[拼音]:bengou fangcheng
[外文]:constitutive equations
连续介质力学中描述特定物质性质的方程。它建立了特定连续介质的运动学量、动力学量、热力学状态之间的某些相互关系。本构关系随所考虑的具体介质和运动条件而变。
质量、动量、能量守恒律对所有物质都适用,连续介质力学以各种微分方程,如连续方程、运动方程、平衡方程等为主要研究手段。通常,这些方程中的动力学量、运动学量(有时还包括热力学量),都是未知函数,其数目多于体现上述守恒律的方程的个数。为了求解反映守恒律的方程组,添加了本构方程,使自变量的数目同总的方程数目相等。所以,本构方程是解决连续介质力学问题中的质量、动量、(有时加上)能量守恒定律的必要补充。
客观上存在的流体、固体多种多样,运动的环境也千差万别,为了对问题进行深入的研究,本构方程只能反映介质性质的主要方面,否则使问题过于复杂,理不出头绪。本构方程规定的介质是客观物质的力学模型。本构方程必须反映介质和运动环境的主要特点,但又要求简单,使所列出的方程便于进行数学计算。
常用的并且是最为成熟的用于连续介质力学的本构方程有下列三组:
(1)无粘流体。(1)粘度为零,即η=η┡=0,η和η┡为粘度和第二粘度;(2)应力张量只是压力p;(3)密度均匀不变,ρ(x,y,z,t)=常数,或是在密度显著变化时采用常比热完全气体(见流体力学的能量方程)的模型:定容比热容сv=常数,定压比热容 сp=常数,p=ρRT,式中T为热力学温度,R为普适气体常数。单位质量内能e=сvT,熵S-S0=сvlnpρ-γ,式中γ为сp/сv,S0为某一约定状态的熵值。
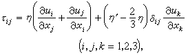
(2)牛顿流体。(1)粘度η=η(T,p),函数的具体形式随流体和温度范围而变;(2)应力张量的一部分是压力p,此外,还加上同粘性和变形率(见流体力学)有关的张量,其分量为
式中Up(U3,U3,U3)为流速U的三个分量。
,
;(3)rho;(x,y,z,t)=常数,或任何形式的具体状态方程f1(p,rho;,T)=0,f2(e,p,S)=0。
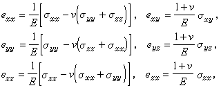
(3)完全弹性体 (各向同性)。是固体力学中发展得最为成熟的部分,在直角坐标系中它的本构方程是应力张量的六个分量 σxx,σyy,σzz,σxy,σyz,σzx同应变张量的六个分量 exx,eyy,ezz,exy,eyz,ezx之间的线性关系,由胡克定律表述
式中E是杨氏模量,v是泊松比,同粘性流体相比,这里既没有热力学量,也没有对时间的导数。温度升高会使金属膨胀而产生应力,要考虑这个效应,就应补充σij=ß(T-T0),式中的常数ß和线膨胀系数有关。
20世纪20年代开始构造塑性力学的本构方程,这远比各向同性完全弹性体复杂,现在已经有很多成功的模型, 然而仍待做更多的研究。从50年代起对1300℃以上的空气、动载荷下土壤(由土、空隙和水组成,又分软土、硬土等)做了大量研究。对空气做得很成功,对土壤(尤其是硬土)至今尚待完善。燃烧产物的本构方程,蒸气和水、煤粉和空气、煤块和水等等两相共存混合物的本构方程,不断出现的新型材料的本构方程,都是近代很受重视的研究对象。
建立本构方程时既要有理论上的推理、论证,还要有实验测定的若干常数。在研究和使用本构方程的长期过程中,人们致力于划清适用条件,阐明理论模型同实际的符合程度。
同一种物质,在不同的条件下又可以针对所考虑的那一类条件,列出适用于该类条件的本构方程。例如,讨论水池中波浪,可以用密度rho;=常数,η=0,应力张量只是压力这一流体模型。但讨论水中声音传播时则必须考虑密度的变化加上绝热过程的条件。金属在载荷小、变形小的条件下可以看作各向同性弹性体;金属在载荷过大、变形过大条件下会呈现塑性以至断裂,这时,胡克定律就不适用了。