[拼音]:zhu
[外文]:column
承受轴向压力作用的直杆,又称压杆。建筑物中的支柱、各种桁架中的受压杆件、机器中的连杆、起重机械的撑杆等都是柱。柱是结构中重要的构件,它的失效往往导致整个结构的破坏。柱的失效形式主要是丧失稳定性,有时也可能是由于强度不足而破坏。关于柱的稳定性可简述如下:当压力P较小时,柱能保持其直线平衡状态。在微小侧向干扰力F作用下,虽可发生微弯变形,但干扰力解除后,它仍能恢复原先的直线平衡状态。这表明柱的直线平衡状态是稳定的(图1a)。当压力增加到某一极限值Pcr(称为临界压力)时,柱的平衡状态将变为不稳定的。这时,若再作用一微小侧向干扰力,使柱弯曲变形,则在干扰力解除后,柱会继续保持曲线形状的平衡(图1b)。柱丧失其直线平衡而过渡到曲线平衡的现象称为丧失稳定性,简称为失稳或屈曲。
根据细长程度的不同,柱的失效可分为:细长柱的线弹性失稳,中长柱的非线弹性失稳和短柱的强度破坏。
细长柱的线弹性失稳细长柱失稳时应力并未超过比例极限(见材料的力学性能)。失稳后柱的受力性质起了变化,压力的轻微增加会引起弯曲变形的明显增大,表明柱已丧失承载能力。
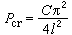
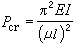
设失稳前柱的轴线为理想直线,压力作用线与轴线重合,材料服从胡克定律,且失稳后挠度很小,则细长柱临界压力的计算公式为:
, (1)
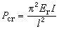
式中E为材料的弹性模量;I为柱截面的形心主惯性矩(见截面的几何性质);l为柱的长度;μ为和约束条件有关的系数。对两端铰支的柱,μ=1;对一端固定另一端自由的柱,μ=2。
L.欧拉曾给出一端固定另一端自由的柱的临界压力公式,即
。 (2)
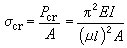
虽然欧拉未说明常数C的物理意义,但已提出柱的稳定概念并得出正确的公式。后人称式(1)为欧拉公式,并把按式(1)算出的临界压力Pcr称为欧拉力。以柱的横截面面积A除Pcr,得临界应力σcr,即
。
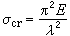
引入柔度
(3)
则临界应力σcr可表示为:
。 (4)
λ仅与柱本身的几何性质和约束条件有关,与载荷无关。由于导出欧拉公式时假设材料服从胡克定律,所以σcr不应超过材料的比例极限σcr,即
。
上式取等号,可求出使应力不超过比例极限的最小柔度:
(5)
从而得到欧拉公式使用的范围是:λ≥λ1。
中长柱的非线弹性失稳柔度小于λ1的柱,其应力往往在低于式(4)给出的σcr时,就已超过比例极限,因而柱中开始出现塑性变形。但仍和细长弹性柱相似,在某一极限压力下,柱的直线平衡状态会由直线过渡为曲线。这一极限压力也称为临界压力。应力超过比例极限后的失稳称为非线弹性失稳。计算非线弹性失稳临界压力的公式有多种,既有理论公式(如切线弹性模量公式和折减弹性模量公式),又有以大量实验资料为基础建立起来并在工程中得到普遍应用的经验公式(如直线公式和抛物线公式等):
(1)切线弹性模量公式 对两端简支的柱,切线弹性模量公式为:
, (6)
式中Et是材料的应力-应变曲线上和应力
对应 的C点切线的斜率(图2)。由于σcr和Et相互关联,通常需由逐次近似法求解σcr。
(2)折减弹性模量公式 对两端简支的柱,折减弹性模量公式为:
, (7)
式中Er称为折减弹性模量,其值为:
, (8)
式中I1和I2分别为微弯变形中横截面内压缩区和拉伸区对中性轴(即压缩区和拉伸区的分界线)的惯性矩。至于中性轴的位置则由下式确定:
EtS1+ES2=0, (9)
式中S1和S2分别为压缩区和拉伸区对中性轴的静矩。
(3)直线公式和抛物线公式 这些公式都是根据实验资料建立的经验公式。直线公式把临界应力σcr和柔度λ表示为直线关系,即
σcr=a-bλ;
抛物线公式则把σcr和λ表示为抛物线关系,即
σcr=a1-b1λ2。
以上两式中常数a、b、a1和b1都是与材料有关的常数,应根据实验资料确定。
短柱的强度破坏柔度很小的短柱的受压破坏一般都是由于压应力达到强度极限而造成压溃,或因应力达到屈服极限而出现过大的塑性变形。所以这种破坏是强度不足而引起的。
上述结论中都假设柱的轴线为理想直线,压力和轴线重合且材料是均匀的。在这种理想情况下,当P<Pcr时,柱为直线平衡;而当P=Pcr时,柱开始由直线平衡过渡为曲线平衡。这样,压力P和最大挠度δ的关系由图3中的折线OAB表示。但实际上,柱的轴线难免有一些初弯曲,难以保证压力和轴线完全重合,况且材料也不是绝对均匀而可能存在某种缺陷。因此,在载荷达到欧拉力以前,柱已经出现弯曲变形。P和δ的关系如图3中曲线所示。曲线后段的下降是由塑性变形引起的。柱越接近理想情况,曲线就越接近折线OAB。
参考文章
- 一柱难支成语辞典
- 压力变送器液柱修正的原则,是()测控技术
- 体温计水银柱上升:体温上升下列词或词组关系与上述词或词组关系最为相似的一项是:__知识题库
- ()是现代农业体系的“三大支柱”知识题库
- 当今世界经济的三大支柱性组织是知识题库
- 对以空气柱震动引发的空气动力性噪声的洽理,一般采用__措施知识题库
- 树立新的国家安全观,就要认清国家安全的支柱与核心是知识题库
- 某企业业务属于区域内的支柱产业,发展机会较多,但其实力有限,且营销资源成为发展的障碍,因此,适宜该企业的战略选择应该是_知识题库
- 财政是国家治理的基础和重要支柱,科学的财税体制是优化资源配置、维护市场统一、促进社会公平、实现国家长治久安的制度保障。_知识题库
- 联合国教科文组织在《教育——财富蕴藏其中》中提出,面向21世纪教育的支柱为__知识题库