电学

浏览

“电”这一词在西方是从希腊文ηλεκτρον(琥珀)一词转意得来,在中国则是从雷闪现象中引出来的。自从18世纪中叶以来,电的研究逐渐蓬勃开展。它的每项重大发现都引起广泛的实用研究,从而促进科学技术的飞速发展。至今,无论人类生活、科学技术活动以及物质生产活动都离不开电。电的研究涉及到广泛的领域,随着科学技术的发展,某些带有专门知识的研究内容逐渐独立,形成专门的学科,如电子学、电工学等。电学本身限于电现象中较为基本的内容:电荷、电流产生的电场和磁场及其相互作用的规律,电路的导电规律,以及物质中的电效应。电学又可称为电磁学,是经典物理学的一个分支。它是物理学中颇具重要意义的基础学科。

发展简史

有关电的记载可追溯到公元前 6世纪。早在公元前585年,希腊哲学家(泰勒斯)已记载了用木块摩擦过的琥珀能够吸引碎草等轻小物体,后来又有人发现摩擦过的煤玉也具有吸引轻小物体的能力。在以后的2 000年中,这些现象被看成与磁石吸铁一样,属于物质具有的性质,此外没有什么其他重大的发现。在中国,西汉末年已有“瑇瑁(玳瑁)吸(细小物体之意)”的记载;晋朝(公元 3世纪)进一步还有关于摩擦起电引起放电现象的记载,“今人梳头,解著衣时,有随梳解结有光者,亦有咤声”。

1600年英国物理学家W.吉伯发现不仅琥珀和煤玉摩擦后能吸引轻小物体,而且相当多的物质,如金刚石、蓝宝石、硫磺、硬树脂和明矾等经摩擦后也都具有吸引轻小物体的性质,他注意到这些物质经摩擦后并不具备磁石那种指南北的性质。为了表明与磁性的不同,他采用琥珀的希腊字母拼音把这种性质称为“电的” (elec-tric)。吉伯在实验过程中制作了第一只验电器,这是一根中心固定可转动的金属细棒,当与摩擦过的琥珀靠近时,金属细棒可转动指向琥珀。大约在1660年马德堡的 O.von盖利克发明了第一台摩擦起电机。他用硫磺制成形如地球仪的可转动球体,用干燥的手掌摩擦转动球体,使之停止而获得电。盖利克的摩擦起电机经过不断改进,在静电实验研究中起着重要的作用,直到19世纪W.霍耳茨和A.推普勒分别发明感应起电机后才被取代。

18世纪电的研究迅速发展起来。1729年英国的S.格雷研究琥珀的电效应是否可传递给其他物体时发现导体和绝缘体的区别:金属可导电,丝绸不导电。并且他第一次使人体带电。格雷的实验引起法国 C.-F.迪费的注意。1733年迪费发现绝缘起来的金属也可摩擦起电,因此他得出所有物体都可摩擦起电的结论,认为吉伯把物体分为“电的”和“非电的”并没有事实根据。他把玻璃上产生的电叫做“玻璃的”(vitreous),琥珀上产生的电与树脂产生的相同,叫做“树脂的”(resinous)。他得到:带相同电的物体互相排斥;带不同电的物体彼此吸引。他把电想象为二元流体,当它们结合在一起时彼此中和。

1745年荷兰莱顿的P.van 穆申布鲁克为了避免电在空气中逐渐消失,寻找到一种保存电的办法,他所发明的装置即被称为莱顿瓶。这种贮存电的方法稍早也被德国的E.G.von 克莱斯特独立地发现。莱顿瓶的发现为电的进一步研究提供了条件,它对于电的知识的传播起了重要的作用。

差不多同时,美国的B.富兰克林做了许多有意义的工作,使得人们对电的认识更加丰富。1747年他根据实验提出在正常条件下电是以一定的量存在于所有物质中的一种元素;电跟流体一样,摩擦的作用可以使它从一物体转移到另一物体,但不能创造;任何孤立物体的电总量是不变的,这就是通常所说的电荷守恒定律;他把摩擦时物体获得的电的多余部分叫做带正电,物体失去电而不足的部分叫做带负电。严格地说,这种关于电的一元流体理论在今天看来并不正确,但他所使用的正电和负电的术语至今仍被采用。他还观察到导体的尖端更易于放电等。他的最著名的实验是风筝实验。早在1749年他就注意到雷闪与放电有许多相同之处。1752年他通过在雷雨天气将风筝放入云层,来进行雷击实验,证明了雷闪就是放电现象。这是一个危险的实验,后来有人重复这种实验时遭电击身亡。富兰克林还建议用避雷针来防护建筑物免遭雷击,1745年首先由P.狄维斯实现,这大概是电的第一个实际应用。

18世纪后期,开始了电荷相互作用的定量研究。1776年,J.普里斯特利根据他的实验发现带电金属容器内表面没有电荷,猜测电力与万有引力有相似的规律,两个电荷之间的作用力与它们之间距离的二次方成反比,但他未能予以证明。1769年,J.鲁宾孙通过作用在一个小球上电力和重力平衡的实验,第一次直接测定了两个电荷相互作用力与距离二次方成反比。1773年,H.卡文迪什根据他实验中导体球内表面检测不到的电荷数量推算出电力与距离成反比的方次与 2相差最多不超过百分之二(见彩图)。他的这一实验是近代精确验证电力定律的雏形,可是他的这一实验以及其他重要实验成果到1879年才由J.C.麦克斯韦整理公诸于世。1785年,C.A.de库仑设计了精巧的扭秤实验,直接测定了两个静止点电荷的相互作用力与它们之间的距离二次方成反比,与它们的电量乘积成正比。库仑的实验得到了世界的公认,从此电学的研究开始进入科学行列。1811年S.-D.泊松把早先力学中 P.S.M.拉普拉斯在万有引力定律基础上发展起来的势论用于静电,发展了静电学的解析理论。

H.卡文迪什验证静电力遵从‘平方反比律’的同心球试验装置(复制品) A.伏打(1745-1827)在演示电堆试验(1801)

18世纪后期电学的另一个重要的发展是意大利物理学家A.伏打发明了电池。在这之前,电学实验只能用摩擦起电机的莱顿瓶进行,而它们只能提供短暂的电流。1780年意大利的解剖学家L.伽伐尼偶然观察到在放电火花附近与金属相接触的蛙腿发生抽动。为了找出这一理象的原因,他进一步实验却意外地发现若用两种金属分别接触蛙腿的筋腱和肌肉,则当两种金属相碰对,蛙腿也会发生抽动。伽伐尼没有弄清楚其中的原因,他称之为“生物电”。1792年,伏打仔细研究之后,认为蛙腿的抽动不过是一种对于电流的灵敏反应,电流是两种不同金属插在一定的溶液内并构成回路时产生的,而肌肉提供了这种溶液。基于这一思想,1799年他制造了第一个能产生持续电流的化学电池,其装置为一系列按同样顺序叠起来的银片、锌片和用盐水浸泡过的硬纸板组成的柱体,叫做伏打电堆(见彩图)。当导线连接两端的导体时导线中产生持续电流。此后,各种化学电源蓬勃发展起来。1822年T.J.塞贝克进一步发现,将铜线和一根别种金属(铋)线连成回路,并维持两个接头于不同温度,也可获得微弱而持续的电流,这就是热电效应。

化学电源发明后,很快发现利用它可以作出许多不寻常的事情来。1800年A.卡莱尔和W.尼科尔森用低压电流分解水;同年J.W.里特成功地从水的电解中分别搜集了两种气体,并从硫酸铜溶液中电解出金属铜;1807年H.戴维利用庞大的电池组先后首次电解得到钾、钠、钙、镁等金属。1811年他用2 000个电池组成的电池组制成了碳极电弧;从19世纪50年代起它成为灯塔、剧院等场所使用的强烈光电源,直到70年代才逐渐被T.A.爱迪生发明的白炽灯所代替。此外伏打电池也促进了电镀的发展,电镀是1839年由W.von西门子等人发明的。

虽然早在1750年富兰克林已经观察到莱顿瓶放电可使钢针磁化,甚至更早在1640年已有人观察到闪电使罗盘的磁针旋转,但到19世纪初,科学界仍普遍认为电和磁是两种独立的作用。与这种传统观念相反,丹麦的自然哲学家H.C.奥斯特接受了德国哲学家I.康德和F.谢林关于自然力统一的哲学思想,坚信电与磁之间有着某种联系。经过多年的研究,他终于在1820年发现电流的磁效应:当电流通过导线时,引起导线近旁的磁针偏转。电流磁效应的发现开拓了电学研究的新纪元。

奥斯特的发现首先引起法国物理学家的注意,同年即取得一些重要成果,如A.-M.安培关于载流螺线管与磁铁等效性的实验(后来,安培据此提出物质磁性的分子电流假说,把磁现象归之为单一的电流的作用,这一点成为以后正确认识物质磁性的一把钥匙)和两根平行载流导线相互作用力的实验;D.F.J.阿喇戈关于钢和铁在电流作用下的磁化现象;J.-B.毕奥和 F.萨伐尔关于长直载流导线对磁极作用力的实验;此外安培还进一步做了一系列电流相互作用的精巧实验。由这些实验分析得到的电流元之间相互作用力的规律,是认识电流产生磁场以及磁场对电流作用的基础。

电流磁效应的发现打开了电应用的新领域。1825年W.斯特金发明电磁铁,为电的广泛应用创造了条件。早在1821年安培建议可用电磁仪器传输信号。1833年C.F.高斯和W.E.韦伯制造了第一台简陋的单线电报。1837年C.惠斯通和H.M.莫尔斯分别独立发明电报机。莫尔斯还发明了一套电码,利用他所制造的电报机可通过在移动的纸条上打上点和划来传递信息。这时期越洋海底电报的实验研究也在进行。1855年W.汤姆孙(即开尔文)解决了水下电缆信号输送速度慢的问题。1866年按照汤姆孙设计的大西洋电缆铺设成功。另一方面的发展是1854年法国电报家C.布尔瑟提出用电来传送语言的设想,但未变成现实;后来,P.赖斯于1861年实验成功,但未引起重视。1876年A.G.贝尔发明了电话。作为收话机,它仍用于现代,而其发话机则被爱迪生的发明(碳发话机)以及D.E.休士的发明(传声器)所改进。

电流磁效应发现不久,几种不同类型的检流计设计制成,为G.S.欧姆发现电路定律提供了条件。1826年,受到J.B.J.傅里叶关于固体中热传导理论的启发,认为电的传导和热的传导很相似,电流好像热流,电源的作用好像热传导中的温差一样。为了确定电路定律,开始他用伏打电堆作电源进行实验,由于当时的伏打电堆性能很不稳定,实验没有成功;后来他改用两个接触点温度恒定因而高度稳定的热电动势做实验,得到电路中的电流强度与他所谓的电源的“验电力”(electroscopic force)成正比,比例系数为电路的电阻。由于当时的能量守恒定律尚未确立,验电力的概念是含混的,直到1848年G.R.基尔霍夫从能量的角度考查,才澄清了电位差、电动势、电场强度等概念,使得欧姆理论与静电学概念协调起来。在此基础上,基尔霍夫解决了分支电路问题。

杰出的英国物理学家M.法拉第从事电磁现象的实验研究,对电磁学的发展作出极重要的贡献,其中最重要的贡献是1831年发现电磁感应现象(美国物理学家J.亨利几乎在同时也发现了电磁感应现象,但发表稍晚些)。紧接着他做了许多实验确定电磁感应的规律,他发现当闭合线圈中的磁通量发生变化时,线圈中就产生感应电动势,感应电动势的大小取决于磁通量随时间的变化率。后来,Э.Χ.楞次于1834年给出感应电流方向的描述,而F.E.诺埃曼概括了他们的结果给出感应电动势的数学公式。法拉第在电磁感应的基础上制出了第一台发电机。此外,他把电现象和其他现象联系起来广泛进行研究,1833年成功地证明了摩擦起电和伏打电池产生的电相同,1834年发现电解定律,1845年发现磁光效应,并统一解释物质的顺磁性抗磁性,他还详细研究了极化现象和静电感应现象,并首次用实验证明了电荷守恒定律。

电磁感应的发现为能源的开发和广泛利用开创了崭新的前景。1866年西门子发明了可供实用的自激发电机;19世纪末实现了电能的远距离输送;电动机在生产和交通运输中得到广泛使用,从而极大地改变了工业生产的面貌。

对于电磁现象的广泛研究使法拉第逐渐形成了他特有的“场”的观念。他深信在带电体和磁体的周围存在着某种特殊的“紧张”状态,他用电力线和磁力线来描述这种状态。他认为:力线是物质的,它弥漫在全部空间,并把异号电荷和相异磁极分别连结起来;电力和磁力不是通过空虚空间的超距作用,而是通过电力线和磁力线来传递的,它们是认识电磁现象必不可少的组成部分,甚至它们比产生或“汇集”力线的“源”更富有研究的价值。

法拉第的丰硕的实验研究成果以及他的新颖的场的观念为电磁现象的统一理论准备了条件。诺埃曼、韦伯等物理学家对电磁现象的认识曾有过不少重要贡献,但他们从超距作用观点出发,概括库仑以来已有的全部电学知识,在建立统一理论方面并未取得成功。这一工作在19世纪60年代由卓越的英国物理学家麦克斯韦完成。早在1842~1854年,W.汤姆孙通过热传导、弹性现象和电磁力线的对比研究,建立了它们共同的数学描述。汤姆孙的类比方法鼓舞了麦克斯韦致力于将法拉第的力线思想写成便于数学处理的形式。开始(1856)他仅仅是通过力学现象与电磁现象的类比试图建立电磁学的理论体系;后来(1862)他觉得需要建立一种媒质理论来体现法拉第的力线思想。他认为变化的磁场在其周围的空间激发涡旋电场;此外他又引入了“位移电流”的概念,变化的电场引起媒质电位移的变化,电位移的变化与电流一样在周围的空间激发涡旋磁场。麦克斯韦明确地用数学公式把它们表示出来,从而得到了今天以他的姓氏命名的电磁场的普遍方程组──麦克斯韦方程组。法拉第的力线思想以及电磁作用传递的思想在其中得到了充分的体现。

麦克斯韦进而根据他的方程组推论电磁作用以波的形式传播,电磁波在真空中的传播速度等于电量的电磁单位与静电单位的比值。根据1856年韦伯和R.H.A.科尔劳施纯电学方法测量得到其值与光在真空中传播的速度相同,由此麦克斯韦预言光是电磁波。

麦克斯韦理论的推论和预言被德国物理学家H.R.赫兹的实验光辉地证实。1888年赫兹根据电容器放电的振荡性质设计制作了电磁波源和电磁波检测器,通过实验检测到电磁波,测定了电磁波的波速,并观察到电磁波与光波一样,具有偏振性质,并能够反射、折射和聚焦。从此麦克斯韦的理论逐渐为人们所接受。

麦克斯韦电磁理论通过赫兹电磁波实验的证实,开辟了一个全新的领域──电磁波的应用和研究。1895年俄国的Α.С.波波夫和意大利的G.马可尼分别实现了无线电信号的传送。后来马可尼将赫兹的振子改进为竖直的天线;德国的C.F.布劳恩进一步将发射器分为两个振荡线路,为扩大信号传递范围创造了条件。1901年马可尼第一次建立了横跨大西洋的无线电联系。电子管的发明(1904年J.A.夫累铭;1906年L.德福雷斯特)及其在线路中的应用使得电磁波的发射和接收都成为易事,推动了无线电技术的发展,极大地改变了人类的生活。

虽然麦克斯韦的电磁理论对光在真空中的传播作了完备的描述,但它不能很好地揭示出物质的光学特性,特别是不能解释色散现象;此外,把电磁理论用于运动介质的情形也未获得成功。1896年H.A.洛伦兹提出的电子论,将麦克斯韦方程组应用到微观领域,并把物质的电磁性质归结为原子中电子的效应。这样不仅可以解释物质的极化、磁化、导电等现象以及物质对光的吸收、散射和色散现象;而且还成功地说明了关于光谱在磁场中分裂的正常塞曼效应;此外,洛伦兹还根据电子论导出了关于运动介质中的光速公式,把麦克斯韦理论向前推进了一步。

在法拉第、麦克斯韦和洛伦兹的理论体系中,假定了有一种特殊媒质“以太”存在,它是电磁波的荷载者,只有在以太参照系中,真空中光速才严格与方向无关并等于c, 麦克斯韦方程组和洛伦兹力公式也只在以太参照系中才严格成立。这意味着电磁规律不符合相对性原理。关于这方面问题的进一步研究,导致了A.爱因斯坦在1905年建立了狭义相对论,它改变了原来的观点,认定狭义相对论是物理学的一个基本原理,它否定了以太参照系的存在并修改了惯性参照系之间的时空变换关系,使得麦克斯韦方程组和洛伦兹力公式有可能在所有惯性参照系中都成立。狭义相对论的建立不仅发展了电磁理论,并且对以后理论物理的发展具有巨大的作用。(见彩图)

A.爱因斯坦(1879-1955) 爱因斯坦关于狭义相对论的著名论文(1905)

电学基本内容

主要包括静电、静磁、电磁场、电路、电磁效应和电磁测量。

静电学

研究静止电荷产生电场及电场对电荷产生作用力的规律。电荷只有两种,称为正电和负电。同种电荷相互排斥,异种电荷相互吸引。电荷遵从电荷守恒定律。电荷可以从一个物体转移到另一个物体,任何物理过程中电荷的代数和保持不变。所谓带电,不过是正负电荷的分离或转移;所谓电荷消失,不过是正负电荷的中和。

静止电荷之间相互作用力符合库仑定律:在真空中两个静止点电荷 q1q2之间作用力的大小与q1q2的乘积成正比,与它们之间的距离r的二次方成反比;作用力的方向沿着它们之间的联线,同号电荷相斥,异号电荷相吸。用公式表示,q1q2的作用力 F12q2q1的作用力F21分别为

   (1)

式中Fqr的单位分别为牛顿、库仑、米,惲12和惲21分别为由q1指向q2和由q2指向q1的单位矢量,εo为普适常数,叫做真空介电常数,其值为

εo=8.854187818×10-12(法拉/米)。

电荷之间相互作用力是通过电荷产生的电场相互作用的。电荷产生的电场用电场强度E(简称场强)来描述。空间某一点的电场强度用正的单位试探电荷在该点所受的电场力来定义。电场强度遵从场强叠加原理:任意带电体在空间某点所产生的场强等于各点电荷单独存在时在该点产生的场强的矢量和。在带电体电荷分布已知情况下,根据库仑定律和场强叠加原理,原则上可以确定任意带电体所产生的场强分布。带电体产生的场强分布可用假想的电力线形象地图示。

根据库仑定律和场强叠加原理还可得到静电场基本性质的两个定理:

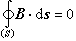
(1)高斯定理。静电场中电场强度沿任意闭合曲面的积分(称为电通量)等于该曲面包围的所有电荷电量代数和∑q除以εo,与闭合面外的电荷无关,

。   (2)

(2)环量定理。静电场中场强沿任意闭合曲线的积分(称为环量)恒等于零

。   (3)

静电场中环量恒等于零表明,静电场中沿任意闭合路径移动电荷,电场所做的功都为零,因此静电场是非旋场,可以引入电位来描述:静电场中两点a和b的电位差Ua-Ub等于把单位正电荷由 a点沿任意路径移动到 b点,电场力所做的功

,    (4)

或者,电场强度等于电位梯度的负值,

E=-墷U。    (5)

式(4)和式(5)把描述静电场分布的场强和电位联系起来。带电体产生的电位分布可用等位面形象地图示,静电场中电力线总是与等位面正交。

点电荷 q在电场中所受的作用力为fqE;点电荷在静电场中由 a点移动到b点,电场力所做的功为Aab=q(Ua-Ub)。根据这两个公式,可以计算任意带电体在电场中受到的作用力和移动时电场力所做的功,从而可以得知带电体在电场中的运动。

通常的物质,按其导电性能的不同可分两种极端情况:导体和绝缘体。导体体内存在可运动的自由电荷;绝缘体又称为电介质,体内只有束缚电荷(严格地说,导体和绝缘体的区别应从量子理论的能带论来理解)。

在电场的作用下,导体内的自由电荷将产生移动。当导体的成分和温度均匀时,达到静电平衡的条件是导体内部的电场强度处处等于零。根据这一条件,可导出导体静电平衡的若干性质:

(1)导体是等位体,导体表面是等位面;

(2)导体内部不带电荷,电荷只能分布在导体表面;

(3)导体外表面附近的场强处处与导体表面垂直,场强的大小与导体表面的电荷面密度的关系为 Eσεo

(4)当空腔导体内部没有其他带电体时,导体空腔内表面处处没有电荷,电荷只能分布在外表面,空腔内部场强为零,空腔内部电位处处相等且等于导体的电位;

(5)当导体空腔内部有其他带电体时,内表面静电感应的电荷与腔内电荷代数和为零;

(6)接地的导体空腔把空间分成内外两个区域,在每个区域内电场的分布仅由该区域内的电荷分布决定,两个区域在电性质上互不干扰,接地导体空腔的这一性质称为静电屏蔽;

(7)两个导体板靠得较近时,若一导体板上带电量为Q,则另一导体板上静电感应的电量为-Q,且两导体板之间的电位差与电量Q成正比,比例系数,反映了这两个导体组成系统的可容纳电荷的性质,称为电容,这个导体系统称为电容器(见电容和电容器)。

在电场中,电介质被极化(见电介质的极化)。电介质极化的状况用极化强度矢量 P来描述。极化强度用单位体积内分子偶极矩的矢量和来定义。电介质极化后,介质表面和体内出现束缚的极化电荷。极化电荷与介质的极化强度有如下两种关系:

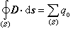
(1)沿任意闭合曲面极化强度矢量的面积分等于闭合面所包围的极化电荷的负值,

(2)由此可推知,介质表面的极化电荷面密度等于极化强度矢量在介质表面的法线分量, σ┡=Pn=P·cosθ。这样,放入电场中的电介质将改变原来的电场分布。导体系中间填充电介质时电容值将改变。电介质存在时电场的高斯定理化为

,    (6)

式中qo为闭合面内的自由电荷,DεoEP叫做电位移。DE之间的关系由电介质的性质决定,这一关系通常称为物质的介质方程。介质存在时电场环量定理仍成立,即介质存在时的静电场仍为非旋场,可以引入电位概念。在电介质界面上电场满足的边值关系为:当界面无自由电荷时,界面上电位移的法线分量连续,电场强度的切线分量连续,即

D1nD2nE1tE2t。    (7)

静磁学

研究电流稳恒时产生磁场以及磁场对电流作用力的规律。

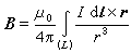
电荷的定向流动形成电流。电流之间存在磁的相互作用,这种磁相互作用是通过磁场传递的,即电流在其周围的空间产生磁场,磁场对放置其中的电流施以作用力。电流产生的磁场用磁感应强度 B描述。真空中稳恒电流产生的磁场遵从毕奥-萨伐尔定律,即磁感应强度

,    (8)

式中Idl是强度为I的电流元,r为电流元到场的距离,r为电流元指向场点的矢位,积分沿整个电流回路,μo为真空磁导率,其值为

μo=4π×10-7(亨利/米)。

根据毕奥-萨伐尔定律,可计算任意已知电流分布产生的磁感应强度。此外,根据毕奥-萨伐尔定律还可得到稳恒磁场基本性质的两个定理:

(1)磁高斯定理。稳恒磁场中磁感应强度沿任意闭合曲面的积分(称为磁通量)恒等于零

,     (9)

它反映磁力线总是闭合曲线。

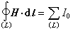
(2)安培环路定理。稳恒磁场中磁感应强度沿任意闭合曲线的积分等于穿过以闭合曲线为周界的任意曲面的电流强度代数和的μo

,   (10)

这表明磁场不是势场,是有旋场。

当磁场中存在磁介质时,磁介质被磁化,产生磁化电流。介质磁化的状况用磁化强度矢量M来描述。磁化强度用单位体积内分子磁矩的矢量和来定义。磁化强度沿任意闭合曲线的积分等于穿过闭合曲线的磁化电流强度的代数和,。利用这一结果可将磁介质存在时的安培环路定理化为

,    (11)

式中 Io 为传导电流强度,叫做磁场强度。HB的关系由磁介质的性质决定,这种关系是关于磁的介质方程。在磁介质的界面上,磁场满足的边值关系为:当界面不存在面传导电流时,在界面上磁感应强度的法线分量连续,磁场强度的切线分量连续,即

B1nB2nH1tH2t。   (12)

电流元 Idl在磁场中受到的作用力由安培公式表示

dFIdl×B,     (13)

式中 B为电流元所在处的磁感应强度。整个载流导线所受的磁力则为该式对全部电流导线的积分。一个速度为v带电量为q的运动的点电荷在磁场中受到的作用力称为洛伦兹力,为

Fqv×B。     (14)

运动电荷所受的洛伦兹力总是与速度方向垂直,因此洛伦兹力对运动电荷所做的功恒为零。当同时存在电场和磁场时,运动电荷所受的洛伦兹力公式为

Fq(E+v×B)。   (15)

它决定了带电粒子在电磁场中的运动。

电磁场

研究随时间变化情形下的电磁现象和规律。这是电磁学的普遍情形。

当穿过闭合导体线圈的磁通量发生变化时,线圈上产生感应电流。感应电流的方向可由楞次定律确定,即感应电流的方向总是使得它所激发的磁场阻止引起感应电流的磁通量的变化。闭合线圈中的感应电流是感应电动势推动的结果。感应电动势遵从法拉第定律:闭合线圈上的感应电动势的大小总是与穿过线圈的磁通量的时间变化率成正比,用公式表示为

    (16)

式中的负号反映感应电动势的方向,与楞次定律的结论一致。线圈内电流变化在其自身引起感应电动势的现象叫做自感;线圈内电流变化在其他线圈中引起感应电动势的现象叫做互感。线圈的自感和互感性质,分别由自感系数和互感系数描述。

感应电动势按其产生的原因不同可分为两种情况:一种是因导线在稳恒磁场中运动切割磁力线产生的感应电动势,叫做动生电动势;另一种是导线不动,因磁场的变化产生的感应电动势,叫做感生电动势。

感生电动势是变化的磁场在其周围激发电场的体现。这样产生的电场是有旋场,与电荷激发的电场不同,它的性质可表述为 。在非稳恒情形下,总的电场为电荷激发的电场与变化磁场激发的电场的矢量和,总电场满足的方程为

,    (17)

。   (18)

随时间变化的电场在其周围也激发有旋的磁场。在非恒情形下,总的磁场为电流激发的磁场与变化电场激发的磁场的矢量和。总磁场满足的方程为

,   (19)

,   (20)

式中 дD/дt称为位移电流密度。式(17)、(18)和(19)、(20)就是普遍情形下电磁场满足的麦克斯韦方程组(积分形式)。

能量问题是物理学关心的重要问题。根据麦克斯韦电磁理论可知:电场中储存电能,单位体积内储存的电能(电能密度)为,磁场中储存磁能,单位体积内储存的磁能(磁能密度)为,同时存在电场和磁场的空间V 内储存的电磁能为;电磁场中存在能流,单位时间通过垂直单位面积的能量叫做能流密度,用S表示,SE×HS又叫做坡印廷矢量。任意空间内发生的电磁过程遵从能量守恒定律。

麦克斯韦方程组描述了电磁场普遍遵从的规律。它同物质的介质方程、洛伦兹力公式以及电荷守恒定律结合起来,原则上可以解决各种宏观电动力学问题(见经典电动力学)。

根据麦克斯韦方程组导出的一个重要结果是存在电磁波,变化的电磁场以电磁波的形式传播,电磁波在真空中传播的速度为

这一数值与光在真空中传播的速度相同,说明光是电磁波,光是波长在400~760纳米范围内且能引起人们视觉反应的电磁波。因此,光的波动理论纳入了电磁理论的范畴。

电路

包括直流电路和交流电路的研究,是电学的组成部分。直流电路研究电流稳恒条件下的电路定律和性质;交流电路研究电流周期性变化条件下的电路定律和性质。

直流电路由导体(或导线)连结而成,导体有一定的电阻。稳恒条件下电流不随时间变化,电场亦不随时间变化。稳恒时的电场与静电场的性质相同,同样满足静电场的高斯定理和环量定理。

稳恒条件下电流必定形成闭合回路。静电场本身不可能维持稳恒电流,为了维持稳恒电流,电路中必定有非静电的电源。不管电源的具体机制如何,电源的作用是使非静电的能量转化为提高电荷的电位能。反映电源电性能的主要指标是电动势(即非静电力对单位电荷作功的值)和内阻。

稳恒条件下的导电基本规律为

jσ(E+K),    (21)

式中j为电流密度,E为该点的场强,K为该点作用在单位正电荷上的非静电力,σ为该点材料的电导率,式(21)称为欧姆定律的微分形式,它是物质的导电性方程。

根据稳恒时电场的性质、导电基本规律和电动势概念,可导出直流电路的各个实用定律:欧姆定律、基尔霍夫电路定律以及一些解决复杂电路的其他有效而简便的定理:等效电源定理、叠加定理、倒易定理、对偶定理等,这些实用定律和定理构成电路计算的理论基础。

交流电路比直流电路复杂得多,电流随时间的变化引起空间电场和磁场的变化,因此存在电磁感应和位移电流,存在电磁波。按照电流随时间变化的频率不同,复杂程度不同,可分以下几种情况。

(1)交流电的频率f满足fс/l,式中с为真空中的光速,l为电路的线度,即电路的线度远小于电磁波的波长。此时位移电流的效果可以忽略,电磁波沿电路的传播效应可忽略,这种情况叫做准稳,这种电路叫准稳电路。条件fс/llλ叫做准稳条件。准稳条件下,在集中元件的外部,电压概念仍然有效,直流电路的定律如欧姆定律、基尔霍夫定律等仍近似成立;电路的复杂性表现在电路中除了电阻之外,还可能有电感和电容,同时电路中的电压和电流之间存在位相差,从而带来一系列直流电路所没有的电路特性:谐波、滤波、相移等等,这些在实际中都有广泛的应用。准稳电路的计算方法是矢量图解法和复数解法。

(2)当交流电的频率较高,准稳条件遭到破坏时,散布在空间的电磁场变化引起电路各部分的相互影响已不可忽略,这些影响可用分布电容和分布电感来表征。把它们看成等效的集中参量计入电路和方程之后,仍可近似地用准稳电路方程和概念来分析问题。

(3)交流电的频率更高,准稳条件遭到破坏,位移电流的效果和电磁波沿电路的传播效应不可忽略,则准稳电路方程和概念已不适用,原则上应该用麦克斯韦方程组讨论问题。但对于传输线主波可以引入分布电感、分布电容以及横向电压概念建立电报方程。用电报方程来讨论这种电路比起按麦克斯韦方程组来讨论要简单得多。

电磁效应

物质中的电效应是电学与其他物理学科(甚至非物理的学科)之间联系的纽带。物质中的电效应种类繁多,有许多已成为或正逐渐发展为专门的研究领域。今列举一些如下:电致伸缩(电场所引起的电介质的弹性形变,形变与电场方向的反转无关,见铁弹性)、压电效应(机械压力在电介质晶体上产生的电性和电极性,见压电性)和逆压电效应(在电场作用下电介质晶体发生的机械形变,形变与电场方向的反转有关)、塞贝克效应(两种不同金属或半导体组成的回路当两个接头处于不同温度时产生的电动势)、珀耳帖效应(两种不同金属或半导体接头处,当电流沿某个方向通过时放出热量,而电流反向时则吸收热量)、汤姆孙效应(一金属导体或半导体中维持温度梯度,当电流沿某方向通过时放出热量,而电流反向时则吸收热量,见温差电现象)、热敏电阻(半导体材料中电阻随温度灵敏变化)、光敏电阻(半导体材料中电阻随光照灵敏变化,见半导体的光电导)、光生伏打效应(半导体材料因光照产生电位差)、克尔效应(非晶体在电场中显示的双折射现象),等等。

对于各种电效应的研究有助于了解物质的结构以及物质中发生的基本过程,此外在技术上,它们也是实现能量转换和非电量电测法的基础。

电磁测量

电学的组成部分。测量技术的发展与学科的理论发展有着密切的联系,理论的发展推动了测量技术的改进;测量技术的改善在新的基础上验证理论,并促成新理论的发现。

电磁测量包括所有电磁学量(电流、电量、电压、电阻、电容、电感、电场强度、磁感强度、……)的测量以及有关的其他量(交流电的频率、相角等)的测量。利用电磁学原理已经设计制作出各种专用仪表(安培计、伏特计、欧姆计、磁场计等,见电测量指示仪表)和测量电路(各种电桥和各种电位计等),它们可满足对各种电磁学量的测量。近代在电磁测量中广泛采用电子线路改善测量技术,提高测量的灵敏度、精度和仪器的稳定性;此外测量仪器和显示技术的改进,可连续记录或直接数字显示测量结果,还可实现远距离遥测,极大地改变了测量技术的面貌。

电磁测量的另一个重要的方面是非电量(长度、速度、形变、力、温度、光强、成分等)的电测量。它的主要原理是利用电磁量与非电量相互联系的某种效应,将非电量的测量转换为电磁量的测量。由于电测量有一系列优点:准确度高、量程宽、惯量小、操作简便,并可远距离遥测和实现测量技术自动化,非电量的电测量正在不断发展。

电学对技术和其他学科的意义

电学作为经典物理学的一个分支,就其基本原理而言,已发展得相当完善,它可用来说明宏观领域内的各种电磁现象。一方面,物质的结构是物质分子、原子层次的基本组成形式;电磁场是物质世界的重要组成部分;电磁作用是物质的基本相互作用之一;电过程是自然界的基本过程。因此电学渗透到物理学的各个领域,成为研究物质过程必不可少的基础;此外它也是研究化学和生物学某些基元过程的基础。另一方面,电与其他运动形式之间的转化方便,传递迅速、准确,便于控制,由于这些优点,电技术在能源的合理开发、输送和使用方面起着重要作用,它使人类可更广泛、更有效、更方便地利用一切可以利用的能源。电技术在实现机电控制和自动化、在信息的传递、处理以及利用各种电效应实现非电量的电测方面也具有重要意义。可以说电学是技术学科的重要基础之一。

在科学和技术的不断发展中,电学的应用必定会有更为广阔的前程;同时,也必将更加丰富电学内容本身。

20世纪随着原子物理学、原子核物理学和粒子物理学的发展,人类的认识深入到微观领域,在带电粒子与电磁场的相互作用问题上,经典电磁理论遇到困难。虽然经典理论曾给出一些有用的结果,但是许多现象都是经典理论不能说明的。经典理论的局限性在于对带电粒子的描述忽略了其波动性方面,而对于电磁波的描述又忽略了其粒子性方面。

按照量子物理的观点,无论是物质粒子或电磁场都既有粒子性,又具有波动性(波粒二象性)。在微观物理研究的推动下,经典电磁理论发展为量子电磁理论(量子电动力学)。

参考书目
  1. M.von劳厄著,范岱年、戴念祖译:《物理学史》,商务印书馆,北京,1978。(M.von Laue,Geschichte derPhysik,Athenum-Verlag Bonn, Gttingen,1950.)
  2. S.E.Whittaker, A History of the Theories ofAether and Electricity, Thomas Nelson and Sons,London,1953.
  3. 弗·卡约里著,戴念祖译:《物理学史》,内蒙古人民出版社,呼和浩特,1981。(F.Cajori,A History ofPhysics,Macmillan,New York,1929.)
  4. 赵凯华、陈熙谋编:《电磁学》,第2版,高等教育出版社,北京,1985。
  5. И.Ε.塔姆著,钱尚武译:《电学原理》,人民教育出版社,北京,1956。
  6. 曹昌祺著:《电动力学》,人民教育出版社,北京,1962。
  7. 郭硕鸿编:《电动力学》,人民教育出版社,北京,1979。
  8. J.D.杰克逊著,朱培豫译:《经典电动力学》,上册,人民教育出版社,北京,1978。(J.D.Jackson,ClassicalElectrodynamics, John Wiley & Sons, New York,1976.)

参考文章