异重流

浏览

在重力场中由于流体密度差异而产生的分层流动,又称密度流或重力流。气流或水流各部分温度不同,气流中挟带水气、尘埃及其他颗粒物,水流中挟带细粒泥沙或含有盐份等,都会产生流体密度差异而形成异重流。图 1为水库上游未端形成的异重流。异重流可分双层体系和多层体系两类。在自然界中,异重流的表现形式有水库中的分层潜流,河流入海口盐水入侵淡水,大气中冷暖气流所形成的锋面等。

图 研究简史

19世纪末,瑞士学者观察到浑浊的低温河水潜入湖底形成潜流。1935年,美国米德湖水库排出浑水,这个现象表明浑水进库可在库底持续运行百余公里,再排出库外。于是,异重流现象引起有关学科学者的重视。40年代,美国开始在实验室和水库进行实验和观测。1953年起,中国学者首先在官厅水库进行观测,后来在三门峡等水库进行实验,并且在室内进行试验研究,探索利用异重流的规律以排泄泥沙出库。

基本方程

异重流的基本方程是以流体力学的基本方程为基础导出的。现以最简单的恒定的均匀底层流作为说明。当底层水流受到底部边界和可动交界面的剪切阻力和由于密度差而产生的重力作用互相平衡时,沿着底坡即可形成恒定的均匀异重流(图2)。

图

对于二元水流,平衡方程式为:

τ0+τiρgSd,         (1)

式中Δρ为两层流体的密度差;d为下层流体的水深;S为河床坡降;τ0τi为底部和交界面的剪切应力。设τi=ατ0α 随着底部和交界面之间最大流速的位置而变化。消去式(1)中的τi,即得:

公式 符号。       (2)

如用适用于层流和湍流的摩阻公式来表示,则为:

公式 符号,        (3)

式中f为常用的达西-魏斯巴赫摩擦系数(见管流)。由式(2)、(3)得异重流的平均流速为:

公式 符号       (4)

式(4)和谢才公式的通用形式公式 符号完全一致。但要把式(4)中的f 改为f(1+α),这是因为增加了交界面的阻力;更为重要的是把g要改为公式 符号,这是因为下层流体的有效重力显著减小的缘故。经过上述修正,许多明槽水流运动公式,都可以应用于异重流。

交界面的稳定和掺混

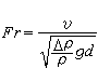
流速很低的异重流分界面是清晰的。在分界面,流体密度是突变的,而流速则是连续变化的。当两层流体的相对流速增加时,分界面会形成波浪;当这种流速达到临界值时,分界面波浪会发生周期性的破碎,开始出现掺混。美国G.H.科立根于1949年获得稳定参数或掺混判别式:

公式 符号 ,       (5)

式中公式 符号弗劳德数;公式 符号雷诺数v为异重流相对于上层流体的流速。对于层流,美国A.T.伊彭和D.R.F.哈勒曼于1952年通过试验方法确定,水流处于临界水深,即Fr=1时(见无压流),就发生掺混。

对于湍流,科立根 1949 年确定发生掺混的临界值θcr =0.18,根据式(5)计算出的θ值小于θcr 就发生掺混。

展望

几十年来发表的异重流文献很多,但还有不少问题需要进一步研究。主要有:

(1)交界面的掺混交换机理。具有不同性质物理量的清浑水、冷热水、冷热气流、含盐浑水和含盐清水,它们之间的传递机理不同,也影响到交界面的阻力。

(2)不恒定异重流。自然界的异重流大多属于不恒定流,洪峰期间进入水库的浑水、河口含泥盐水形成的楔形底流在潮汐作用下的运动规律都不能忽视惯性力的作用。从发展情况看,数学力学分析和计算,结合室内实验和野外观测,都是解决实际问题不可缺少的途径。

参考文章