[拼音]:yuanzi guangpu de chaojingxi jiegou
[外文]:hyperfine structure of atomic spectrum
原子核的磁矩和电矩引起的原子光谱谱线分裂成多条的结构。用分辨率很高的光谱学方法研究原子光谱时,可以发现许多原子光谱线由多条线构成,呈现出非常精细的结构,这是由于原子核的电矩、磁矩与电子间的相互作用引起的。典型的超精细结构有两类。
磁性超精细结构许多原子核具有自旋,自旋角动量是I媡。I为自旋量子数,取整数或半整数;媡即普朗克常数乘以1/2π。伴随自旋,原子核具有磁偶极矩μI。核磁偶极矩与电子之间有相互作用,表现在核自旋角动量(矢量pi)与电子总角动量(矢量pJ)之间的耦合。总的角动量为pF
pF=pI+pJ。
表征总角动量的量子数F取值从|I-J|到I+J。由于这种相互作用,对于每一个J,能级将分裂成(2I+1)个(I<J时)或(2J+1)个(I>J时)子能级,每一子能级由一个量子数F表征。附加的能量修正值是
(hfs表超精细结构,m表磁性)
, (1)
式中A与核磁矩及电子运动状态有关,对应于某一个J的能级,它是一常数。例如,当I=
时,J=
的能级分裂见图1。由式(1)可知,这种分裂符合朗德间隔定则。
电性超精细结构
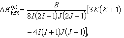
I>1的原子核具有电四极矩,核电四极矩与电子在核处所产生的电场梯度相互作用,引起能级的微小改变
(e表电性)
(2)式中 A与核电四极矩及核处电场梯度有关,对应于某一个J的能级,它是一常数。由式(2)可知
仅出现于
的能级中,作用是叠加在磁性超精细分裂之上,使分裂偏离朗德间隔定则。
以
的共振线为例,其上、下能级超精细分裂常数A、A之值见表,能级分裂如图2。相应的共振线589.0nm、589.6nm的分裂也可从图上看出,选择定则是ΔF=0,±1。
原子光谱线超精细结构分裂一般很小。为了观察超精细结构,在常规光谱学方法中,常用原子束技术(见原子束和分子束),并使用高分辨率光谱仪器。近代用高分辨率激光光谱技术则更有效。
- 参考书目
- H. G. Kuhn,Atomic Spectra,Longmans,London,1962.
- A. Corney, Atomic and Laser Spectroscopy,Clarendon Press,Oxford,1977.