热力学状态

热力学系统的状态。是由一些宏观的性质如质量、温度、压力、体积或组成等来描写和规定的。这些用来规定状态的性质叫做热力学变量或状态性质,一旦规定了状态的热力学变量,其他平衡状态性质就是这些变量的函数,称为热力学函数或状态函数。至于用哪几种性质规定体系的状态,则有一定的任意性。如果系统的宏观性质都不随时间发生变化而处于定值时,称系统处于平衡状态。

系统性质

分为两类:

(1)容量性质,在一定条件下其数值大小与系统中所含物质的量成正比,具有加和性,例如质量、体积、内能和熵等;

(2)强度性质,其数值大小与系统中所含物质的总量无关,不具有加和性,例如温度、压力、密度等。

状态函数

有如下两个特征:

(1)系统的状态确定后,它的每一个状态函数都有一个唯一确定的数值,即每一个状态函数都是系统状态的单值函数。例如体积是状态函数,当系统的状态确定后,其体积就有唯一确定的数值。

(2)当系统从一个平衡状态变到另一个平衡状态时,其一部分或全部状态函数值便会发生变化,状态函数变化量的大小只决定于系统的始态和终态,与变化所经历的途径无关。

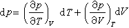
用数学语言表示这两个特征时,则状态函数的微小变量是全微分。例如,一定量的某理想气体的压力p是状态函数,它可以表示成温度T和体积V的函数:

pf(TV)

则dp是全微分,即:

公式 符号

凡是状态函数,一定具有以上两个特征。反之,如果系统的某个物理量具有上述两个特征,则它一定是状态函数。

状态方程

同一个热力学系统的许多状态函数之间,并不是相互独立、彼此无关的。如果系统的某一个状态函数发生变化,至少另外一个甚至几个状态函数也会发生变化。因此要规定系统的状态,并不需要确定所有状态函数,只要确定其中少数几个,其他的也就随之而定了。经验告诉我们,对于一个已确定量的物质的单组分、单相系统,只需要规定两个状态函数,就能够确定它的状态。也就是说,这类系统的热力学平衡条件可用以下关系式来表示:

f(TpV)=0

这个关系式就叫做状态方程,它具体地描述了系统处于平衡状态时各状态函数和状态性质之间的定量关系。例如,理想气体状态方程为:

pVnRT

式中n为理想气体的物质的量(基本单元是分子);pV分别为理想气体的压力和体积;T为理想气体的热力学温度;R为理想气体常数。

对于1摩尔理想气体,状态方程pVRT在(pVT)坐标系中的几何图像是一个曲面,称为状态曲面。状态曲面上的点与系统的平衡状态是一一对应的。

参考书目
  1. 王竹溪著:《热力学》,高等教育出版社,北京,1955。