加成反应

浏览

不饱和化合物的一种特征反应。反应物分子中以重键结合的或共轭不饱和体系末端的两个原子,在反应中分别与由试剂提供的基团或原子以σ键相结合,得到一种饱和的或比较饱和的加成产物。这个加成产物可以是稳定的;也可以是不稳定的中间体,随即发生进一步变化而形成稳定产物。加成反应可分为离子型加成、自由基加成、环加成和异相加成等几类。其中最常见的是烯烃的亲电加成和羰基的亲核加成。

烯烃亲电加成反应

烯烃可以与多种亲电试剂发生加成反应。例如烯径与溴的加成,溴分子受到外界影响极化为一端带微正电荷、另一端带微负电荷的极性分子(见结构式a),其正端与烯烃双键作用,最初形成π配位化合物(b),接着发生共价键异裂而得带正电荷的σ配合物(c)和溴离子:

公式 符号

c的正碳离子可能直接与溴离子结合(路线①);也可能先与其相邻溴原子上未共电子对作用成为环状正嗅离子(d),然后才与溴离子结合(路线②)。具体过程与烯烃结构和反应条件有关。烯烃不饱和碳原子上的给电子取代基使反应加速,吸电子取代基使反应减慢,这个事实可以证实上述反应机理。烯烃亲电加成的立体化学与其结构和反应条件有关,一般以反式加成为主,即两个原子或基团分别加在原双键的两面。

烯烃与无机酸和强有机酸都能发生亲电加成,与弱有机酸的加成要在强酸催化下才能进行,加成产物为相应的酯,但烯烃与次卤酸的加成产物却是α-卤代醇。烯烃与水在酸催化下发生加成反应生成醇,低级烯烃的这种反应是一些醇类的工业生产方法。当不对称试剂与不对称烯烃加成时,一般都是符合马尔科夫尼科夫规则,即试剂中的带正电荷部分加在烯烃分子中含氢较多的不饱和碳原子上。

烯烃与硼烷的加成是合成中广泛应用的反应。烯烃被有机过酸、臭氧和高锰酸钾等试剂氧化,实质上也是这些氧化剂对于双键的加成(见有机化学中的氧化还原反应)。烯烃与氢气的加成要在催化剂作用下才能进行,常用催化剂有镍、铂、钯、亚铬酸铜及可溶于有机溶剂的氯化铑或氯化钌与三苯膦的配合物等(见催化氢化反应)。

烯烃与溴化氢在少量过氧化物作用下发生自由基加成,得到反马氏加成物,这是一个链反应。例如在过氧化苯甲酰作用下丙烯与溴化氢的加成,链反应因溴原子的产生而引发,通过链的转移而进行下去,自由基相互结合并消失而使链终止。链反应的三个过程简单表示如下:

公式 符号

烯烃与氯化氢或碘化氢在相同条件下不能进行自由基加成,这是因为由氯化氢产生氯原子的反应和碘原子加成到双键上的反应都需要较高活化能,阻碍了链的转移。

炔烃也能发生亲电加成,但反应速率比相应烯烃慢。炔烃与溴化氢在过氧化物作用下也发生自由基加成,炔烃与硼烷的加成也与烯烃相似。但是,炔烃可以发生一些通常烯烃难以发生的亲核加成反应。例如,乙炔在高温高压和碱催化的条件下能分别与乙酸和乙醇发生反应,得到乙酸乙烯酯和乙烯基乙醚;乙炔与氢氰酸加成可得丙烯腈。这些都是工业生产中的重要反应。乙炔与水的加成一般在酸性汞盐催化下进行,加成物乙烯醇不稳定,随即异构化(见同分异构体)为乙醛,其反应机理尚不很清楚。

羰基亲核加成反应

醛或酮的羰基可与氢氰酸、亚硫酸氢钠、有机锂化合物和有机镁化合物等亲核试剂发生加成反应,反应的难易取决于羰基碳原子亲电性强弱和空间阻碍大小以及试剂亲核性强弱等因素。醛一般比酮活泼。反应都是以亲核试剂中未共用电子对向羰基碳的进攻而开始的,例如亚硫酸氢钠与醛的加成:

公式 符号

亚硫酸氢钠与酮反应较难,芳香酮一般不起反应,脂肪酮中只有羰基连有甲基的甲基酮才能反应。醛或酮与金属有机化合物的加成物经水解便得醇类,是实验室合成醇类的重要方法。醛和酮都能与肼、羟胺、苯肼、氨基脲等羰基试剂作用,加成物随即失水而得腙、肟、苯腙、缩氨脲等衍生物,这些衍生物结晶性能良好,并可水解为原来的醛或酮,故广泛应用于提纯和鉴定。用氢化物(如硼氢化钠、氢化铝锂)还原羰基化合物,也可认为是负氢离子向羰基进攻的亲核加成。

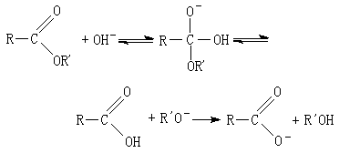
酰卤、酸酐、酯和酰胺等羧酸衍生物在水解、醇解、酸解或氨解中,也都是试剂上未共用电子对对羰基碳的进攻,然后从加成物中失去一个离去基团而得到产物,即按加成-消除的机理完成反应。例如酯的碱性水解,反应生成羧酸盐:

公式 符号

环加成的最重要例子是狄尔斯-阿尔德反应,广泛应用于合成六元环化合物。