[拼音]:yanghua ouhe juhe
[外文]:oxidative coupling polymerization
某些带有活泼氢的化合物在氧化催化剂的作用下起氧化反应,脱氢而偶联形成聚合物的方法,又称脱氢缩聚。酚类、乙炔类、芳胺类、芳烃、硫醇类等化合物都可通过氧化偶合聚合生成聚合物。
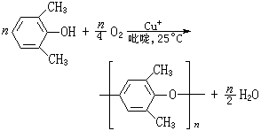
1959年美国通用电气公司A.S.海等以氯化亚铜和叔胺的络合物为催化剂,在有机溶剂中使2,6-二甲基苯酚与氧气作用,聚合成为高分子量的聚2,6-二甲基亚苯基醚:
它的工业产品简称聚苯醚 (PPO),是力学性能、耐热性、绝缘性良好的工程塑料。
可以在氯化亚铜存在下,对苯二胺在吡啶中于低温(-60°C)氧化,生成偶氮聚合物:
从二乙炔化合物经氧化脱氢可得主链中含有叁键的聚合物,通常只得到低分子量产物。这种类型的第一个高分子量聚合物得自间二乙炔基苯的氧化偶合反应:
由于这类聚合物的主链中含有共轭体系,有可能得到不寻常的导电性能。
此外,通过氧化偶合聚合还可以从苯合成聚对亚苯基(通常称为聚苯),它兼有耐热氧化、耐辐射、耐腐蚀等特性。