[拼音]:rutang
[外文]:lactose
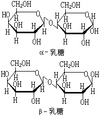
系统名 4-O-β-D-半乳吡喃苷基-D-葡萄吡喃糖,分子式C12H22O11。为哺乳动物乳汁中主要的糖,人乳含乳糖5%~7%,牛乳含4%,是乳婴食物中唯一的糖。由葡萄糖和半乳糖各一分子缩合失水形成,透视立体结构式如
乳糖是奶酪工业的副产品,从乳清中得到的为α-乳糖,在水中溶解度小,味不甚甜,具有还原性,能形成糖脎,有变旋光现象,比旋光度[α]厙 +92.6°→+83.5°(10分钟)→+69°(50分钟)→+52.3°(22小时),在痕量氨存在下,旋光度很快达到最终平衡值。 α-乳糖在93.5℃以上的浓溶液中结晶,得到β-乳糖,它比α-乳糖甜,在水溶液中也呈现变旋光现象,[α]崨 +34°(3分钟)→+39°(6分钟)→+46°(1小时)→+52.3°(22小时)。在体温 37℃下乳中含有的乳糖是2份α-乳糖和3份β-乳糖的平衡混合物。