权利要求
一种聚环氧琥珀酸及其盐的制备方法,该方法按顺丁烯二酸酐与水的摩尔比
为l:4-30,将顺丁烯二酸酐溶解在水中生成顺丁烯二酸,加入氢氧化钠直至
pH=5-7,按顺丁烯二酸摩尔数的0.1%~l0%加入钨酸钠,在50--100℃下,连续加入过氧化氢水溶液,过氧化氢的总加入量是顺丁烯二酸摩尔数的1.0~1.2倍,加入时间30min-6h,同时用氢氧化钠保持pH=5-7,生成环氧琥珀酸钠,再加入氢氧化钙和氢氧化钠在80~100℃下聚合30min-8h,得聚环氧琥珀酸钠盐,或将制得的聚环氧琥珀酸钠盐酸化可以得到聚环氧琥珀酸,其特征在于,按环氧琥珀酸钠与氢氧化钙摩尔比为1:0.01t0.05加入氢氧化钙为催化剂,同时加入氢氧化钠调节体系的pH=10-13,得到钙离子含量低的聚环氧琥珀酸钠盐或聚环氧琥珀酸。
技术领域
本发明涉及一种聚环氧琥珀酸及其盐的制备方法。属于聚环氧琥珀酸及其盐的制备技术。
背景技术
聚环氧琥珀酸及其盐是一种新型的阻垢剂、分散剂、缓蚀剂、金属离子的螯合剂,可以用于工业水处理中作为阻垢剂、分散剂、缓蚀剂,在洗涤剂、清洗剂、去污剂中作为金属离子的螯合剂等。聚环氧琥珀酸及其盐除具有良好的性能外,还具有良好的生物降解性,属于绿色化学品。
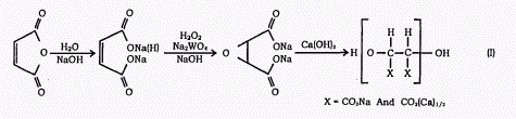
关于聚环氧琥珀酸及其盐的制备方法,美国专利(us3776850)报道:用三氟化硼作为催化剂催化环氧琥珀酸二乙酯聚合、再皂化合成聚环氧琥珀酸盐。美国专N(us4654159)报道:将顺丁烯二酸酐溶解在水中、加入氢氧化钠生成顺丁烯二酸钠:加入钨酸钠为催化剂、连续加入过氧化氢,用氢氧化钠保持pH=5~7,生成环氧琥珀酸钠;再按环氧琥珀酸钠与氢氧化钙摩尔比为1:0.05-0.8加入氢氧化钙为催化剂,在80-100℃下聚合合成聚环氧琥珀酸盐(方程式I)。
该专利同时报道,在聚合反应时加入氢氧化钙的量少(环氧琥珀酸钠与氢氧化钙摩尔比≤l:0.05)时,转化率低,产物中含有大量未反应的环氧琥珀酸钠。只有在聚合反应时加入氢氧化钙量大(环氧琥珀酸钠与氢氧化钙摩尔比≥l:0.1)时,环氧琥珀酸钠能转化完全,产物中n=3---,6的组分达70%。
采用上述制备方法,在聚合反应时加入大量氢氧化钙,使聚环氧琥珀酸钠产物中含有大量的钙离子,如果直接使用,将带到应用的环境中,如果进行分离,过程比较复杂。我们发现,在聚合反应时加入氢氧化钙的量少(环氧琥珀酸钠与氢氧化钙摩尔比≤l:0.05)时,体系的pH<8,在该条件下聚合,环氧琥珀酸钠的转化率低。
发明内容
本发明的目的在于提供一种聚环氧琥珀酸及其盐的制备方法。该方法合成的聚环氧琥珀酸及其盐中钙离子含量低,产品可以直接用于工业水处理和合成洗涤剂、清洗剂、去污剂。
为达到上述目的,本发明是通过下述技术方案加以实现的:按顺丁烯二酸酐与水的摩尔比为l:4-30,将顺丁烯二酸酐溶解在水中生成顺丁烯二酸,加入氧氧化钠直至pH=5~7,按顺丁烯二酸摩尔数韵0.1%~l0%加入钨酸钠,在50~lo0℃下,连续加入过氧化氢水溶液,过氧化氨的总加入量是顺丁烯二酸摩尔数的1.0~1.2倍,加入时间30min-6h,同时用氢氧化钠保持pH=5~7,生成环氧琥珀酸钠,再加入氢氧化钙和氢氧化钠在80~100℃下聚合30min~6h,得聚环氧琥珀酸钠盐,或将制得的聚环氧琥珀酸钠盐加盐酸或硫酸酸化得到聚环氧琥珀酸,其特征在于,按环氧琥珀酸钠与氢氧化钙摩尔比为l:0.0l--0.05加入氢氧化钙为催化剂,同时加入氢氧化钠调节体系的pH=l0~l3,得到钙离子含量低的聚环氧琥珀酸钠盐或聚环氧琥珀酸。
下面对本发明进行进一步地说明。

将顺丁烯二酸酐溶解于水时,应注意温度不应超过70℃,当温度超过70℃以上,部分顺丁烯二酸被转化成反丁烯二酸,因此会影响产物的收率。加入的氢氧化钠可以是固体,也可以是溶液,但氢氧化钠加入后,顺丁烯二酸酐与水的摩尔比应为l:4-30,pH=5~7。钨酸钠可以以固体或溶液形式加入。加入钨酸钠后,将反应器温度控制在50-100℃。用计量泵连续加入过氧化氢水溶液,加入时间为30min~6h,过氧化氢的浓度为20~50%(质量),过氧化氢的总加入量是顺丁烯二酸摩尔数的1.0~1.2倍。在加入过氧化氨的同时,用氨氧化钠溶液保持体系pH:5~7。过氧化氢加完后,按环氧琥珀酸钠与氢氧化钙摩尔比为l:0.0lN0.05加入氢氧化钙,同时用氢氧化钠调节pH=l0~l3,在80-l00℃下聚30min-8h得聚环氧琥珀酸钠盐,产物中钙离子含量低。聚合产物可以用无机酸调节pH<2.5,分离得到聚环氧琥珀酸。无机酸可以是盐酸或硫酸。
本发明的优点在于,通过加入少量氢氧化钙为聚合催化剂,同时用氢氧化钠调节体系的pH值,实现聚环氧琥珀酸盐的合成,产物中钙离子含量低于0.3%,得到的产品可以直接用于工业水处理中作为阻垢剂、分散剂、缓蚀剂,在洗涤剂、清洗剂、去污剂中作为金属离子的螫合剂等。并且产品无毒无味,能长期稳定保存。
具体实施方式
例l
在装有搅拌器、回流冷凝器的500mL三口瓶中,加入98g(1.0摩尔)顺丁烯二酸酐、100g水,在搅拌下慢慢加入4D%NaOH溶液直至pH=6。开始加入时,顺丁烯二酸与NaOH反应,温度迅速上升。用水浴控制体系的温度在70℃以下。40%NaOH的总加入量约228g。用计量泵将136g过氧化氢(30%水溶液)在30min内加入,同时用40%NaOH溶液保持pH=6,得到环氧琥珀酸钠。在反应器中加入2.85g氢氧化钙,再用40%NaOH溶液调节体系的pH=12,在90℃下聚合3h,得到292g含30%(质量)聚环氧琥珀酸钠的溶液,钙离予的浓度为0.25%(质量)。经分析,聚合物组成的分布为:n=2占16%,n=3~6占72%,n>6占12。
例2
按例l的操作程序,在反应器中加入2.85g氢氧化钙后,pH=7.6,在90℃下聚合3h。经分析,3l%环氧琥珀酸钠未发生聚合。
例3
在装有搅拌器、回流冷凝器的500mL三口瓶中,加入98g(1.0摩尔)顺丁烯二酸酐、100g水,在搅拌下慢慢加入40%NaOH溶液直至pH=6。用水浴控制体系的温度在7O℃以下。NaOH的总加入量约228g。用计量泵将136g过氧化氢(30%水溶液)在30min内加入,同时用40%NaOH溶液保持pH=6。在反应器中加入2.0g氢氧化钙,再用40%NaOH溶液调节体系的pH-1l,在90(2下聚合3h,得到292g含30%(质量)聚环氧琥珀酸钠的溶液,钙离子的浓度为0.18%。经分析,聚合物组成的分布为:n=2占20%,n=3-'6占69%,n>6占ll。将聚合产物用盐酸调节pH=l,析出固体,经过滤洗涤,得128g聚环氧琥珀酸。













