¬ÔìÖ½·ÏË®ä¯ÀÀ 14 / 2016-11-16
- ¸ßŨ¶ÈӡȾ·ÏˮԤ´¦Àí¼¼Êõä¯ÀÀ 4 / 2016-11-16
- ÐÂÐÍÁ½¶Îʽ³¬ÉùÇ¿»¯µç»¯Ñ§·¨½µ½â´¦ÀíȾÁÏ·ÏË®ä¯ÀÀ 17 / 2016-11-16
- Éú»îÎÛˮһÌ廯É豸¹¤ÒÕÁ÷³Ìä¯ÀÀ 7 / 2016-11-16
- ¼¯ÕòÎÛË®´¦Àí¼¼Êõä¯ÀÀ 6 / 2017-07-20
- ÑáÑõ-È˹¤Ç±Á÷ÐÍʪµØ¼¼Êõä¯ÀÀ 18 / 2016-11-16
- ³ÇÊÐÎÛË®ÖÎÀí³£Ó÷½·¨ä¯ÀÀ 11 / 2016-11-15














