功能高分子

浏览

在合成或天然高分子(见高分子化合物)原有力学性能的基础上,再赋予传统使用性能以外的各种特定功能(如化学活性、光敏性、导电性、催化活性、生物相容性、药理性能、选择分离性能等)而制得的一类高分子。例如,具有绝缘性的高分子就不属于功能高分子范畴,而导电高分子却是功能高分子的一个重要类型。功能高分子是20世纪70年代发展起来的新领域,目前尚处于开拓阶段。

结构特点

功能高分子一般在主链上或侧链上具有显示某种功能的基团,其功能性的显示往往是很复杂的,不仅决定于高分子链的化学结构、结构单元的顺序、分子量及其分布、支化、立体结构等一级结构,还决定于高分子链的构象、高分子链在聚集时的高级结构等,后者对于生物活性功能的显示更为重要。

分类

光敏高分子

经光照吸收光能后在结构上发生化学变化或物理变化(例如发生交联反应,使溶解性能发生变化)的高分子(见光敏高分子),也称光敏树脂。广泛用于印刷版、光刻胶、光敏油墨、光敏油漆等方面。有的高分子吸收光后,分子结构发生变化引起吸收光谱的变化,这种因光的波长组成改变而引起可逆的生色、褪色的高分子,称为光致变色高分子,已用于变色眼镜片、变色窗玻璃和信息材料方面。

电学功能高分子

有些共轭双键体系的高分子,例如乙炔等具有半导体性质,称为高分子半导体。如果在电子非定域化的分子间分子轨道相互作用很强,则由于载流子的生成和转移容易进行,这些固体高分子会表现出更强的电学性能,例如,通过与四氰代二甲基苯醌等形成电荷转移络合物以提高导电性而得到的导电高分子。聚乙烯基咔唑与三硝基芴的电荷转移络合物,经光照后能产生光生伏打效应,称为光导高分子,广泛用于静电复印、静电照相和信息材料方面。聚偏氟乙烯及其共聚物,在加热、加压下能产生压电效应及热电效应,称为压电高分子或热电高分子。

催化功能高分子

这类对化学反应具有催化功能的高分子,主要有天然和合成高分子催化剂。酶是存在于生物体内的天然高分子催化剂,它的特点是能使反应在常温、常压下高速、高效、高选择性地进行。将组成酶活性中心的基团引进高分子,例如将乙烯基咪唑与乙烯基苯酚共聚合,可得到对于某些水解反应催化活性很高的全合成高分子催化剂。有些酶含有金属,如果以高分子配位体与金属络合,就得到高分子金属催化剂,可使某些反应在较温和条件下高速、高效地进行。像这样模仿天然酶,参照酶的活性中心,并与高分子效应结合而合成的高活性、高选择性催化剂叫模拟酶。天然酶的缺点之一是其水溶性。为克服此缺点,将酶用高分子限定在一定空间内,称固定化酶。

将细菌等生物活性物质固定化,以代替化学反应器内的传统催化剂,称为生物反应器。这将给经典的化学反应器带来重大的变革。

选择分离功能高分子

离子交换树脂是具有分离、提纯、净化功能的高分子,但其选择分离性能不高。如果在高分子上引进像乙二胺四乙酸、羟胺等能与某些金属络合的基团,则可进一步提高选择分离性能,这种高分子称为螯合树脂。由离子交换树脂发展出来的每克树脂具有上百平方米表面积和适当孔径的大孔树脂,可以用作高分子吸附剂,从极性或非极性溶液中吸附非极性或极性溶质,可从水中吸附以ppb计的微量杂质。由离子交换膜发展出来的选择性分离膜,广泛用于分离、提纯和医疗上。

医疗功能高分子

高分子在医学上的应用,除要求有医疗功能外,还要有安全可靠性,大体上用于两个方面,即用作医用材料和高分子药物。医用材料还可分为:

(1)要求组织相容性和血液相容性好并有一定机械强度的软组织材料,如聚醚聚氨酯、聚甲基丙烯酸-β-羟乙酯等;

(2)以聚甲基丙烯酸甲酯为代表的硬组织材料。前者用于内植材料、修复材料、人工脏器方面;后者用于齿科、骨水泥方面。高分子药物分为高分子本身就具有药理活性的和将小分子药物结合在高分子载体上的两种。后者使药物能够控制释放,达到长效性,以减少投施药物的次数和降低药物的毒性。如果在高分子载体上,除了药物之外,再接上对病变部位有特异亲和性的配基(如抗体),则能使药物有定位送达的效应,称为高分子亲和药物,这对毒性或副作用大的药物的投施特别有意义。

其他还有能够将化学能转化为机械能的功能高分子(如人工肌肉)、信息传递功能高分子、减阻功能高分子等,都在探索开发之中。

合成

聚合法

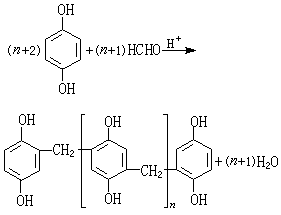
通过含有特定功能基团的单体进行加成聚合或缩合聚合而制得功能高分子。其优点是功能基团在高分子链上的分布和排列可以通过共聚合或共缩聚来调节,例如:

(1)对苯二酚与甲醛的缩聚

公式 符号

(2)乙烯基对苯二酚的聚合 由于对苯二酚是阻聚剂,需加保护基才能保证聚合顺利进行:

图 高分子化学反应法

通过化学反应将特定功能的基团引入高分子链中(见高分子化学反应)。高分子链要含有可进一步反应的反应性基团,如羟基、羧基、胺基、氨基、酸酐、羰基、酰氯、环氧基、羟甲亚胺基、活泼卤原子、异氰酸酯、硫异氰酸酯、巯基、活性酯、活性酰胺等。它们的活泼程度不同,选择时要根据欲引入的功能性基团而定。这种反应性高分子可由反应性单体的聚合或由通用高分子的化学改性而得。其优点是基本能保证原来高分子链的聚合度。但是,功能性基团的数目及分布受到高分子链的位阻、反应性基团的活泼性、扩散等影响而受到限制,例如:

公式 符号
参考书目
  1. 大河原信著:《高分子の化学反応(下)──機能性高分子》,化学同人,東京,1972。