纤维素经由一系列化学改性,可以制取不同用途的纤维素衍生物,在纤维素上引入具有酸性、碱性或螫合性的离子基团,在很大程度上可以改变纤维素原有的性质,使其具有离子交换树脂的特点,又可保持纤维素的部分结构.
本文研究以广西丰富的甘蔗渣为原料,合成了四种兼含氮,硫的绿色高分子化合物———改性蔗渣纤维素水处理剂MFCS,并研究了MFCS对Cu(Ⅱ),Cr(Ⅵ),Pb(Ⅱ),Zn(Ⅱ)的吸附性能及结构特点.
1 实验部分
1.1 仪器、原料及试剂
本研究使用的主要仪器:日立Z8000原子吸收分光光度计(日本),78-1A磁力搅拌器(杭州仪表电机公司),HK-1B型恒温水槽(南京大学应用物理研究所),NicoletNexus470FT-IR红外光谱仪(美国Nicolet公司),日本理学D/max2500V型X射线衍射仪.甘蔗渣(广西扶绥糖厂提供);氢氧化钠、二硫化碳、乙二胺、高锰酸钾、浓硫酸、EDTA、丙烯酰胺,共七种试剂均为分析纯;二甲基二烯丙基氯化铵(DMDAAC)为化学纯.
1.2 改性蔗渣纤维素水处理剂的制备
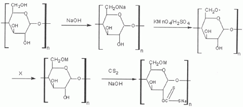
含有大量可反应羟基的蔗渣纤维素首先分别与几种含氮单体反应,然后在碱性条件下与二硫化碳作用,制得兼具氮、硫的改性蔗渣纤维素水处理剂.可能的反应式如下:

X为反应单体,M为单体反应后接枝到纤维素上的基团,MFC及MFCS所对应反应单体分别为:

1.2.1蔗渣纤维素含氮衍生物MFC的合成
称取过100目筛的甘蔗渣细粉6g,加入22%NaOH,搅拌20min后,静置24h,挤干碱液,水洗至中性后倒入三颈瓶中,分别加入各种含氮单体,用H2SO4溶液调节pH值,再加入适量KMnO4溶液,85℃水浴,回流反应5h后趁热抽滤,水洗至中性,丙酮润洗后风干,可分别得到4种蔗渣纤维素含氮衍生物MFC,然后抽提以除去未反应的单体或均聚物.
1.2.2 改性蔗渣纤维素水处理剂MFCS的合成
将实验1.2.1所制备蔗渣纤维素含氮衍生物MFC分别倒入三颈瓶中,加入一定量的NaOH溶液,滴加1.8mLCS2,搅拌1h,在最后10min加入一定量5%MgSO4溶液,将所得粗产品水洗至中性,然后用丙酮润洗,50℃烘干至恒重后即得4种改性蔗渣纤维素水处理剂MFCS.
1.3 MFCS的应用及吸附性能的测定
1.3.1 水处理方式及吸附性能的测定方法
称取一定量的MFCS放入含重金属离子的溶液中,调节pH值,搅拌30min,静置,取上层清液,用原子吸收分光光度法测定溶液中剩余金属离子的浓度,然后计算吸附容量.
1.3.2 吸附选择性
将混合金属离子溶液按上述方法进行水处理及吸附容量的测定,以得出混合溶液中不同金属离子的吸附容量大小顺序.
1.3.3 重复使用性
MFCS吸附金属离子后,将MFCS分离出来,用10%氨水解吸附,再用蒸馏水洗涤,烘干后重复使用,再进行水处理及吸附容量的测定,由此判断MFCS再生性的优劣.
1.3.4 电镀废水的处理及结果分析
使用MFCS处理南宁市电镀厂综合排放的电镀废水,并进行结果分析,由此判断MFCS对实际废水处理能力的强弱.
1.4 MFCS的结构测定
以NicoletNexus470FT-IR红外光谱仪分别对蔗渣纤维素及具有代表性的MFCS-3进行红外光谱的测定.使用日本理学D/max2500V型X射线衍射仪对以微晶纤维素Cell-OH为起始原料,在相同条件下合成的MFCS-3进行X射线衍射分析.
2 结果与讨论
2.1 吸附选择性
分别测定MFCS对两组分混合金属离子的标准溶液进行水处理后的吸附容量Q的大小,结果如下表1.由此可见MFCS对金属离子的吸附顺序为Cu(Ⅱ)>Zn(Ⅱ)>Cr(Ⅵ)>Pb(Ⅱ)

2.2 重复使用性
分别测定了吸附性能较好的MFCS-2及MFCS-3吸附Cu(Ⅱ)后,用10%氨水解吸附并重复使用5次的吸附容量,结果如下表2.由此可知使用5次后,MFCS-2及MFCS-3吸附容量降低率分别为15.6%和12.7%,表明MFCS-2及MFCS-3均具有较好的重复使用性及稳定性.

2.3 电镀废水的处理及结果分析
对南宁市电镀厂综合排放的电镀废水进行处理,结果见表3,表4,表5,表6,由此看出MFCS对金属离子具有较好的脱除率,水处理后均能达标排放.其中以MFCS-2及MFCS-3的水处理效果最佳.

3 MFCS结构表征
3.1 红外光谱分析
由图1及图2可看出,蔗渣纤维素与含氮化合物及二硫化碳作用合成的MFCS-3在1450cm-1附近显示C-S的变形振动,表明有-O-CSSH存在.此外,在1100cm-1附近显示C-N伸缩振动.由此可见MFCS-3同时具有含氮及含硫基团.

3.2 X射线衍射图分析
从图3可看出,纤维素在2θ=14.863,16.341*,22.679*,34.042*,34.475*处存在有强衍射吸收,而MFCS-3在2θ=14.863*,16.341*,34.042*,34.475*处几乎无吸收,在22.679*处的吸收峰也大为减弱.MFCS-3在2θ=38*,58*出现吸收,而纤维素在此两处无吸收.这是因为纤维素与含氮化合物及二硫化碳作用后,其结晶度发生了明显改变所致。

4 结 论
本文通过对蔗渣进行改性,合成了兼含氮、硫的改性蔗渣纤维素水处理剂MFCS-1~MFCS-4共四种化合物,并对这四种化合物进行了吸附性能及结构表征的研究,可以得出以下结论.
(1)KMnO4/H2SO4体系能引发蔗渣纤维素与含氮单体反应,反应温度85℃,反应时间5h.
(2)乙二胺和EDTA制得的改性蔗渣纤维素水处理剂MFCS-2和MFCS-3综合了氮、硫与金属离子较强的配位螯合能力,与重金属离子反应形成稳定的螯合物,具有很强的吸附重金属离子的能力.
(3)用MFCS对电镀废水中的重金属离子一次脱除率即可达95%以上.MFCS用10%氨水解吸附后可重复使用.
(4)利用广西丰富的可再生资源甘蔗渣合成MFCS,达到废物利用的目的.MFCS具有处理重金属离子效果良好、成本低、使用量小、制备简单的特点.大力发展应用MFCS这种天然高分子水处理剂,符合绿色化学的发展方向,能为实现人类可持续发展做出贡献.














