无压流

部分周界和气体接触的液体流动。液体和气体密度悬殊,二者交界面在起伏运动中所受约束很小,称为自由表面。自由表面上各处压强相等。常见的无压流有明槽流、河流、未充满水的管流、水工建筑物中的坝面溢流等。

人类自古以来傍水而居,由于取水、防洪、灌溉、航运等需要,上古时期就开始兴建大规模的水利设施,同时开始明槽流的研究(见液体动力学)。

基本性质

无压流主要在重力、惯性力和阻力作用下,随边界条件的不同,形成各种流动。为分析重力与惯性力的影响,取一宽为B的矩形断面明槽(见图),

图

如不考虑阻力,水流以槽底为基准的能量关系为:

公式 符号,      (1)

h为水深;v为断面平均流速;QvBh为流量。式(1)反映没有阻力时无压流的能量关系,其中ES为单位重量水体的总能,称为比能;等号右边的hv2/2g分别代表单位重量水体的势能和动能。将ESh微分:

公式 符号

表示惯性力与重力量级比值,称为弗劳德数,记为Fr。在Fr=1时,ES达到最小值,对应的水深hc称为临界水深,公式 符号。在无压流中,同一比能,同一流量,由于重力和惯性力起的作用不同,对应着两个水深(如h1h2)。Fr<1的流动,重力起主导作用,称为亚临界流,此时,水深大于临界水深,ESh减小而减小。Fr>1时,称为超临界流,惯性力作用较大,此时,水深小于临界水深,ESh减小而增大。

另一方面,小波浪(浅水重力波)在静水中传播的速度为公式 符号,因此,Fr数也可以看成是水流流速与小波浪传播速度的比值。在亚临界流区,小波浪传播速度大于流速,槽中障碍物(如槽中的孤古,河中的水坝、堰、桥墩)的影响会延伸到上游,使上游水位抬高。在超临界流区,障碍物并不影响到上游,扰动在障碍物附近集聚成有一定高度的大波浪(即水跃),水流通过水跃从超临界流转化为亚临界流。明槽壁面的起伏,则造成一些斜水跃。水流从亚临界流转化为超临界流时,水面急剧跌落,这种现象称为水跌。溢流坝头部附近的流动是水跌的典型。

明槽流所受阻力主要有河床阻力和河型阻力。前者由河床中的沙粒、卵石、沙波和突出的岩石造成;后者是由于明槽弯曲、扩散和收缩而产生。在工程中,二断面水头损失综合表示为:

公式 符号,        (2)

式中RA/κ,称水力半径;κ为断面中液体与固体边界接触的长度,称湿周;A为过水断面面积;Δs为流程长度;C为阻力综合系数,称谢才系数,多由实测确定。

在无压流研究中,时常根据流速和自由表面高程等流动参量是否随时间变化,将无压流分成定常流和非定常流;根据流动参量随空间变化的急缓程度分成急变流和缓变流。急变流在较短的流程中,水面和流速分布急剧变化,如水跌、水跃及边界急剧变化的流动,其流线急剧弯曲,压力远偏离静水压强分布律;缓变流流线曲率很小,压力可近似认为符合静水压强分布律。

定常无压流

流动参量不随时间变化的无压流。在明槽流研究中,时常根据实际情况,对问题作某些简化。研究流程较长的江河渠道水体流动时,关心的是大范围河段水位和流速沿程变化,可以忽略流动参量在断面内的差别,一般简化成一维流。综合式(1)和(2),即可得到上下游两断面1和2之间的能量关系:

公式 符号,    (3)

式中z为槽底高程;h为水深。如果已知流量、某一断面水深和河道特性(各段C值、各断面面积及水力半径与水深的关系),即可求出水位z+h和流速的沿程变化。

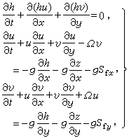
如果关心流速和水位的平面变化,就不宜用一维假设。湖泊、宽阔河流中水深远小于波长的流动称为浅水流。浅水流的压力可以假设沿水深呈直线变化。将水平面取为xy平面,浅水流的连续性方程和运动方程为:

公式 符号   (4)

式中uv分别为沿xy方向的沿水深平均的流速分量;gSfxgSfy分别为xy方向的摩阻。 这组方程常用于计算宽浅河道、湖泊和降雨形成的坡地水流的流速和水深分布。

水工建筑物溢流坝面流动是一个典型的定常急变流。它在铅垂平面上流线曲率很大,压力沿水深不成直线分布,不宜用一维假设。因为流程短,涡量扩散效应可以忽略,故可假设它是位势流(见拉普拉斯无旋运动)。在这种流动中,水体通过溢流坝的流量和自由表面高程都是未知的,描述这种流动的数学问题是拟线性不定边界的边值问题,必须满足自由表面上法向流速和压力等于零两个条件。此问题常用有限差分方法或有限元法进行数值分析。

非定常无压流

自由表面高程等流动参量既随流程起伏,也随时间变化的无压流。波浪、潮汐、江河中的洪水、大坝溃决后河道中的溃坝波、大洋环流(见地球流体力学)均为非定常无压流。波长是这种流动的重要参量。波长远大于水深时,称为长波或浅水波,如江河洪水流、湖泊海湾潮汐流;波长远小于水深时称为短波或深水波,如风浪、岸壁坍塌形成的波浪(见涌波)。

长流程河道非定常流可用一维方法分析。应满足连续性方程和运动方程:

公式 符号    (5)

式中AB分别为河道过水断面的面积和水面宽度。

研究湖泊海湾等大范围浅水流时,需考虑地球自转引起的科里奥利力(见相对运动)影响,方程为:

公式 符号     (6)

式中Ω为科里奥利系数,同流场所在纬度有关。在解决这组双曲型微分方程组时,常用有限差分方法、特征差分法或有限元法。近年来由于海洋能源开发、石油勘探、海湾整治的需要,这一问题受到重视。

一些特殊流动现象

在某些特殊条件下,无压流会产生特殊流动。例如溢流坝面流场的流速很高,湍动强度大,自由表面往往破碎,卷吸大量气体形成气液二相流(见掺气水流);又如高速水流压力变幅很大,当压力降到饱和蒸汽压力时,流体发生局部沸腾,形成空泡,空泡溃灭过程中产生压缩波和微射流,往往造成建筑物表面破坏。如果在江河湖海倾泻石油、金属等有毒物质或注入高温水体,水流会使污染扩散,影响人类及生物的生存环境。另外,水中如有泥沙等固体颗粒,则会形成固液二相流;含有盐分,挟带泥沙或存在温度差的水流,与清水比重不同,在一定条件下会形成分层流动(见异重流)。这些流动都是当前无压流研究的重要课题。

参考书目
  1. 清华大学水力学教研组编:《水力学》,修计版,人民教育出版社,北京,1981.
  2. K.Mahmood and V. Yevievich, Unsteady Flow in Open Channels, Vol. 1~3, Water Resources pub., Fort Collins,Colorado,1975.