[拼音]:gaofenzi luhua
[外文]:halogenation of polymers
高分子在卤化剂如卤素、卤化氢等的作用下,通过取代或加成反应而形成卤代高分子的一类化学反应。高分子卤化主要用于聚合物的改性,以及制取高分子合成的有用中间体。
无论是天然的还是合成的高分子,卤化后性能都有变化,对光、电、热、辐照、氧化和化学药品的耐受性以及耐磨、耐燃烧、抗张强度等性能都有显著改变,从而提高高分子的稳定、阻燃、粘合、印染、亲水等性能。
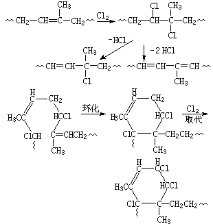
氯化氯化是高聚物改性及制取中间体的重要反应。分子氯、次氯酸等均可用做氯化试剂。对于不饱和的聚合物,典型的反应是氯分子Cl2对双键的加成,但伴随着脱卤化氢及再加成、环化、交联、取代等副反应:
饱和聚合物在过氧化物的催化、光或热的引发下,用氯分子作为氯化剂很容易发生取代反应。
聚乙烯在150℃和无光条件下,不加引发剂就可以氯化,少量氧的存在可引发反应,而大量氧的存在则有抑制作用,并加速降解。聚氯乙烯容易氯化,工业上是采用光氯化法,在温和条件(55℃)下,将它悬浮在水-氯仿中,在过量的氯中进行,氯化后可以提高它的二级转变温度。天然纤维、聚酯纤维制品和毛织物等经氯化后都可以提高印染、阻燃、防老化、防缩水等性能。聚苯乙烯及其共聚物的氯化产物是制取多种含氮功能基高分子的基础。交联聚合物氯化后可制取高相对密度的阴离子交换树脂。
氟化氟分子F2的离解能较低(38千卡/摩尔),聚合物的氟化可利用游离基F·直接进行,但反应的选择性较差,产物比较复杂。
聚乙烯在避光和氮气保护下氟化,表面氟化程度达到10%时,产物表面性能优异,如耐热,不易变色。聚丙烯经氟化后,可改进耐热、表面介电及印染的性能。氟化的乙烯-丙烯共聚物具有类似于聚四氟乙烯的化学惰性。
溴化与氯化相似,典型的反应是溴分子对双键的加成。N-溴代亚胺类化合物是常用的溴化试剂。
碘化在硝基苯溶剂中,碘和碘酸可以把聚苯乙烯对位碘化,在90℃反应30小时,可得灰黄色单取代物。对碘聚苯乙烯在室温下易与丁基锂作用得到对锂代聚苯乙烯,是很有用的中间体。